最新更新 :
27/01/2026
細胞増殖抑制薬   Paclitaxel  
注射薬
溶媒内の安定性 混合時の安定性 安定性に影響する因子 互換性 投与経路 引用文献 PDF
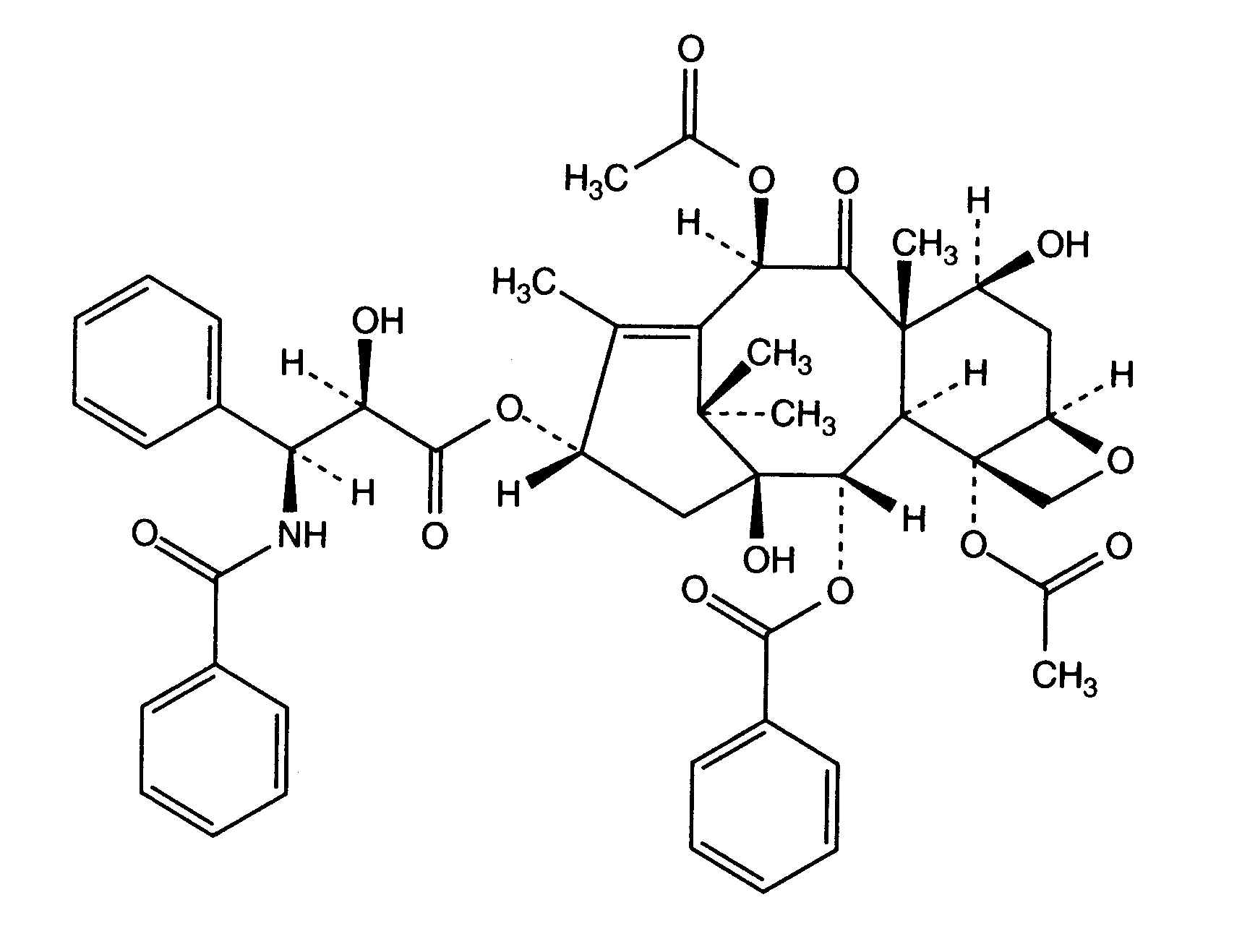
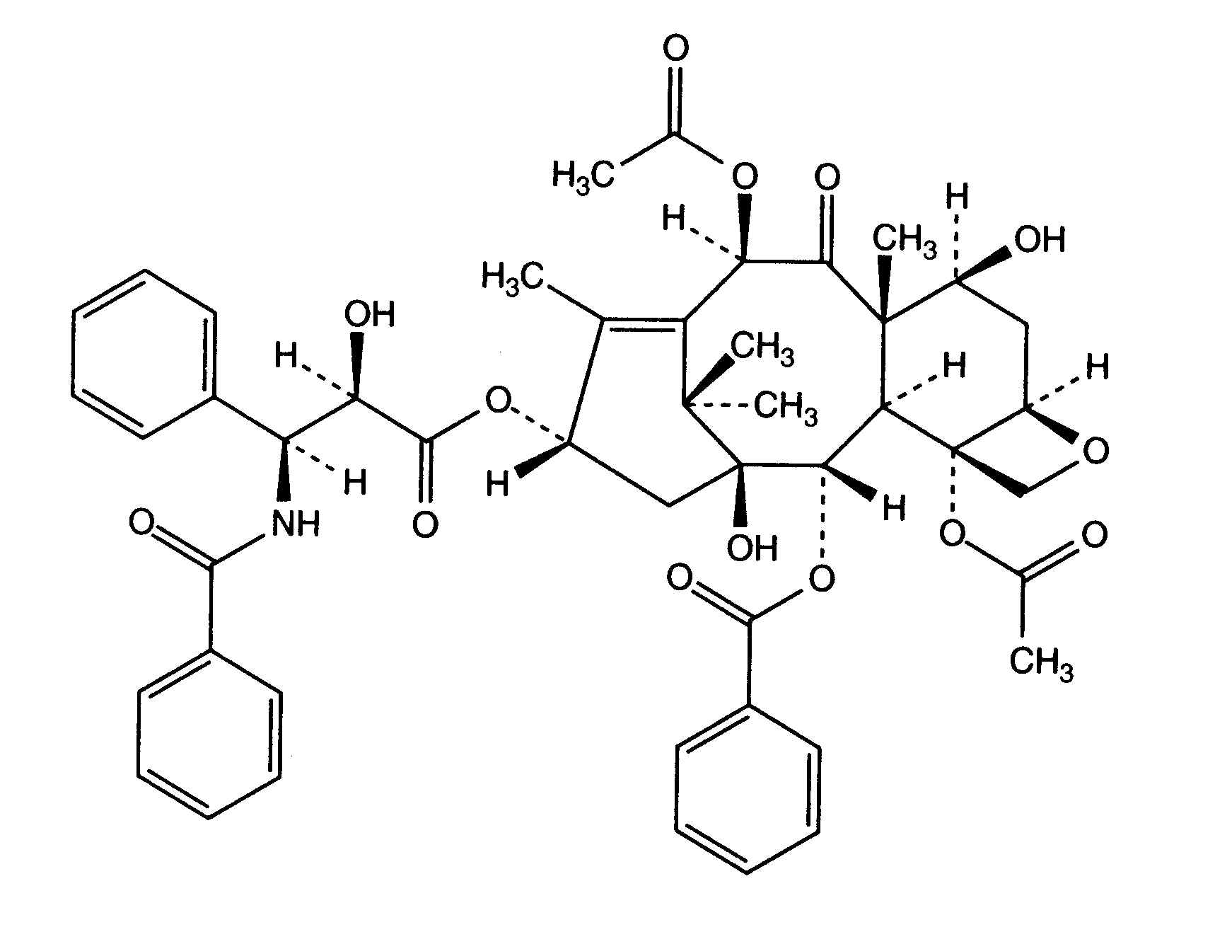
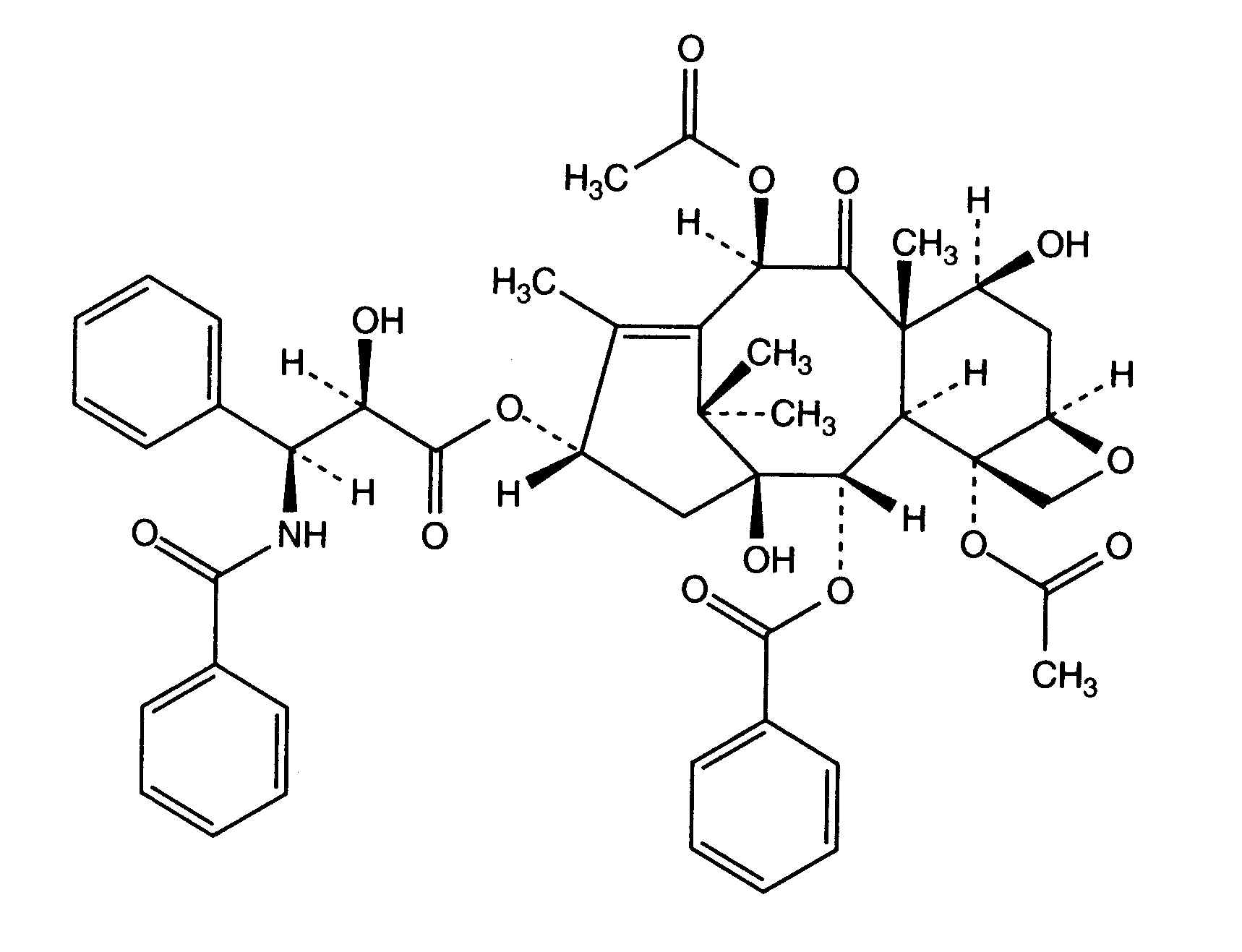
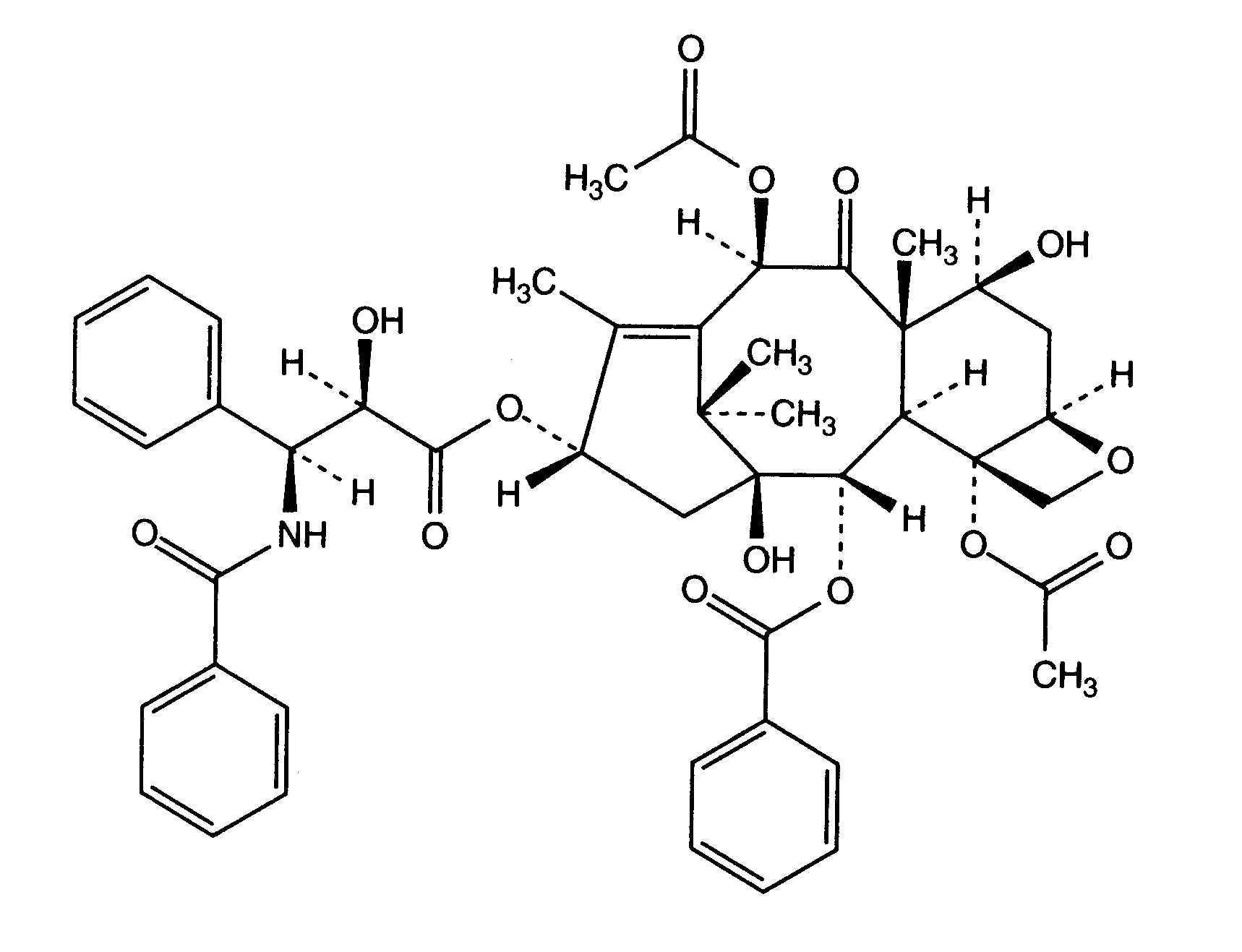
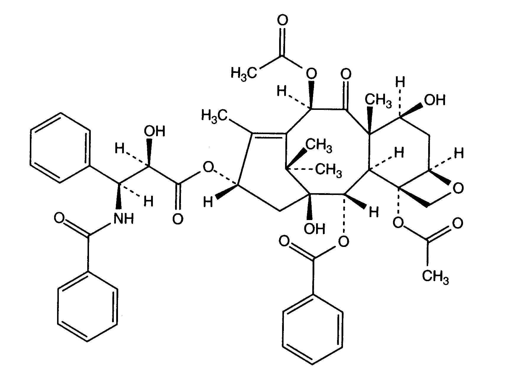
   化学構造  

商品名   商品名     

商品名、賦形剤は国、製薬会社ごとに異なることがあります

Aclipak マレーシア
Acoexcel メキシコ
Acupaxil モロッコ
Anzatax アラブ首長国連邦, イラン, エジプト, サウジアラビア, チュニジア, トルコ, ニュージーランド, ペルー, マレーシア, モロッコ
Aritaxel ドイツ
Cantaxel インド
Clitaxel アルゼンチン, ベネズエラ
Dalys アルゼンチン
Ebetaxel イラン, オーストリア, サウジアラビア, チュニジア, トルコ, モロッコ
Genexol イラン, インド, エジプト
Onxol アメリカ
Paclinova アルゼンチン
Paclitaxin スロベニア, ブラジル, マレーシア, ルクセンブルグ
Parexel エクアドル, コロンビア, ブラジル, ベネズエラ
Paxene アイルランド, オランダ, ギリシア, スペイン, デンマーク, ポーランド
Poltaxel ポーランド
Ribotax ドイツ
Taxol アラブ首長国連邦, イタリア, イラン, エジプト, オランダ, オーストリア, ギリシア, コロンビア, スイス, スウェーデン, スロベニア, デンマーク, トルコ, ニュージーランド, ブラジル, ベネズエラ, ペルー, ポルトガル, ポーランド, マレーシア, モロッコ, 日本
Taxomedac ドイツ
Vitax トルコ, ブラジル, ペルー
互換性   注射薬   互換性 : Paclitaxel              
