Pēdējā atjaunošana :
27/01/2026
vēzis narkotiku   Paclitaxel  
Injekcija
Šķīduma stabilitāte Maisījuma stabilitāte Stabilitāti ietekmējoši faktori Saderība Levadīšanas veids Literatūras saraksts pdf
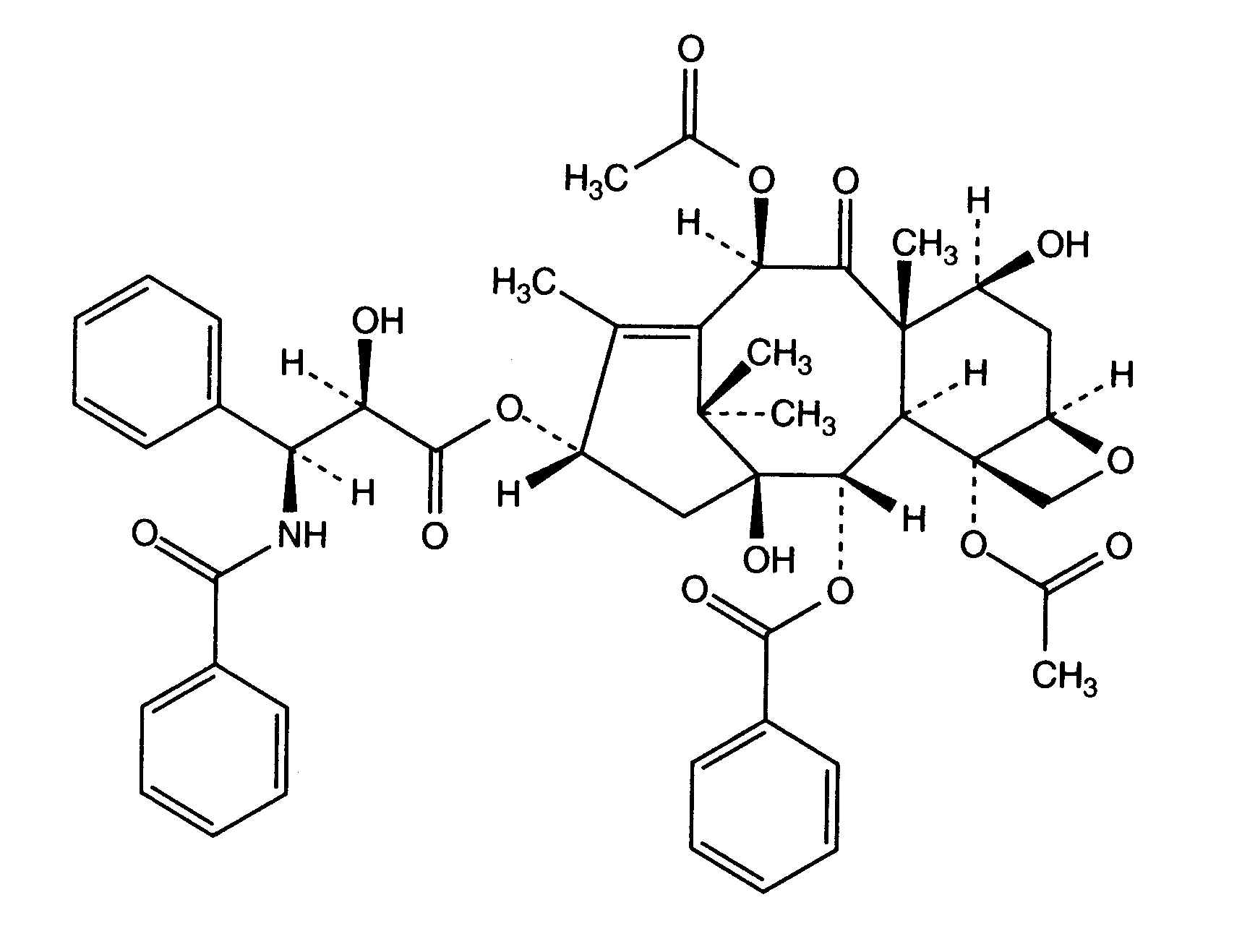
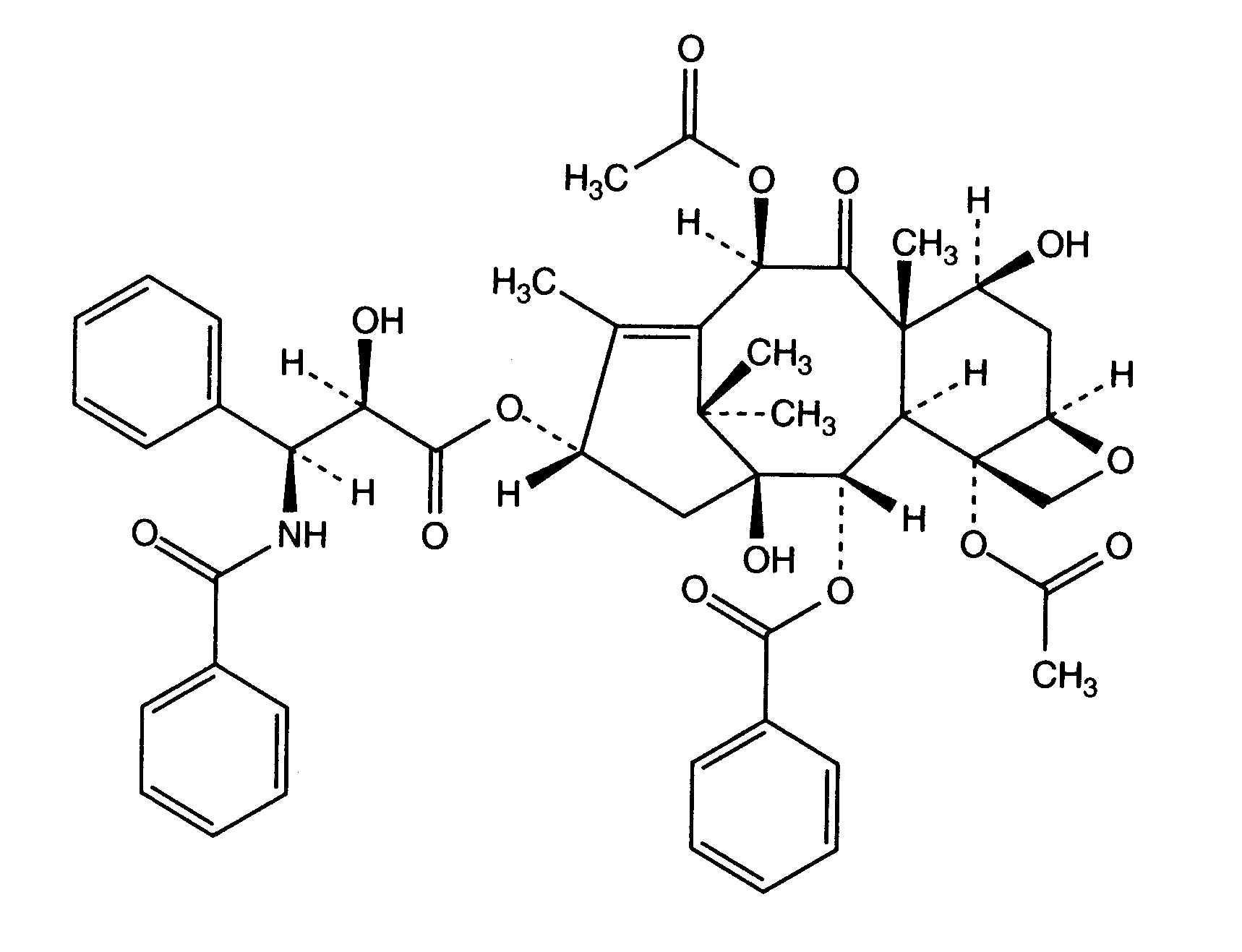
   Ķīmiskā uzbūve   

Oriģinālais nosaukums   Oriģinālais nosaukums     

Tirdzniecības nosaukumi ir apzīmējoši un palīgvielas var atšķirties dažādām valstīm un laboratorijām

Aclipak Malaizija
Acoexcel Meksika
Acupaxil Maroka
Anzatax Apvienotie Arābu Emirāti, Ēģipte, Irāna, Jaunzēlande, Malaizija, Maroka, Peru, Saūda Arābija, Tunisija, Turcija
Aritaxel Vācija
Cantaxel Indija
Clitaxel Argentīna, Venecuēla
Dalys Argentīna
Ebetaxel Austrija, Irāna, Maroka, Saūda Arābija, Tunisija, Turcija
Genexol Ēģipte, Indija, Irāna
Onxol Amerikas Savienotās Valstis
Paclinova Argentīna
Paclitaxin Brazīlija, Luksemburga, Malaizija, Slovēnija
Parexel Brazīlija, Ekvadora, Kolumbija, Venecuēla
Paxene Dānija, Grieķija, Holande, Īrija, Polija, Spānija
Poltaxel Polija
Ribotax Vācija
Taxol Apvienotie Arābu Emirāti, Austrija, Brazīlija, Dānija, Ēģipte, Grieķija, Holande, Irāna, Itālija, Japāna, Jaunzēlande, Kolumbija, Malaizija, Maroka, Peru, Polija, Portugāle, Slovēnija, Šveice, Turcija, Venecuēla, Zviedrija
Taxomedac Vācija
Vitax Brazīlija, Peru, Turcija
Saderība   Injekcija   Saderība : Paclitaxel              
Šī tabula parāda zāļu saderību vai nesaderību, pēc iespējas arī nesaderības tipu (precipitācija, krāsas maiņa, emulsijas sadalīšanās utt). Parādītas šeit saderības ir pārsvarā tikai fizikālās, pēc iespējas tiek parādīta ķīmiskā stabilitāte katrai molekulai. Šo maisījumu analīze tikai veikta, lai izprastu iespējamību ievadīt zāles Y-savienojuma vietā sistēmā pacientam. Šie dati nevar tikt izmantoti, lai pagatavot zāļu maisījumus vēlākai lietošanai maisos vai šļircēs. Šī informācija ir pieejama sadaļā "Maisījuma stabilitāte".
