Posledná aktualizácia :
27/04/2026
Protinádorová liečba   Paclitaxel  
Injekcia
Stabilita roztokov Stabilita v zmesiach Faktory ovplyvňujúce stabilitu Kompatibility spôsob podania Odkazy na literatúru PDF
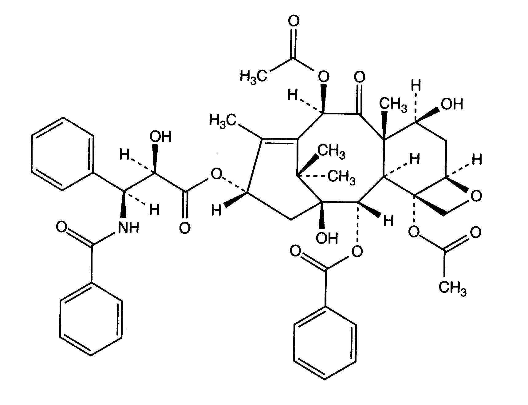
   Chemický vzorec  

Obchodný názov   Obchodný názov     

Obchodné názvy sú orientačné, a zloženie pomocných látok sa môže líšiť v závislosti od krajiny a výrobcu.

Aclipak Malajzia
Acoexcel Mexiko
Acupaxil Maroko
Anzatax Egypt, Irán, Malajzia, Maroko, nový Zéland, peru, Saudská Arábia, Spojené arabské emiráty, Tunisko, Turecko
Aritaxel Nemecko
Cantaxel India
Clitaxel Argentína, Venezuela
Dalys Argentína
Ebetaxel Irán, Maroko, Rakúsko, Saudská Arábia, Tunisko, Turecko
Genexol Egypt, India, Irán
Onxol Spojené štáty Americké
Paclinova Argentína
Paclitaxin Brazília, Luxembursko, Malajzia, Slovinsko
Parexel Brazília, Ekvádor, Kolumbia, Venezuela
Paxene Dánsko, Grécko, Holandsko, Írsko, Poľsko, Španielsko
Poltaxel Poľsko
Ribotax Nemecko
Taxol Brazília, Dánsko, Egypt, Grécko, Holandsko, Irán, Japonsko, Kolumbia, Malajzia, Maroko, nový Zéland, peru, Poľsko, Portugalsko, Rakúsko, Slovinsko, Spojené arabské emiráty, Švajčiarsko, Švédsko, Taliansko, Turecko, Venezuela
Taxomedac Nemecko
Vitax Brazília, peru, Turecko
Kompatibility   Injekcia   Kompatibility : Paclitaxel              
Toto okno zobrazuje kompatibility alebo inkombatibility, v prípade inkompatibility aj jej typ (vyzrážanie, zmena farby, zmena emulzie atď.). Tu vymenované kompatibility sú väčšinou len fyzikálne, chemická stabilita každej zo zlúčenín sa hodnotila len zriedkavo. Tieto zmesi sa skúmali za účelom možnosti súbežného podávania pacientovi cez infúznu spojku Y. Údaje sa nedajú použiť na prípravu zmesí vo vakoch alebo striekačkách. Taká informácia sa nachádza v okne „Stabilita v zmesiach“.