This screen indicates the compatibilities or incompatibilities with, in this case, the type of incompatibility (precipitation, color change, modification of an emulsion, etc.). The compatibilities shown here are mostly physical only, with the chemical stability of each molecule rarely being assessed. The evaluation of these mixtures was studied to consider the possibility of Y-site administration to the patient. These data cannot be used for making mixtures in advance in bags or syringes. This type of information is available in the screen "Stability in mixture ».
化合物 溶媒 引用文献
対応
注射薬 Paclitaxel 1.2 mg/ml
注射薬 Aciclovir sodium 7 mg/ml
グルコース5% 248
対応
注射薬 Paclitaxel 1.2 mg/ml
注射薬 Amikacin sulfate 5 mg/ml
グルコース5% 248
対応
注射薬 Paclitaxel 1.2 mg/ml
注射薬 Aminophylline 2.5 mg/ml
グルコース5% 248
すぐに濁り 非互換
注射薬 Paclitaxel 1.2 mg/ml
注射薬 Amphotericin B 0.6 mg/ml
グルコース5% 248
濁度の喪失 非互換
注射薬 Paclitaxel 0.6 mg/ml
注射薬 Amphotericin B cholesteryl sulfate complex 0.83 mg/ml
グルコース5% 921
対応
注射薬 Paclitaxel 1.2 mg/ml
