Letztes “update” :
27/01/2026
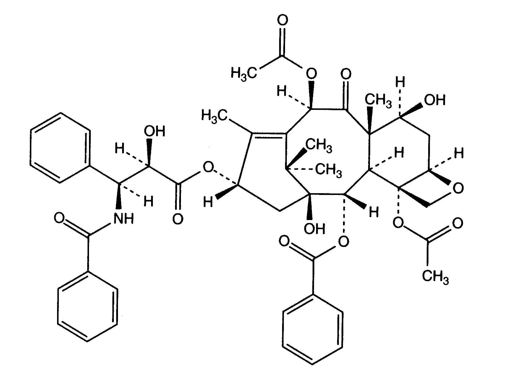
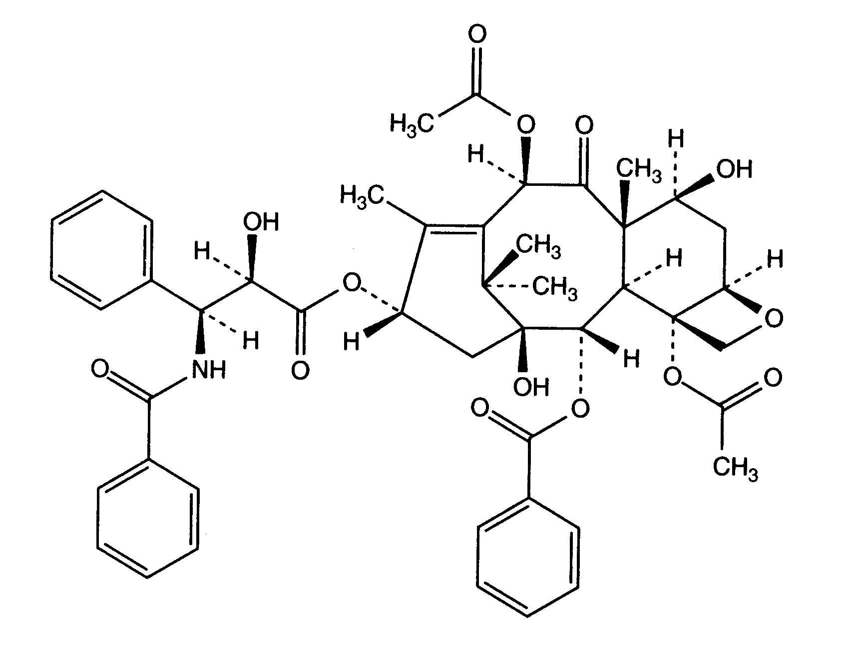
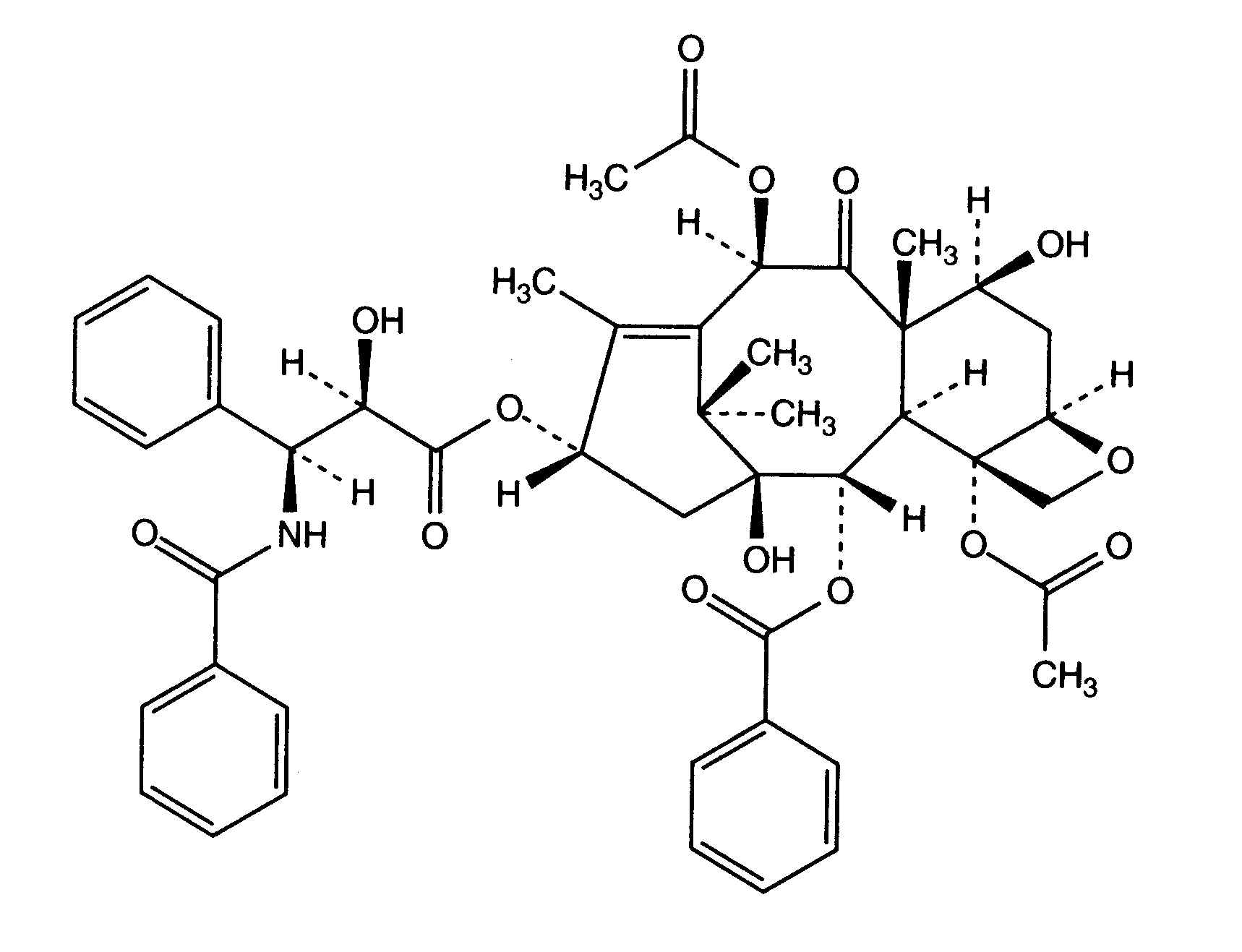
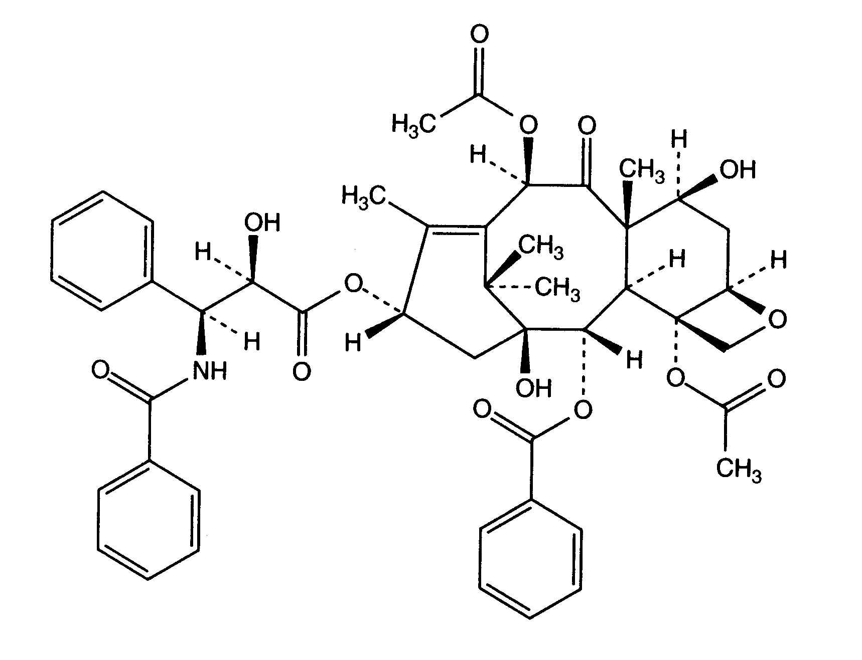
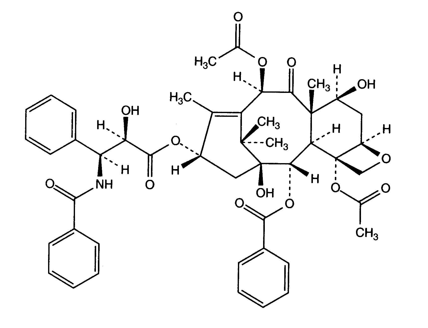
Antikrebsmittel   Paclitaxel  
Injektion
Stabilität der Lösung Gemengestabilität Stabilitätbeeinflussende Faktoren Kompatibilitäten Applikationsart Literaturverzeichnis pdf
   Chemische Struktur  

Handelsmarke   Handelsmarke     

Handelsnamen sind als beispielhaft anzusehen. Sonstige Bestandteile können je nach Hersteller oder Land verschieden sein

Aclipak Malaysia
Acoexcel Mexiko
Acupaxil Marokko
Anzatax Ägypten, Iran, Malaysia, Marokko, Neuseeland, Peru, Saudi-Arabien, Tunesien, Türkei, Vereinigte Arabische Emirate
Aritaxel Deutschland
Cantaxel Indien
Clitaxel Argentinien, Venezuela
Dalys Argentinien
Ebetaxel Iran, Marokko, Österreich, Saudi-Arabien, Tunesien, Türkei
Genexol Ägypten, Indien, Iran
Onxol Vereinigte Staaten von Amerika
Paclinova Argentinien
Paclitaxin Brasilien, Luxemburg, Malaysia, Slowenien
Parexel Brasilien, Ecuador, Kolumbien, Venezuela
Paxene Dänemark, Griechenland, Irland, Niederlande, Polen, Spanien
Poltaxel Polen
Ribotax Deutschland
Taxol Ägypten, Brasilien, Dänemark, Griechenland, Iran, Italien, Japan, Kolumbien, Malaysia, Marokko, Neuseeland, Niederlande, Österreich, Peru, Polen, Portugal, Schweden, Schweiz, Slowenien, Türkei, Venezuela, Vereinigte Arabische Emirate
Taxomedac Deutschland
Vitax Brasilien, Peru, Türkei
Kompatibilitäten   Injektion   Kompatibilitäten : Paclitaxel              