Savienojums Šķīdinātājs Literatūras saraksts
Savietojams
Injekcija Paclitaxel 1.2 mg/ml
Injekcija Aciclovir sodium 7 mg/ml
5% glikoze 248
Savietojams
Injekcija Paclitaxel 1.2 mg/ml
Injekcija Amikacin sulfate 5 mg/ml
5% glikoze 248
Savietojams
Injekcija Paclitaxel 1.2 mg/ml
Injekcija Aminophylline 2.5 mg/ml
5% glikoze 248
Tūlītēja duļķainība Nesavienojams
Injekcija Paclitaxel 1.2 mg/ml
Injekcija Amphotericin B 0.6 mg/ml
5% glikoze 248
Duļķainības zudums Nesavienojams
Injekcija Paclitaxel 0.6 mg/ml
Injekcija Amphotericin B cholesteryl sulfate complex 0.83 mg/ml
5% glikoze 921
Savietojams
Injekcija Paclitaxel 1.2 mg/ml
Injekcija Ampicillin sodium - sulbactam sodium 20/10 mg/ml
5% glikoze 248
Savietojams
Injekcija Paclitaxel 0.6 mg/ml
Injekcija Anidulafungin 0.5 mg/ml
5% glikoze 1982
Savietojams
Injekcija Paclitaxel 1.2 mg/ml
Injekcija Bleomycin sulfate 1 mg/ml
5% glikoze 248
Savietojams
Injekcija Paclitaxel 1.2 mg/ml
Injekcija Butorphanol tartrate 0.04 mg/ml
5% glikoze 248
Savietojams
Injekcija Paclitaxel 1.2 mg/ml
Injekcija Calcium chloride 20 mg/ml
5% glikoze 248
Savietojams
Injekcija Paclitaxel 1.2 mg/ml
Injekcija Carboplatin 5 mg/ml
5% glikoze 85
Savietojams
Injekcija Paclitaxel 0,3 & 1,2 mg/ml
Injekcija Carboplatin 2 mg/ml
Nātrija hlorīds 0.9% 872
Savietojams
Injekcija Paclitaxel 0,3 & 1,2 mg/ml
Injekcija Carboplatin 2 mg/ml
5% glikoze 872
Savietojams
Injekcija Paclitaxel 1.2 mg/ml
Injekcija Ceforanide 20 mg/ml
5% glikoze 248
Savietojams
Injekcija Paclitaxel 1.2 mg/ml
Injekcija Ceftazidime 40 mg/ml
5% glikoze 248
Savietojams
Injekcija Paclitaxel 1.2 mg/ml
Injekcija Ceftriaxone disodium 20 mg/ml
5% glikoze 248
Duļķainības zudums Nesavienojams