注射薬 Ampicillin sodium - sulbactam sodium 20/10 mg/ml
グルコース5% 248
対応
注射薬 Paclitaxel 0.6 mg/ml
注射薬 Anidulafungin 0.5 mg/ml
グルコース5% 1982
対応
注射薬 Paclitaxel 1.2 mg/ml
注射薬 Bleomycin sulfate 1 mg/ml
グルコース5% 248
対応
注射薬 Paclitaxel 1.2 mg/ml
注射薬 Butorphanol tartrate 0.04 mg/ml
グルコース5% 248
対応
注射薬 Paclitaxel 1.2 mg/ml
注射薬 Calcium chloride 20 mg/ml
グルコース5% 248
対応
注射薬 Paclitaxel 1.2 mg/ml
注射薬 Carboplatin 5 mg/ml
グルコース5% 85
対応
注射薬 Paclitaxel 0,3 & 1,2 mg/ml
注射薬 Carboplatin 2 mg/ml
NaCl 0,9% 872
対応
注射薬 Paclitaxel 0,3 & 1,2 mg/ml
注射薬 Carboplatin 2 mg/ml
グルコース5% 872
対応
注射薬 Paclitaxel 1.2 mg/ml
注射薬 Ceforanide 20 mg/ml
グルコース5% 248
対応
注射薬 Paclitaxel 1.2 mg/ml
注射薬 Ceftazidime 40 mg/ml
グルコース5% 248
対応
注射薬 Paclitaxel 1.2 mg/ml
注射薬 Ceftriaxone disodium 20 mg/ml
グルコース5% 248
濁度の喪失 非互換
注射薬 Paclitaxel 1.2 mg/ml
注射薬 Chlorpromazine hydrochloride 2 mg/ml
グルコース5% 248
対応
注射薬 Paclitaxel
グルコース5% 1956
対応
注射薬 Paclitaxel 0,3 & 1,2 mg/ml
注射薬 Cisplatin 0,2 mg/ml
NaCl 0,9% 872
対応
注射薬 Paclitaxel 1.2 mg/ml
非経口的栄養(脂肪含む) 1415
対応
注射薬 Paclitaxel 1.2 mg/ml
