Dernière mise à jour :
27/01/2026
Anticancéreux   Paclitaxel  
injectable
Stabilité des solutions Stabilité en mélange Facteur influençant la stabilité Compatibilités Voie d’administration Bibliographie pdf
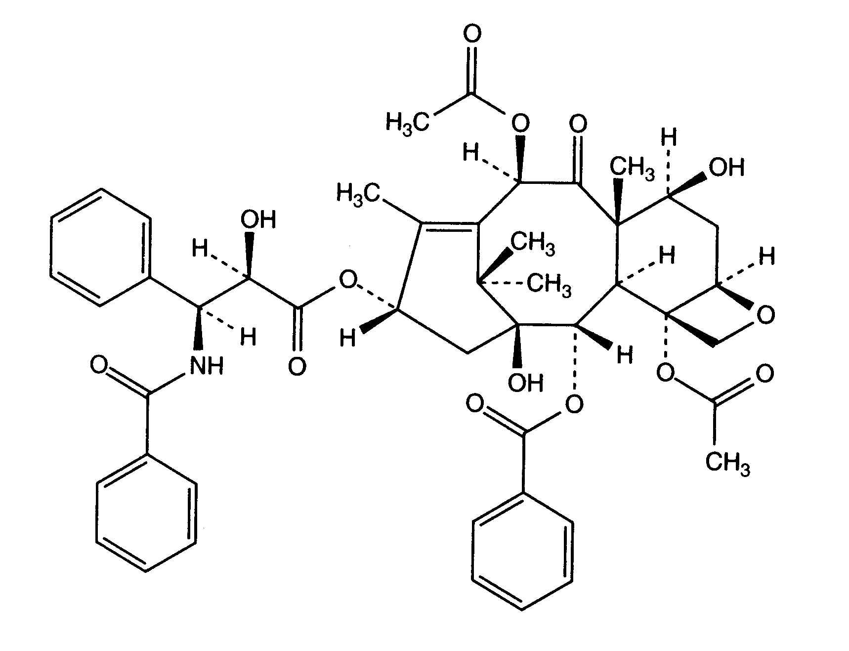
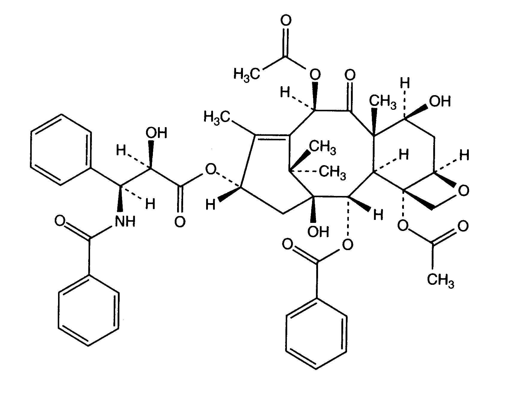
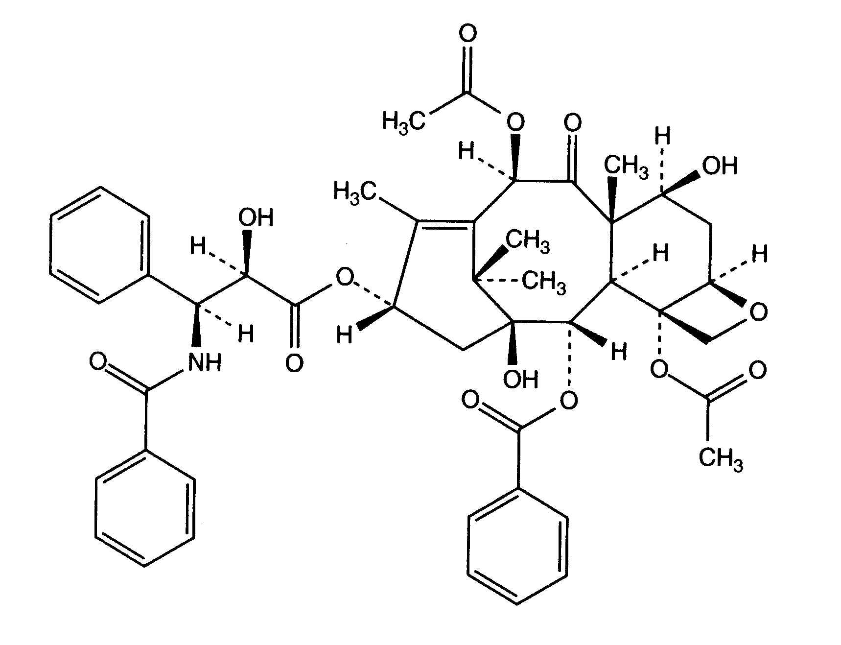
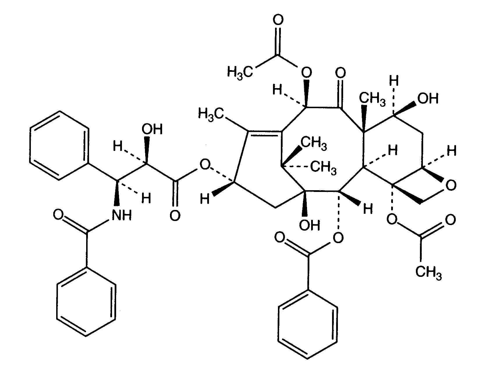
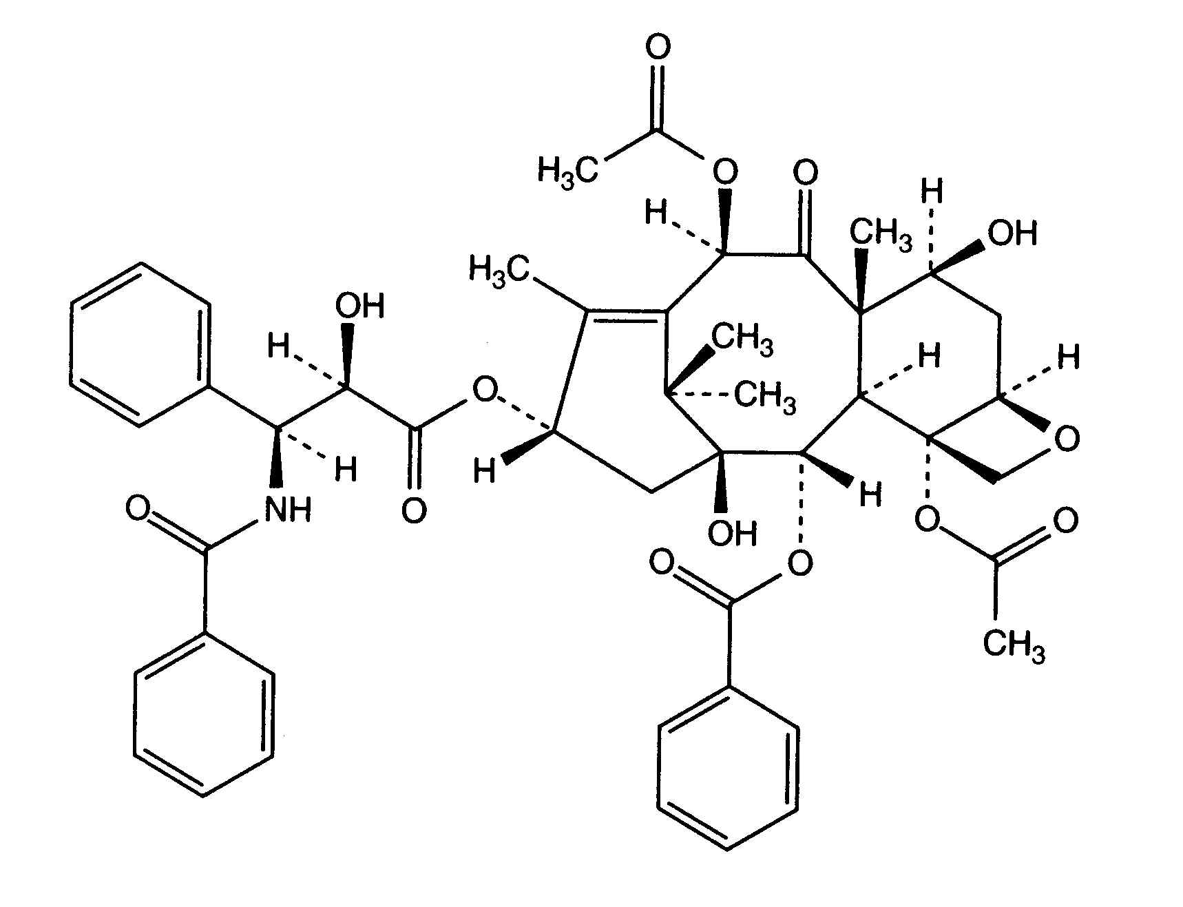
   Structure chimique  

Noms commerciaux   Noms commerciaux     

Les noms commerciaux sont donnés à titre indicatif et la composition en excipients peut être différente selon les pays et selon les laboratoires

Aclipak Malaisie
Acoexcel Mexique
Acupaxil Maroc
Anzatax Arabie Saoudite, Egypte, Emirats Arabes Unis , Iran, Malaisie, Maroc, Nouvelle Zélande, Pérou, Tunisie, Turquie
Aritaxel Allemagne
Cantaxel Inde
Clitaxel Argentine, Vénézuela
Dalys Argentine
Ebetaxel Arabie Saoudite, Autriche, Iran, Maroc, Tunisie, Turquie
Genexol Egypte, Inde, Iran
Onxol Etats Unis d’Amérique
Paclinova Argentine
Paclitaxin Brésil, Luxembourg, Malaisie, Slovénie
Parexel Brésil, Colombie, Equateur, Vénézuela
Paxene Danemark, Espagne, Grèce, Irlande, Pays bas, Pologne
Poltaxel Pologne
Ribotax Allemagne