Dieser Bildschirm zeigt die Kompatibilitäten oder Inkompatibilitäten mit der Art der Inkompatibilität (hier: Ausfällung, Farbänderung, Modifikation einer Emulsion usw.) an. Die hier gezeigten Kompatibilitäten sind meist nur physikalisch, wobei die chemische Stabilität jedes Moleküls selten bewertet wird. Die Bewertung dieser Gemische wurde untersucht, um die Möglichkeit einer Verabreichung über eine Y-Verbindung zu berücksichtigen. Diese Daten können daher nicht zur Herstellung von Mischungen im Voraus in Beuteln oder Spritzen verwendet werden. Sie finden diese Informationen auf dem Bildschirm "Stabilität in Mischung».
Molekül Lösungsmittel Literaturverzeichnis
kompatibel
Injektion Paclitaxel 1.2 mg/ml
Injektion Aciclovir sodium 7 mg/ml
5% Glucose 248
kompatibel
Injektion Paclitaxel 1.2 mg/ml
Injektion Amikacin sulfate 5 mg/ml
5% Glucose 248
kompatibel
Injektion Paclitaxel 1.2 mg/ml
Injektion Aminophylline 2.5 mg/ml
5% Glucose 248
Sofortige Trübung nicht kompatibel
Injektion Paclitaxel 1.2 mg/ml
Injektion Amphotericin B 0.6 mg/ml
5% Glucose 248
Trübungsverlust nicht kompatibel
Injektion Paclitaxel 0.6 mg/ml
Injektion Amphotericin B cholesteryl sulfate complex 0.83 mg/ml
5% Glucose 921
kompatibel
Injektion Paclitaxel 1.2 mg/ml
Injektion Ampicillin sodium - sulbactam sodium 20/10 mg/ml
5% Glucose 248
kompatibel
Injektion Paclitaxel 0.6 mg/ml
Injektion Anidulafungin 0.5 mg/ml
5% Glucose 1982
kompatibel
Injektion Paclitaxel 1.2 mg/ml
Injektion Bleomycin sulfate 1 mg/ml
5% Glucose 248
kompatibel
Injektion Paclitaxel 1.2 mg/ml
Injektion Butorphanol tartrate 0.04 mg/ml
5% Glucose 248
kompatibel
Injektion Paclitaxel 1.2 mg/ml
Injektion Calcium chloride 20 mg/ml
5% Glucose 248
kompatibel
Injektion Paclitaxel 1.2 mg/ml
Injektion Carboplatin 5 mg/ml
5% Glucose 85
kompatibel
Injektion Paclitaxel 0,3 & 1,2 mg/ml
Injektion Carboplatin 2 mg/ml
0,9% Natriumchlorid 872
kompatibel
Injektion Paclitaxel 0,3 & 1,2 mg/ml
Injektion Carboplatin 2 mg/ml
5% Glucose 872
kompatibel
Injektion Paclitaxel 1.2 mg/ml
Injektion Ceforanide 20 mg/ml
5% Glucose 248
kompatibel