非経口的栄養(二元混合物) 301
対応
注射薬 Paclitaxel 1.2 mg/ml
注射薬 Cimetidine hydrochloride 12 mg/ml
グルコース5% 85
対応
注射薬 Paclitaxel 1.2 mg/ml
注射薬 Cisplatin 1 mg/ml
グルコース5% 85
化学的不安定性 非互換
注射薬 Paclitaxel
注射薬 Cisplatin
3578
対応
注射薬 Paclitaxel 0.6 mg/ml
注射薬 Cladribine 0.5 mg/ml
NaCl 0,9% +抗菌 1496
対応
注射薬 Paclitaxel 0.6 mg/ml
注射薬 Cladribine 0.015 mg/ml
NaCl 0,9% 1496
対応
注射薬 Paclitaxel 1.2 mg/ml
注射薬 Cyclophosphamide 10 mg/ml
グルコース5% 85
対応
注射薬 Paclitaxel 1.2 mg/ml
注射薬 Cytarabine 50 mg/ml
グルコース5% 85
対応
注射薬 Paclitaxel 1.2 mg/ml
注射薬 Dacarbazine 4 mg/ml
グルコース5% 248
対応
注射薬 Paclitaxel 1.2 mg/ml
注射薬 Dexamethasone sodium phosphate 1 mg/ml
グルコース5% 85
対応
注射薬 Paclitaxel 1.2 mg/ml
注射薬 Diphenhydramine hydrochloride 2 mg/ml
グルコース5% 85
対応
注射薬 Paclitaxel 0,6 mg/ml
注射薬 Doripenem 5 mg/ml
NaCl 0,9% 2262
対応
注射薬 Paclitaxel 0,6 mg/ml
注射薬 Doripenem 5 mg/ml
グルコース5% 2262
対応
注射薬 Paclitaxel 0,3 & 1,2 mg/ml
注射薬 Doxorubicin hydrochloride 0,2 mg/ml
グルコース5% 1286
対応
注射薬 Paclitaxel 1.2 mg/ml
注射薬 Doxorubicin hydrochloride 2 mg/ml
グルコース5% 85