Taxol Autriche, Brésil, Colombie, Danemark, Egypte, Emirats Arabes Unis , Grèce, Iran, Italie, Japon, Malaisie, Maroc, Nouvelle Zélande, Pays bas, Pérou, Pologne, Portugal, Slovénie, Suède, Suisse, Turquie, Vénézuela
Taxomedac Allemagne
Vitax Brésil, Pérou, Turquie
Stabilité en mélange   injectable   Stabilité en mélange : Paclitaxel     
Contenant Solvant Concentration Molécule Température Conservation Durée de stabilité Bibliographie
Verre Chlorure de sodium 0,9% 0,145 mg/ml
injectable   Paclitaxel   
injectable   Granisetron hydrochloride 0,5 mg/ml
20°C-23°C
4 Heure
Lumière 57
Niveau de preuve A +
Verre Glucose 5% 0,3 & 1,2 mg/ml
injectable   Paclitaxel   
injectable   Ondansetron hydrochloride 0,03 & 0,3 mg/ml
23°C
4 Heure
Lumière 47
Niveau de preuve A
Verre Glucose 5% 0,3 & 1,2 mg/ml
injectable   Paclitaxel   
injectable   Ranitidine hydrochloride 0,5 & 2 mg/ml
23°C
4 Heure
Lumière 47
Niveau de preuve A
Verre Glucose 5% 1,2 mg/ml
injectable   Paclitaxel   
injectable   Ondansetron hydrochloride 0,3 mg/ml
injectable   Ranitidine hydrochloride 2,0 mg/ml
23°C
4 Heure
Lumière 47
Niveau de preuve A
Verre Glucose 5% 0,3 & 1,2 mg/ml
injectable   Paclitaxel   
injectable   Fluconazole 2 mg/ml
23°C
4 Heure
Lumière 151
Niveau de preuve A
Verre Glucose 5% 0,62 mg/ml