Zlúčenina rozpúšťadlo odkazy na lieteratúru
kompatibilný
Injekcia Paclitaxel 1.2 mg/ml
Injekcia Aciclovir sodium 7 mg/ml
5% glukóza 248
kompatibilný
Injekcia Paclitaxel 1.2 mg/ml
Injekcia Amikacin sulfate 5 mg/ml
5% glukóza 248
kompatibilný
Injekcia Paclitaxel 1.2 mg/ml
Injekcia Aminophylline 2.5 mg/ml
5% glukóza 248
Okamžitá zákal nezlučiteľný
Injekcia Paclitaxel 1.2 mg/ml
Injekcia Amphotericin B 0.6 mg/ml
5% glukóza 248
Strata zákalu nezlučiteľný
Injekcia Paclitaxel 0.6 mg/ml
Injekcia Amphotericin B cholesteryl sulfate complex 0.83 mg/ml
5% glukóza 921
kompatibilný
Injekcia Paclitaxel 1.2 mg/ml
Injekcia Ampicillin sodium - sulbactam sodium 20/10 mg/ml
5% glukóza 248
kompatibilný
Injekcia Paclitaxel 0.6 mg/ml
Injekcia Anidulafungin 0.5 mg/ml
5% glukóza 1982
kompatibilný
Injekcia Paclitaxel 1.2 mg/ml
Injekcia Bleomycin sulfate 1 mg/ml
5% glukóza 248
kompatibilný
Injekcia Paclitaxel 1.2 mg/ml
Injekcia Butorphanol tartrate 0.04 mg/ml
5% glukóza 248
kompatibilný
Injekcia Paclitaxel 1.2 mg/ml
Injekcia Calcium chloride 20 mg/ml
5% glukóza 248
kompatibilný
Injekcia Paclitaxel 1.2 mg/ml
Injekcia Carboplatin 5 mg/ml
5% glukóza 85
kompatibilný
Injekcia Paclitaxel 0,3 & 1,2 mg/ml
Injekcia Carboplatin 2 mg/ml
0,9% chlorid sodný 872
kompatibilný
Injekcia Paclitaxel 0,3 & 1,2 mg/ml
Injekcia Carboplatin 2 mg/ml
5% glukóza 872
kompatibilný
Injekcia Paclitaxel 1.2 mg/ml
Injekcia Ceforanide 20 mg/ml
5% glukóza 248
kompatibilný
Injekcia Paclitaxel 1.2 mg/ml
Injekcia Ceftazidime 40 mg/ml
5% glukóza 248
kompatibilný
Injekcia Paclitaxel 1.2 mg/ml
Injekcia Ceftriaxone disodium 20 mg/ml
5% glukóza 248
Strata zákalu nezlučiteľný
Injekcia Paclitaxel 1.2 mg/ml
Injekcia Chlorpromazine hydrochloride 2 mg/ml
5% glukóza 248
kompatibilný
Injekcia Paclitaxel
5% glukóza 1956
kompatibilný
Injekcia Paclitaxel 0,3 & 1,2 mg/ml
Injekcia Cisplatin 0,2 mg/ml
0,9% chlorid sodný 872
kompatibilný
Injekcia Paclitaxel 1.2 mg/ml
Parenterálna výživa (lipidy) 1415
kompatibilný
Injekcia Paclitaxel 1.2 mg/ml
parenterálna výživa (binárna zmes) 301
kompatibilný
Injekcia Paclitaxel 1.2 mg/ml
Injekcia Cimetidine hydrochloride 12 mg/ml
5% glukóza 85
kompatibilný
Injekcia Paclitaxel 1.2 mg/ml
Injekcia Cisplatin 1 mg/ml
5% glukóza 85
Chemická nestabilita nezlučiteľný
Injekcia Paclitaxel
Injekcia Cisplatin
3578
kompatibilný
Injekcia Paclitaxel 0.6 mg/ml
Injekcia Cladribine 0.5 mg/ml
0,9% chlorid sodný + antibakteriálna látka 1496
kompatibilný
Injekcia Paclitaxel 0.6 mg/ml
Injekcia Cladribine 0.015 mg/ml
0,9% chlorid sodný 1496
kompatibilný
Injekcia Paclitaxel 1.2 mg/ml
Injekcia Cyclophosphamide 10 mg/ml
5% glukóza 85
kompatibilný
Injekcia Paclitaxel 1.2 mg/ml
Injekcia Cytarabine 50 mg/ml
5% glukóza 85
kompatibilný
Injekcia Paclitaxel 1.2 mg/ml
Injekcia Dacarbazine 4 mg/ml
5% glukóza 248
kompatibilný
Injekcia Paclitaxel 1.2 mg/ml
Injekcia Dexamethasone sodium phosphate 1 mg/ml
5% glukóza 85
kompatibilný