対応
注射薬 Paclitaxel 0,3 & 1,2 mg/ml
注射薬 Doxorubicin hydrochloride 0,2 mg/ml
NaCl 0,9% 1286
濁度の喪失 非互換
注射薬 Paclitaxel 0.6 mg/ml
注射薬 Doxorubicin hydrochloride liposome peg 0.4 mg/ml
グルコース5% 251
対応
注射薬 Paclitaxel
NaCl 0,9% 1956
対応
注射薬 Paclitaxel 1.2 mg/ml
注射薬 Droperidol 0.4 mg/ml
グルコース5% 248
対応
注射薬 Paclitaxel 1.2 mg/ml
注射薬 Etoposide 0.4 mg/ml
グルコース5% 85
対応
注射薬 Paclitaxel 1.2 mg/ml
注射薬 Etoposide phosphate 5 mg/ml
グルコース5% 1410
対応
注射薬 Paclitaxel 1.2 mg/ml
注射薬 Famotidine 2 mg/ml
グルコース5% 248
対応
注射薬 Paclitaxel 1.2 mg/ml
注射薬 Floxuridine 3 mg/ml
グルコース5% 248
対応
注射薬 Paclitaxel 0,3 & 1,2 mg/ml
注射薬 Fluconazole 2 mg/ml
グルコース5% 151
対応
注射薬 Paclitaxel 1.2 mg/ml
注射薬 Fluconazole 2 mg/ml
グルコース5% 248
対応
注射薬 Paclitaxel 1.2 mg/ml
注射薬 Fluorouracil 16 mg/ml
グルコース5% 85
対応
注射薬 Paclitaxel 1.2 mg/ml
注射薬 Furosemide 3 mg/ml
グルコース5% 248
対応
注射薬 Paclitaxel 1.2 mg/ml
注射薬 Ganciclovir sodium 20 mg/ml
グルコース5% 248
対応
注射薬 Paclitaxel 1.2 mg/ml
注射薬 Gemcitabine hydrochloride 10 mg/ml
NaCl 0,9% 1423
対応
注射薬 Paclitaxel 1.2 mg/ml