injectable   Paclitaxel   
injectable   Palonosetron hydrochloride 26,6 µg/ml
25°C
4 Heure
Non précisée 1940
Niveau de preuve A +
Verre Glucose 5% 0,6 mg/ml
injectable   Paclitaxel   
injectable   Acetyl L-carnitine 15 mg/ml
25°C
4 Heure
3277
Niveau de preuve A +
Polyolefine Chlorure de sodium 0,9% 0,3 & 1,2 mg/ml
injectable   Paclitaxel   
injectable   Doxorubicin hydrochloride 0,2 mg/ml
23°C
24 Heure
Lumière 1286
JOKER
Polyolefine Chlorure de sodium 0,9% 0,3 & 1,2 mg/ml
injectable   Paclitaxel   
injectable   Carboplatin 2 mg/ml
23°C
24 Heure
Non précisée 872
Niveau de preuve B +
Polyolefine Chlorure de sodium 0,9% 0,3 & 1,2 mg/ml
injectable   Paclitaxel   
injectable   Doxorubicin hydrochloride 0,2 mg/ml
32°C
24 Heure
Lumière 1286
JOKER
Polyolefine Chlorure de sodium 0,9% 0,3 & 1,2 mg/ml
injectable   Paclitaxel   
injectable   Carboplatin 2 mg/ml
32°C
24 Heure
Non précisée 872
Niveau de preuve B +
Polyolefine Chlorure de sodium 0,9% 0,3 & 1,2 mg/ml
injectable   Paclitaxel   
injectable   Carboplatin 2 mg/ml
4°C
24 Heure
A l’abri de la lumière 872
Niveau de preuve B +
Polyolefine Chlorure de sodium 0,9% 0,3 & 1,2 mg/ml
injectable   Paclitaxel   
injectable   Doxorubicin hydrochloride 0,2 mg/ml
4°C
24 Heure
A l’abri de la lumière 1286