Injekcija Paclitaxel 1.2 mg/ml
Injekcija Chlorpromazine hydrochloride 2 mg/ml
5% glikoze 248
Savietojams
Injekcija Paclitaxel
5% glikoze 1956
Savietojams
Injekcija Paclitaxel 0,3 & 1,2 mg/ml
Injekcija Cisplatin 0,2 mg/ml
Nātrija hlorīds 0.9% 872
Savietojams
Injekcija Paclitaxel 1.2 mg/ml
Parenterāla barošana (ar lipīdiem) 1415
Savietojams
Injekcija Paclitaxel 1.2 mg/ml
Parenterāla barošana (lipīdu-free) 301
Savietojams
Injekcija Paclitaxel 1.2 mg/ml
Injekcija Cimetidine hydrochloride 12 mg/ml
5% glikoze 85
Savietojams
Injekcija Paclitaxel 1.2 mg/ml
Injekcija Cisplatin 1 mg/ml
5% glikoze 85
Ķīmiskā nestabilitāte Nesavienojams
Injekcija Paclitaxel
Injekcija Cisplatin
3578
Savietojams
Injekcija Paclitaxel 0.6 mg/ml
Injekcija Cladribine 0.5 mg/ml
0.9% NaCl + antibakteriāls 1496
Savietojams
Injekcija Paclitaxel 0.6 mg/ml
Injekcija Cladribine 0.015 mg/ml
Nātrija hlorīds 0.9% 1496
Savietojams
Injekcija Paclitaxel 1.2 mg/ml
Injekcija Cyclophosphamide 10 mg/ml
5% glikoze 85
Savietojams
Injekcija Paclitaxel 1.2 mg/ml
Injekcija Cytarabine 50 mg/ml
5% glikoze 85
Savietojams
Injekcija Paclitaxel 1.2 mg/ml
Injekcija Dacarbazine 4 mg/ml
5% glikoze 248
Savietojams
Injekcija Paclitaxel 1.2 mg/ml
Injekcija Dexamethasone sodium phosphate 1 mg/ml
5% glikoze 85
Savietojams
Injekcija Paclitaxel 1.2 mg/ml
Injekcija Diphenhydramine hydrochloride 2 mg/ml
5% glikoze 85
Savietojams
Injekcija Paclitaxel 0,6 mg/ml
Injekcija Doripenem 5 mg/ml
Nātrija hlorīds 0.9% 2262
Savietojams
Injekcija Paclitaxel 0,6 mg/ml
Injekcija Doripenem 5 mg/ml
5% glikoze 2262
Savietojams
Injekcija Paclitaxel 0,3 & 1,2 mg/ml
Injekcija Doxorubicin hydrochloride 0,2 mg/ml
5% glikoze 1286
Savietojams
Injekcija Paclitaxel 1.2 mg/ml
Injekcija Doxorubicin hydrochloride 2 mg/ml
5% glikoze 85
Savietojams
Injekcija Paclitaxel 0,3 & 1,2 mg/ml