Injekcia Paclitaxel 1.2 mg/ml
Injekcia Diphenhydramine hydrochloride 2 mg/ml
5% glukóza 85
kompatibilný
Injekcia Paclitaxel 0,6 mg/ml
Injekcia Doripenem 5 mg/ml
0,9% chlorid sodný 2262
kompatibilný
Injekcia Paclitaxel 0,6 mg/ml
Injekcia Doripenem 5 mg/ml
5% glukóza 2262
kompatibilný
Injekcia Paclitaxel 0,3 & 1,2 mg/ml
Injekcia Doxorubicin hydrochloride 0,2 mg/ml
5% glukóza 1286
kompatibilný
Injekcia Paclitaxel 1.2 mg/ml
Injekcia Doxorubicin hydrochloride 2 mg/ml
5% glukóza 85
kompatibilný
Injekcia Paclitaxel 0,3 & 1,2 mg/ml
Injekcia Doxorubicin hydrochloride 0,2 mg/ml
0,9% chlorid sodný 1286
Strata zákalu nezlučiteľný
Injekcia Paclitaxel 0.6 mg/ml
Injekcia Doxorubicin hydrochloride liposome peg 0.4 mg/ml
5% glukóza 251
kompatibilný
Injekcia Paclitaxel
0,9% chlorid sodný 1956
kompatibilný
Injekcia Paclitaxel 1.2 mg/ml
Injekcia Droperidol 0.4 mg/ml
5% glukóza 248
kompatibilný
Injekcia Paclitaxel 1.2 mg/ml
Injekcia Etoposide 0.4 mg/ml
5% glukóza 85
kompatibilný
Injekcia Paclitaxel 1.2 mg/ml
Injekcia Etoposide phosphate 5 mg/ml
5% glukóza 1410
kompatibilný
Injekcia Paclitaxel 1.2 mg/ml
Injekcia Famotidine 2 mg/ml
5% glukóza 248
kompatibilný
Injekcia Paclitaxel 1.2 mg/ml
Injekcia Floxuridine 3 mg/ml
5% glukóza 248
kompatibilný
Injekcia Paclitaxel 0,3 & 1,2 mg/ml
Injekcia Fluconazole 2 mg/ml
5% glukóza 151
kompatibilný
Injekcia Paclitaxel 1.2 mg/ml
Injekcia Fluconazole 2 mg/ml
5% glukóza 248
kompatibilný
Injekcia Paclitaxel 1.2 mg/ml
Injekcia Fluorouracil 16 mg/ml
5% glukóza 85
kompatibilný
Injekcia Paclitaxel 1.2 mg/ml
Injekcia Furosemide 3 mg/ml
5% glukóza 248
kompatibilný
Injekcia Paclitaxel 1.2 mg/ml
Injekcia Ganciclovir sodium 20 mg/ml
5% glukóza 248
kompatibilný
Injekcia Paclitaxel 1.2 mg/ml
Injekcia Gemcitabine hydrochloride 10 mg/ml
0,9% chlorid sodný 1423
kompatibilný
Injekcia Paclitaxel 1.2 mg/ml
Injekcia Gentamicin sulfate 5 mg/ml
5% glukóza 248
kompatibilný
Injekcia Paclitaxel 1.2 mg/ml
Injekcia Granisetron hydrochloride 0.05 mg/ml
5% glukóza 182
kompatibilný
Injekcia Paclitaxel 0.29 mg/ml
Injekcia Granisetron hydrochloride 1 mg/ml
0,9% chlorid sodný 57
kompatibilný
Injekcia Paclitaxel 1.2 mg/ml
Injekcia Haloperidol lactate 0.2 mg/ml
5% glukóza 85
kompatibilný
Injekcia Paclitaxel 1.2 mg/ml
Injekcia Heparin sodium 100 UI/ml
5% glukóza 248
kompatibilný
Injekcia Paclitaxel 1.2 mg/ml
Injekcia Hydrocortisone sodium succinate 1 mg/ml
5% glukóza 248
kompatibilný
Injekcia Paclitaxel 1.2 mg/ml
Injekcia Hydromorphone hydrochloride 0.5 mg/ml
5% glukóza 248
Strata zákalu nezlučiteľný
Injekcia Paclitaxel 1.2 mg/ml
Injekcia Hydroxyzine dihydrochloride 4 mg/ml
5% glukóza 248
kompatibilný
Injekcia Paclitaxel 1.2 mg/ml
Injekcia Ifosfamide 25 mg/ml
5% glukóza 248
kompatibilný
Injekcia Paclitaxel 0.6 mg/ml
Injekcia Lansoprazole 0.55 mg/ml
0,9% chlorid sodný 1625
kompatibilný
Injekcia Paclitaxel 0.6 mg/ml
Injekcia Linezolid 2 mg/ml
Žiadny 1925
kompatibilný
Injekcia Paclitaxel 1.2 mg/ml