Injektion Paclitaxel 1.2 mg/ml
Injektion Ceftazidime 40 mg/ml
5% Glucose 248
kompatibel
Injektion Paclitaxel 1.2 mg/ml
Injektion Ceftriaxone disodium 20 mg/ml
5% Glucose 248
Trübungsverlust nicht kompatibel
Injektion Paclitaxel 1.2 mg/ml
Injektion Chlorpromazine hydrochloride 2 mg/ml
5% Glucose 248
kompatibel
Injektion Paclitaxel
5% Glucose 1956
kompatibel
Injektion Paclitaxel 0,3 & 1,2 mg/ml
Injektion Cisplatin 0,2 mg/ml
0,9% Natriumchlorid 872
kompatibel
Injektion Paclitaxel 1.2 mg/ml
Parenterale Ernährung (mit Lipiden) 1415
kompatibel
Injektion Paclitaxel 1.2 mg/ml
Parenterale Ernährung (Lipid-frei) 301
kompatibel
Injektion Paclitaxel 1.2 mg/ml
Injektion Cimetidine hydrochloride 12 mg/ml
5% Glucose 85
kompatibel
Injektion Paclitaxel 1.2 mg/ml
Injektion Cisplatin 1 mg/ml
5% Glucose 85
Chemische Instabilität nicht kompatibel
Injektion Paclitaxel
Injektion Cisplatin
3578
kompatibel
Injektion Paclitaxel 0.6 mg/ml
Injektion Cladribine 0.5 mg/ml
0,9% NaCl  + bakterostatsich 1496
kompatibel
Injektion Paclitaxel 0.6 mg/ml
Injektion Cladribine 0.015 mg/ml
0,9% Natriumchlorid 1496
kompatibel
Injektion Paclitaxel 1.2 mg/ml
Injektion Cyclophosphamide 10 mg/ml
5% Glucose 85
kompatibel
Injektion Paclitaxel 1.2 mg/ml
Injektion Cytarabine 50 mg/ml
5% Glucose 85
kompatibel
Injektion Paclitaxel 1.2 mg/ml
Injektion Dacarbazine 4 mg/ml
5% Glucose 248
kompatibel
Injektion Paclitaxel 1.2 mg/ml
Injektion Dexamethasone sodium phosphate 1 mg/ml
5% Glucose 85
kompatibel
Injektion Paclitaxel 1.2 mg/ml
Injektion Diphenhydramine hydrochloride 2 mg/ml
5% Glucose 85
kompatibel
Injektion Paclitaxel 0,6 mg/ml
Injektion Doripenem 5 mg/ml
0,9% Natriumchlorid 2262
kompatibel
Injektion Paclitaxel 0,6 mg/ml
Injektion Doripenem 5 mg/ml
5% Glucose 2262
kompatibel
Injektion Paclitaxel 0,3 & 1,2 mg/ml
Injektion Doxorubicin hydrochloride 0,2 mg/ml