Injekcija Doxorubicin hydrochloride 0,2 mg/ml
Nātrija hlorīds 0.9% 1286
Duļķainības zudums Nesavienojams
Injekcija Paclitaxel 0.6 mg/ml
Injekcija Doxorubicin hydrochloride liposome peg 0.4 mg/ml
5% glikoze 251
Savietojams
Injekcija Paclitaxel
Nātrija hlorīds 0.9% 1956
Savietojams
Injekcija Paclitaxel 1.2 mg/ml
Injekcija Droperidol 0.4 mg/ml
5% glikoze 248
Savietojams
Injekcija Paclitaxel 1.2 mg/ml
Injekcija Etoposide 0.4 mg/ml
5% glikoze 85
Savietojams
Injekcija Paclitaxel 1.2 mg/ml
Injekcija Etoposide phosphate 5 mg/ml
5% glikoze 1410
Savietojams
Injekcija Paclitaxel 1.2 mg/ml
Injekcija Famotidine 2 mg/ml
5% glikoze 248
Savietojams
Injekcija Paclitaxel 1.2 mg/ml
Injekcija Floxuridine 3 mg/ml
5% glikoze 248
Savietojams
Injekcija Paclitaxel 0,3 & 1,2 mg/ml
Injekcija Fluconazole 2 mg/ml
5% glikoze 151
Savietojams
Injekcija Paclitaxel 1.2 mg/ml
Injekcija Fluconazole 2 mg/ml
5% glikoze 248
Savietojams
Injekcija Paclitaxel 1.2 mg/ml
Injekcija Fluorouracil 16 mg/ml
5% glikoze 85
Savietojams
Injekcija Paclitaxel 1.2 mg/ml
Injekcija Furosemide 3 mg/ml
5% glikoze 248
Savietojams
Injekcija Paclitaxel 1.2 mg/ml
Injekcija Ganciclovir sodium 20 mg/ml
5% glikoze 248
Savietojams
Injekcija Paclitaxel 1.2 mg/ml
Injekcija Gemcitabine hydrochloride 10 mg/ml
Nātrija hlorīds 0.9% 1423
Savietojams
Injekcija Paclitaxel 1.2 mg/ml
Injekcija Gentamicin sulfate 5 mg/ml
5% glikoze 248
Savietojams
Injekcija Paclitaxel 1.2 mg/ml
Injekcija Granisetron hydrochloride 0.05 mg/ml
5% glikoze 182
Savietojams
Injekcija Paclitaxel 0.29 mg/ml
Injekcija Granisetron hydrochloride 1 mg/ml
Nātrija hlorīds 0.9% 57
Savietojams
Injekcija Paclitaxel 1.2 mg/ml
Injekcija Haloperidol lactate 0.2 mg/ml
5% glikoze 85
Savietojams
Injekcija Paclitaxel 1.2 mg/ml
Injekcija Heparin sodium 100 UI/ml
5% glikoze 248
Savietojams