JOKER
Polyolefine Glucose 5% 0,3 & 1,2 mg/ml
injectable   Paclitaxel   
injectable   Doxorubicin hydrochloride 0,2 mg/ml
23°C
24 Heure
Lumière 1286
JOKER
Polyolefine Glucose 5% 0,3 & 1,2 mg/ml
injectable   Paclitaxel   
injectable   Carboplatin 2 mg/ml
23°C
24 Heure
Non précisée 872
Niveau de preuve B +
Polyolefine Glucose 5% 0,3 & 1,2 mg/ml
injectable   Paclitaxel   
injectable   Doxorubicin hydrochloride 0,2 mg/ml
32°C
24 Heure
Lumière 1286
JOKER
Polyolefine Glucose 5% 0,3 & 1,2 mg/ml
injectable   Paclitaxel   
injectable   Carboplatin 2 mg/ml
32°C
24 Heure
Non précisée 872
Niveau de preuve B +
Polyolefine Glucose 5% 0,3 & 1,2 mg/ml
injectable   Paclitaxel   
injectable   Carboplatin 2 mg/ml
4°C
24 Heure
A l’abri de la lumière 872
Niveau de preuve B +
Polyolefine Glucose 5% 0,3 & 1,2 mg/ml
injectable   Paclitaxel   
injectable   Doxorubicin hydrochloride 0,2 mg/ml
4°C
24 Heure
A l’abri de la lumière 1286
JOKER
Non précisé Chlorure de sodium 0,9% 0,27 mg/ml
injectable   Paclitaxel   
injectable   Topotecan 0,028 mg/ml
20°C-23°C
4 Heure
Lumière 1026
Niveau de preuve C
Non précisé Glucose 5% 0,27 mg/ml
injectable   Paclitaxel   
injectable   Topotecan 0,028 mg/ml
20°C-23°C
4 Heure
Lumière 1026
Niveau de preuve C

  Mentions Légales