Injekcia Lorazepam 0.1 mg/ml
5% glukóza 85
kompatibilný
Injekcia Paclitaxel 1.2 mg/ml
Injekcia Magnesium sulfate 100 mg/ml
5% glukóza 248
kompatibilný
Injekcia Paclitaxel 1.2 mg/ml
Injekcia Mannitol 150 mg/ml
5% glukóza 248
kompatibilný
Injekcia Paclitaxel 1.2 mg/ml
Injekcia Mesna 10 mg/ml
5% glukóza 248
kompatibilný
Injekcia Paclitaxel 1.2 mg/ml
Injekcia Methotrexate sodium 15 mg/ml
5% glukóza 85
Strata zákalu nezlučiteľný
Injekcia Paclitaxel 1.2 mg/ml
Injekcia Methylprednisolone sodium succinate 5 mg/ml
5% glukóza 248
kompatibilný
Injekcia Paclitaxel 1.2 mg/ml
Injekcia Metoclopramide hydrochloride 5 mg/ml
5% glukóza 85
Strata zákalu nezlučiteľný
Injekcia Paclitaxel 1.2 mg/ml
Injekcia Mitoxantrone dihydrochloride 0.5 mg/ml
5% glukóza 248
kompatibilný
Injekcia Paclitaxel 1.2 mg/ml
Injekcia Morphine sulfate 1 mg/ml
5% glukóza 248
kompatibilný
Injekcia Paclitaxel 1.2 mg/ml
Injekcia Nalbuphine hydrochloride 10 mg/ml
5% glukóza 248
kompatibilný
Injekcia Paclitaxel 0.3 & 1.2 mg/ml
Injekcia Ondansetron hydrochloride 0.03 & 0.3 mg/ml
5% glukóza 47
kompatibilný
Injekcia Paclitaxel 1.2 mg/ml
Injekcia Ondansetron hydrochloride 0.5 mg/ml
5% glukóza 248
kompatibilný
Injekcia Paclitaxel 0,6 mg/ml
Injekcia Oxaliplatin 0,5 mg/ml
5% glukóza 1662
kompatibilný
Injekcia Paclitaxel 1,2 mg/ml
Injekcia Palonosetron hydrochloride 50 µg/ml
5% glukóza 1940
kompatibilný
Injekcia Paclitaxel 0.6 mg/ml
Injekcia Pemetrexed disodium 20 mg/ml
0,9% chlorid sodný 1953
kompatibilný
Injekcia Paclitaxel 1.2 mg/ml
Injekcia Pentostatin 0.4 mg/ml
5% glukóza 248
kompatibilný
Injekcia Paclitaxel 1.2 mg/ml
Injekcia Pethidine hydrochloride 4 mg/ml
5% glukóza 248
kompatibilný
Injekcia Paclitaxel 1.2 mg/ml
Injekcia Potassium chloride 100 mEq/l
5% glukóza 248
kompatibilný
Injekcia Paclitaxel 1.2 mg/ml
Injekcia Prochlorperazine edysilate 0.5 mg/ml
5% glukóza 85
kompatibilný
Injekcia Paclitaxel 1.2 mg/ml
Injekcia Propofol 10 mg/ml
Žiadny 300
kompatibilný
Injekcia Paclitaxel 0.3 & 1.2 mg/ml
Injekcia Ranitidine hydrochloride 0.5 & 2 mg/ml
5% glukóza 47
kompatibilný
Injekcia Paclitaxel 1.2 mg/ml
Injekcia Ranitidine hydrochloride 2 mg/ml
5% glukóza 85
kompatibilný
Injekcia Paclitaxel 1.2 mg/ml
Injekcia Sodium bicarbonate 84 mg/ml
5% glukóza 248
kompatibilný
Injekcia Paclitaxel 0.6 mg/ml
Injekcia Thiotepa 1 mg/ml
5% glukóza 249
kompatibilný
Injekcia Paclitaxel 0.54 mg/ml
Injekcia Topotecan 0.056 mg/ml
0,9% chlorid sodný 1026
kompatibilný
Injekcia Paclitaxel 0.54 mg/ml
Injekcia Topotecan 0.056 mg/ml
5% glukóza 1026
kompatibilný
Injekcia Paclitaxel 1.2 mg/ml
Injekcia Vancomycin hydrochloride 10 mg/ml
5% glukóza 85
kompatibilný
Injekcia Paclitaxel 1.2 mg/ml
Injekcia Vinblastine sulfate 0.12 mg/ml
5% glukóza 248
kompatibilný
Injekcia Paclitaxel 1.2 mg/ml
Injekcia Vincristine sulfate 0.05 mg/ml
5% glukóza 248
kompatibilný
Injekcia Paclitaxel 1.2 mg/ml
Injekcia Zidovudine 4 mg/ml
5% glukóza 248

  Mentions Légales