Injekcija Paclitaxel 1.2 mg/ml
Injekcija Hydrocortisone sodium succinate 1 mg/ml
5% glikoze 248
Savietojams
Injekcija Paclitaxel 1.2 mg/ml
Injekcija Hydromorphone hydrochloride 0.5 mg/ml
5% glikoze 248
Duļķainības zudums Nesavienojams
Injekcija Paclitaxel 1.2 mg/ml
Injekcija Hydroxyzine dihydrochloride 4 mg/ml
5% glikoze 248
Savietojams
Injekcija Paclitaxel 1.2 mg/ml
Injekcija Ifosfamide 25 mg/ml
5% glikoze 248
Savietojams
Injekcija Paclitaxel 0.6 mg/ml
Injekcija Lansoprazole 0.55 mg/ml
Nātrija hlorīds 0.9% 1625
Savietojams
Injekcija Paclitaxel 0.6 mg/ml
Injekcija Linezolid 2 mg/ml
Nekāds 1925
Savietojams
Injekcija Paclitaxel 1.2 mg/ml
Injekcija Lorazepam 0.1 mg/ml
5% glikoze 85
Savietojams
Injekcija Paclitaxel 1.2 mg/ml
Injekcija Magnesium sulfate 100 mg/ml
5% glikoze 248
Savietojams
Injekcija Paclitaxel 1.2 mg/ml
Injekcija Mannitol 150 mg/ml
5% glikoze 248
Savietojams
Injekcija Paclitaxel 1.2 mg/ml
Injekcija Mesna 10 mg/ml
5% glikoze 248
Savietojams
Injekcija Paclitaxel 1.2 mg/ml
Injekcija Methotrexate sodium 15 mg/ml
5% glikoze 85
Duļķainības zudums Nesavienojams
Injekcija Paclitaxel 1.2 mg/ml
Injekcija Methylprednisolone sodium succinate 5 mg/ml
5% glikoze 248
Savietojams
Injekcija Paclitaxel 1.2 mg/ml
Injekcija Metoclopramide hydrochloride 5 mg/ml
5% glikoze 85
Duļķainības zudums Nesavienojams
Injekcija Paclitaxel 1.2 mg/ml
Injekcija Mitoxantrone dihydrochloride 0.5 mg/ml
5% glikoze 248
Savietojams
Injekcija Paclitaxel 1.2 mg/ml
Injekcija Morphine sulfate 1 mg/ml
5% glikoze 248
Savietojams
Injekcija Paclitaxel 1.2 mg/ml
Injekcija Nalbuphine hydrochloride 10 mg/ml
5% glikoze 248
Savietojams
Injekcija Paclitaxel 0.3 & 1.2 mg/ml
Injekcija Ondansetron hydrochloride 0.03 & 0.3 mg/ml
5% glikoze 47
Savietojams
Injekcija Paclitaxel 1.2 mg/ml
Injekcija Ondansetron hydrochloride 0.5 mg/ml