5% Glucose 1286
kompatibel
Injektion Paclitaxel 1.2 mg/ml
Injektion Doxorubicin hydrochloride 2 mg/ml
5% Glucose 85
kompatibel
Injektion Paclitaxel 0,3 & 1,2 mg/ml
Injektion Doxorubicin hydrochloride 0,2 mg/ml
0,9% Natriumchlorid 1286
Trübungsverlust nicht kompatibel
Injektion Paclitaxel 0.6 mg/ml
Injektion Doxorubicin hydrochloride liposome peg 0.4 mg/ml
5% Glucose 251
kompatibel
Injektion Paclitaxel
0,9% Natriumchlorid 1956
kompatibel
Injektion Paclitaxel 1.2 mg/ml
Injektion Droperidol 0.4 mg/ml
5% Glucose 248
kompatibel
Injektion Paclitaxel 1.2 mg/ml
Injektion Etoposide 0.4 mg/ml
5% Glucose 85
kompatibel
Injektion Paclitaxel 1.2 mg/ml
Injektion Etoposide phosphate 5 mg/ml
5% Glucose 1410
kompatibel
Injektion Paclitaxel 1.2 mg/ml
Injektion Famotidine 2 mg/ml
5% Glucose 248
kompatibel
Injektion Paclitaxel 1.2 mg/ml
Injektion Floxuridine 3 mg/ml
5% Glucose 248
kompatibel
Injektion Paclitaxel 0,3 & 1,2 mg/ml
Injektion Fluconazole 2 mg/ml
5% Glucose 151
kompatibel
Injektion Paclitaxel 1.2 mg/ml
Injektion Fluconazole 2 mg/ml
5% Glucose 248
kompatibel
Injektion Paclitaxel 1.2 mg/ml
Injektion Fluorouracil 16 mg/ml
5% Glucose 85
kompatibel
Injektion Paclitaxel 1.2 mg/ml
Injektion Furosemide 3 mg/ml
5% Glucose 248
kompatibel
Injektion Paclitaxel 1.2 mg/ml
Injektion Ganciclovir sodium 20 mg/ml
5% Glucose 248
kompatibel
Injektion Paclitaxel 1.2 mg/ml
Injektion Gemcitabine hydrochloride 10 mg/ml
0,9% Natriumchlorid 1423
kompatibel
Injektion Paclitaxel 1.2 mg/ml
Injektion Gentamicin sulfate 5 mg/ml
5% Glucose 248
kompatibel
Injektion Paclitaxel 1.2 mg/ml
Injektion Granisetron hydrochloride 0.05 mg/ml
5% Glucose 182
kompatibel
Injektion Paclitaxel 0.29 mg/ml
Injektion Granisetron hydrochloride 1 mg/ml
0,9% Natriumchlorid 57
kompatibel
Injektion Paclitaxel 1.2 mg/ml
Injektion Haloperidol lactate 0.2 mg/ml
5% Glucose 85