注射薬 Gentamicin sulfate 5 mg/ml
グルコース5% 248
対応
注射薬 Paclitaxel 1.2 mg/ml
注射薬 Granisetron hydrochloride 0.05 mg/ml
グルコース5% 182
対応
注射薬 Paclitaxel 0.29 mg/ml
注射薬 Granisetron hydrochloride 1 mg/ml
NaCl 0,9% 57
対応
注射薬 Paclitaxel 1.2 mg/ml
注射薬 Haloperidol lactate 0.2 mg/ml
グルコース5% 85
対応
注射薬 Paclitaxel 1.2 mg/ml
注射薬 Heparin sodium 100 UI/ml
グルコース5% 248
対応
注射薬 Paclitaxel 1.2 mg/ml
注射薬 Hydrocortisone sodium succinate 1 mg/ml
グルコース5% 248
対応
注射薬 Paclitaxel 1.2 mg/ml
注射薬 Hydromorphone hydrochloride 0.5 mg/ml
グルコース5% 248
濁度の喪失 非互換
注射薬 Paclitaxel 1.2 mg/ml
注射薬 Hydroxyzine dihydrochloride 4 mg/ml
グルコース5% 248
対応
注射薬 Paclitaxel 1.2 mg/ml
注射薬 Ifosfamide 25 mg/ml
グルコース5% 248
対応
注射薬 Paclitaxel 0.6 mg/ml
注射薬 Lansoprazole 0.55 mg/ml
NaCl 0,9% 1625
対応
注射薬 Paclitaxel 0.6 mg/ml
注射薬 Linezolid 2 mg/ml
なし 1925
対応
注射薬 Paclitaxel 1.2 mg/ml
注射薬 Lorazepam 0.1 mg/ml
グルコース5% 85
対応
注射薬 Paclitaxel 1.2 mg/ml
注射薬 Magnesium sulfate 100 mg/ml
グルコース5% 248
対応
注射薬 Paclitaxel 1.2 mg/ml
注射薬 Mannitol 150 mg/ml
グルコース5% 248
対応
注射薬 Paclitaxel 1.2 mg/ml