5% glikoze 248
Savietojams
Injekcija Paclitaxel 0,6 mg/ml
Injekcija Oxaliplatin 0,5 mg/ml
5% glikoze 1662
Savietojams
Injekcija Paclitaxel 1,2 mg/ml
Injekcija Palonosetron hydrochloride 50 µg/ml
5% glikoze 1940
Savietojams
Injekcija Paclitaxel 0.6 mg/ml
Injekcija Pemetrexed disodium 20 mg/ml
Nātrija hlorīds 0.9% 1953
Savietojams
Injekcija Paclitaxel 1.2 mg/ml
Injekcija Pentostatin 0.4 mg/ml
5% glikoze 248
Savietojams
Injekcija Paclitaxel 1.2 mg/ml
Injekcija Pethidine hydrochloride 4 mg/ml
5% glikoze 248
Savietojams
Injekcija Paclitaxel 1.2 mg/ml
Injekcija Potassium chloride 100 mEq/l
5% glikoze 248
Savietojams
Injekcija Paclitaxel 1.2 mg/ml
Injekcija Prochlorperazine edysilate 0.5 mg/ml
5% glikoze 85
Savietojams
Injekcija Paclitaxel 1.2 mg/ml
Injekcija Propofol 10 mg/ml
Nekāds 300
Savietojams
Injekcija Paclitaxel 0.3 & 1.2 mg/ml
Injekcija Ranitidine hydrochloride 0.5 & 2 mg/ml
5% glikoze 47
Savietojams
Injekcija Paclitaxel 1.2 mg/ml
Injekcija Ranitidine hydrochloride 2 mg/ml
5% glikoze 85
Savietojams
Injekcija Paclitaxel 1.2 mg/ml
Injekcija Sodium bicarbonate 84 mg/ml
5% glikoze 248
Savietojams
Injekcija Paclitaxel 0.6 mg/ml
Injekcija Thiotepa 1 mg/ml
5% glikoze 249
Savietojams
Injekcija Paclitaxel 0.54 mg/ml
Injekcija Topotecan 0.056 mg/ml
Nātrija hlorīds 0.9% 1026
Savietojams
Injekcija Paclitaxel 0.54 mg/ml
Injekcija Topotecan 0.056 mg/ml
5% glikoze 1026
Savietojams
Injekcija Paclitaxel 1.2 mg/ml
Injekcija Vancomycin hydrochloride 10 mg/ml
5% glikoze 85
Savietojams
Injekcija Paclitaxel 1.2 mg/ml
Injekcija Vinblastine sulfate 0.12 mg/ml
5% glikoze 248
Savietojams
Injekcija Paclitaxel 1.2 mg/ml
Injekcija Vincristine sulfate 0.05 mg/ml
5% glikoze 248
Savietojams
Injekcija Paclitaxel 1.2 mg/ml
Injekcija Zidovudine 4 mg/ml
5% glikoze 248

  Mentions Légales