kompatibel
Injektion Paclitaxel 1.2 mg/ml
Injektion Heparin sodium 100 UI/ml
5% Glucose 248
kompatibel
Injektion Paclitaxel 1.2 mg/ml
Injektion Hydrocortisone sodium succinate 1 mg/ml
5% Glucose 248
kompatibel
Injektion Paclitaxel 1.2 mg/ml
Injektion Hydromorphone hydrochloride 0.5 mg/ml
5% Glucose 248
Trübungsverlust nicht kompatibel
Injektion Paclitaxel 1.2 mg/ml
Injektion Hydroxyzine dihydrochloride 4 mg/ml
5% Glucose 248
kompatibel
Injektion Paclitaxel 1.2 mg/ml
Injektion Ifosfamide 25 mg/ml
5% Glucose 248
kompatibel
Injektion Paclitaxel 0.6 mg/ml
Injektion Lansoprazole 0.55 mg/ml
0,9% Natriumchlorid 1625
kompatibel
Injektion Paclitaxel 0.6 mg/ml
Injektion Linezolid 2 mg/ml
Kein 1925
kompatibel
Injektion Paclitaxel 1.2 mg/ml
Injektion Lorazepam 0.1 mg/ml
5% Glucose 85
kompatibel
Injektion Paclitaxel 1.2 mg/ml
Injektion Magnesium sulfate 100 mg/ml
5% Glucose 248
kompatibel
Injektion Paclitaxel 1.2 mg/ml
Injektion Mannitol 150 mg/ml
5% Glucose 248
kompatibel
Injektion Paclitaxel 1.2 mg/ml
Injektion Mesna 10 mg/ml
5% Glucose 248
kompatibel
Injektion Paclitaxel 1.2 mg/ml
Injektion Methotrexate sodium 15 mg/ml
5% Glucose 85
Trübungsverlust nicht kompatibel
Injektion Paclitaxel 1.2 mg/ml
Injektion Methylprednisolone sodium succinate 5 mg/ml
5% Glucose 248
kompatibel
Injektion Paclitaxel 1.2 mg/ml
Injektion Metoclopramide hydrochloride 5 mg/ml
5% Glucose 85
Trübungsverlust nicht kompatibel
Injektion Paclitaxel 1.2 mg/ml
Injektion Mitoxantrone dihydrochloride 0.5 mg/ml
5% Glucose 248
kompatibel
Injektion Paclitaxel 1.2 mg/ml
Injektion Morphine sulfate 1 mg/ml
5% Glucose 248
kompatibel
Injektion Paclitaxel 1.2 mg/ml
Injektion Nalbuphine hydrochloride 10 mg/ml
5% Glucose 248
kompatibel
Injektion Paclitaxel 0.3 & 1.2 mg/ml
Injektion Ondansetron hydrochloride 0.03 & 0.3 mg/ml
5% Glucose 47
kompatibel