注射薬 Mesna 10 mg/ml
グルコース5% 248
対応
注射薬 Paclitaxel 1.2 mg/ml
注射薬 Methotrexate sodium 15 mg/ml
グルコース5% 85
濁度の喪失 非互換
注射薬 Paclitaxel 1.2 mg/ml
注射薬 Methylprednisolone sodium succinate 5 mg/ml
グルコース5% 248
対応
注射薬 Paclitaxel 1.2 mg/ml
注射薬 Metoclopramide hydrochloride 5 mg/ml
グルコース5% 85
濁度の喪失 非互換
注射薬 Paclitaxel 1.2 mg/ml
注射薬 Mitoxantrone dihydrochloride 0.5 mg/ml
グルコース5% 248
対応
注射薬 Paclitaxel 1.2 mg/ml
注射薬 Morphine sulfate 1 mg/ml
グルコース5% 248
対応
注射薬 Paclitaxel 1.2 mg/ml
注射薬 Nalbuphine hydrochloride 10 mg/ml
グルコース5% 248
対応
注射薬 Paclitaxel 0.3 & 1.2 mg/ml
注射薬 Ondansetron hydrochloride 0.03 & 0.3 mg/ml
グルコース5% 47
対応
注射薬 Paclitaxel 1.2 mg/ml
注射薬 Ondansetron hydrochloride 0.5 mg/ml
グルコース5% 248
対応
注射薬 Paclitaxel 0,6 mg/ml
注射薬 Oxaliplatin 0,5 mg/ml
グルコース5% 1662
対応
注射薬 Paclitaxel 1,2 mg/ml
注射薬 Palonosetron hydrochloride 50 µg/ml
グルコース5% 1940
対応
注射薬 Paclitaxel 0.6 mg/ml
注射薬 Pemetrexed disodium 20 mg/ml
NaCl 0,9% 1953
対応
注射薬 Paclitaxel 1.2 mg/ml
注射薬 Pentostatin 0.4 mg/ml
グルコース5% 248
対応
注射薬 Paclitaxel 1.2 mg/ml