Injektion Paclitaxel 1.2 mg/ml
Injektion Ondansetron hydrochloride 0.5 mg/ml
5% Glucose 248
kompatibel
Injektion Paclitaxel 0,6 mg/ml
Injektion Oxaliplatin 0,5 mg/ml
5% Glucose 1662
kompatibel
Injektion Paclitaxel 1,2 mg/ml
Injektion Palonosetron hydrochloride 50 µg/ml
5% Glucose 1940
kompatibel
Injektion Paclitaxel 0.6 mg/ml
Injektion Pemetrexed disodium 20 mg/ml
0,9% Natriumchlorid 1953
kompatibel
Injektion Paclitaxel 1.2 mg/ml
Injektion Pentostatin 0.4 mg/ml
5% Glucose 248
kompatibel
Injektion Paclitaxel 1.2 mg/ml
Injektion Pethidine hydrochloride 4 mg/ml
5% Glucose 248
kompatibel
Injektion Paclitaxel 1.2 mg/ml
Injektion Potassium chloride 100 mEq/l
5% Glucose 248
kompatibel
Injektion Paclitaxel 1.2 mg/ml
Injektion Prochlorperazine edysilate 0.5 mg/ml
5% Glucose 85
kompatibel
Injektion Paclitaxel 1.2 mg/ml
Injektion Propofol 10 mg/ml
Kein 300
kompatibel
Injektion Paclitaxel 0.3 & 1.2 mg/ml
Injektion Ranitidine hydrochloride 0.5 & 2 mg/ml
5% Glucose 47
kompatibel
Injektion Paclitaxel 1.2 mg/ml
Injektion Ranitidine hydrochloride 2 mg/ml
5% Glucose 85
kompatibel
Injektion Paclitaxel 1.2 mg/ml
Injektion Sodium bicarbonate 84 mg/ml
5% Glucose 248
kompatibel
Injektion Paclitaxel 0.6 mg/ml
Injektion Thiotepa 1 mg/ml
5% Glucose 249
kompatibel
Injektion Paclitaxel 0.54 mg/ml
Injektion Topotecan 0.056 mg/ml
0,9% Natriumchlorid 1026
kompatibel
Injektion Paclitaxel 0.54 mg/ml
Injektion Topotecan 0.056 mg/ml
5% Glucose 1026
kompatibel
Injektion Paclitaxel 1.2 mg/ml
Injektion Vancomycin hydrochloride 10 mg/ml
5% Glucose 85
kompatibel
Injektion Paclitaxel 1.2 mg/ml
Injektion Vinblastine sulfate 0.12 mg/ml
5% Glucose 248
kompatibel
Injektion Paclitaxel 1.2 mg/ml
Injektion Vincristine sulfate 0.05 mg/ml
5% Glucose 248
kompatibel
Injektion Paclitaxel 1.2 mg/ml
Injektion Zidovudine 4 mg/ml
5% Glucose 248

  Mentions Légales