注射薬 Pethidine hydrochloride 4 mg/ml
グルコース5% 248
対応
注射薬 Paclitaxel 1.2 mg/ml
注射薬 Potassium chloride 100 mEq/l
グルコース5% 248
対応
注射薬 Paclitaxel 1.2 mg/ml
注射薬 Prochlorperazine edysilate 0.5 mg/ml
グルコース5% 85
対応
注射薬 Paclitaxel 1.2 mg/ml
注射薬 Propofol 10 mg/ml
なし 300
対応
注射薬 Paclitaxel 0.3 & 1.2 mg/ml
注射薬 Ranitidine hydrochloride 0.5 & 2 mg/ml
グルコース5% 47
対応
注射薬 Paclitaxel 1.2 mg/ml
注射薬 Ranitidine hydrochloride 2 mg/ml
グルコース5% 85
対応
注射薬 Paclitaxel 1.2 mg/ml
注射薬 Sodium bicarbonate 84 mg/ml
グルコース5% 248
対応
注射薬 Paclitaxel 0.6 mg/ml
注射薬 Thiotepa 1 mg/ml
グルコース5% 249
対応
注射薬 Paclitaxel 0.54 mg/ml
注射薬 Topotecan 0.056 mg/ml
NaCl 0,9% 1026
対応
注射薬 Paclitaxel 0.54 mg/ml
注射薬 Topotecan 0.056 mg/ml
グルコース5% 1026
対応
注射薬 Paclitaxel 1.2 mg/ml
注射薬 Vancomycin hydrochloride 10 mg/ml
グルコース5% 85
対応
注射薬 Paclitaxel 1.2 mg/ml
注射薬 Vinblastine sulfate 0.12 mg/ml
グルコース5% 248
対応
注射薬 Paclitaxel 1.2 mg/ml
注射薬 Vincristine sulfate 0.05 mg/ml
グルコース5% 248
対応
注射薬 Paclitaxel 1.2 mg/ml
注射薬 Zidovudine 4 mg/ml
グルコース5% 248

  Mentions Légales