Ultimele actualizari :
27/04/2026
Citostatic   Paclitaxel  
Injectabil
Stabilitatea in solutie Stabilitatea in amestec Factorii care influenteaza stabilitatea Compatibilitate Microunde Bibliografie pdf
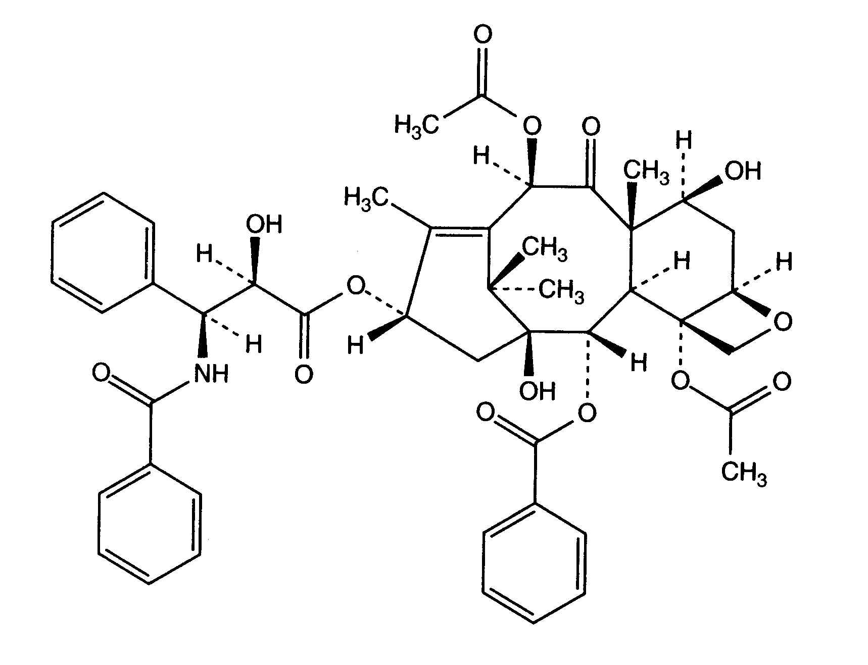
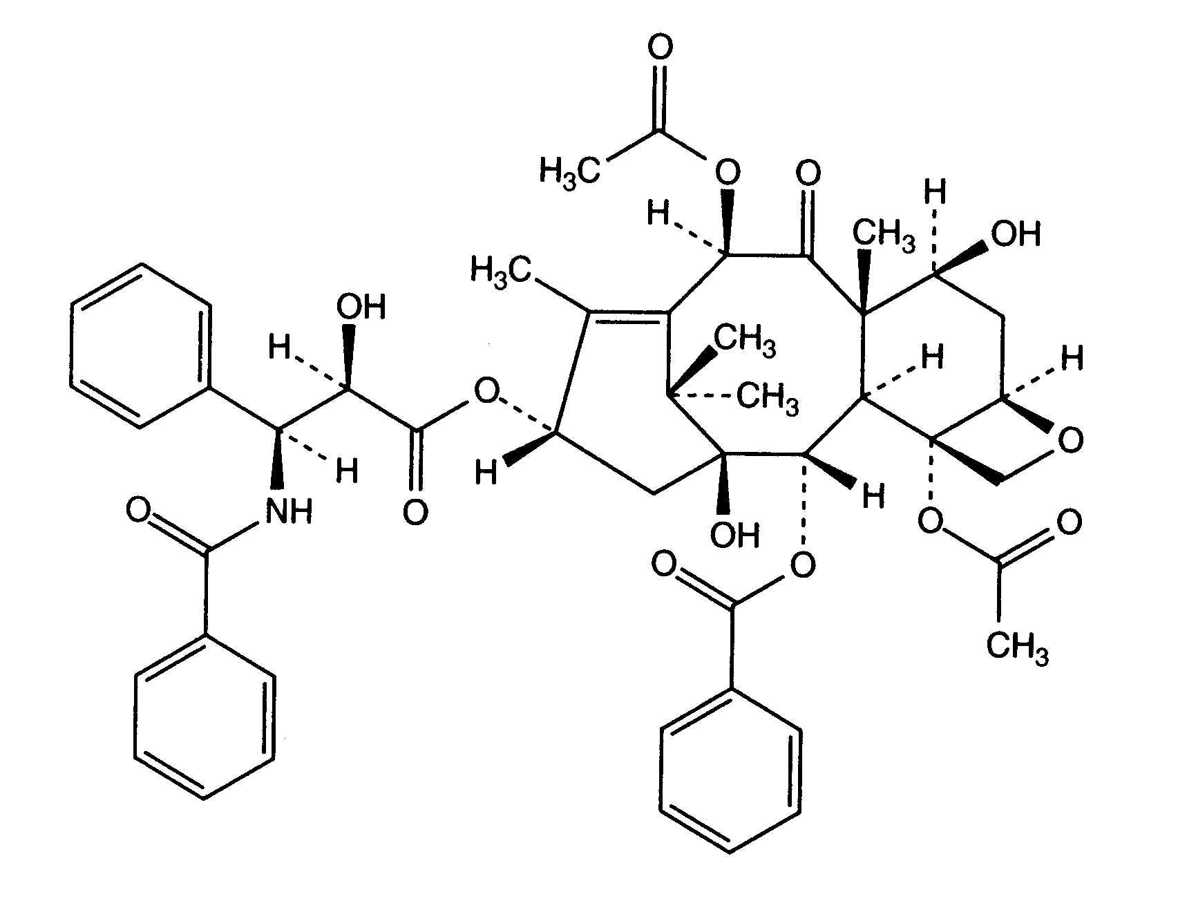
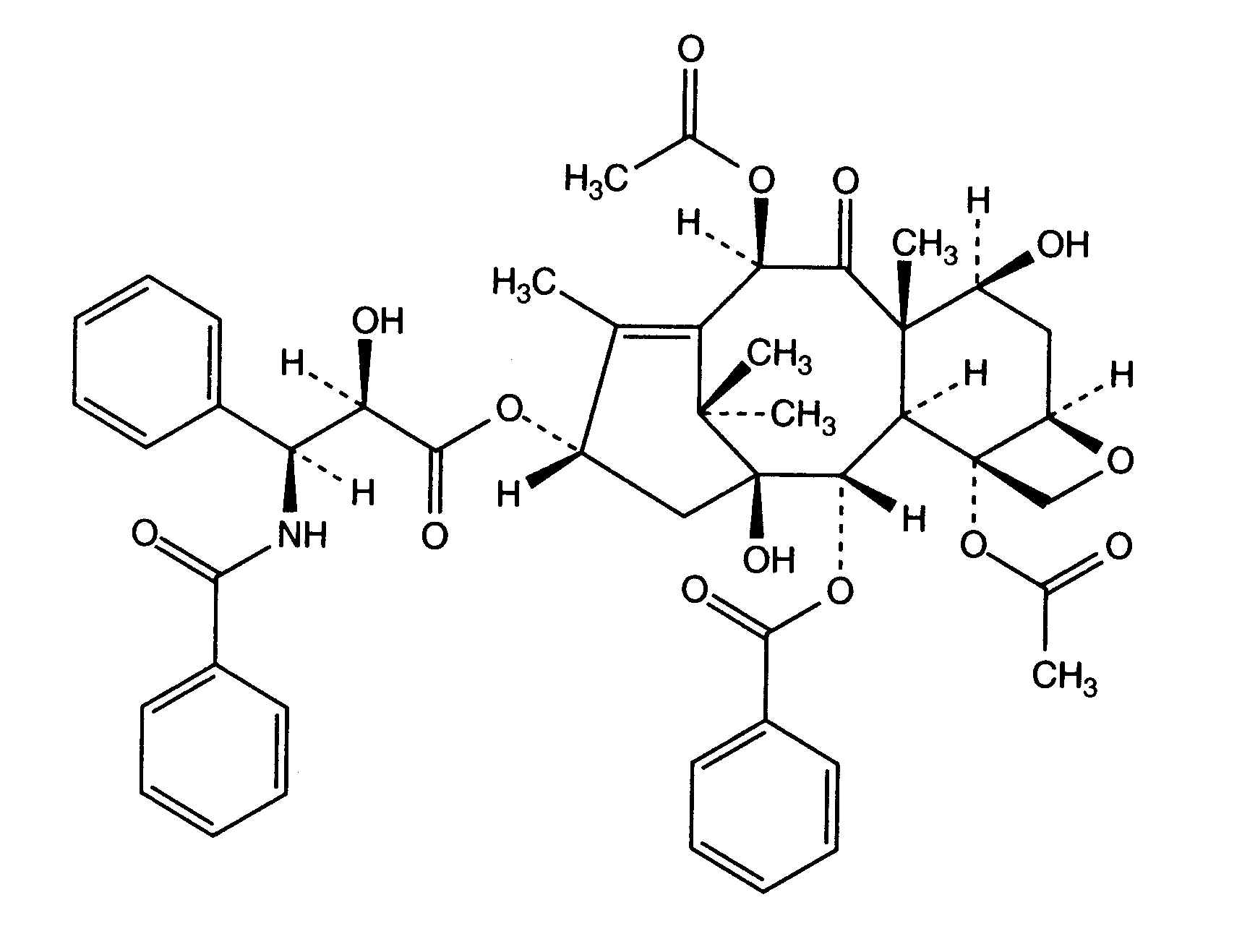
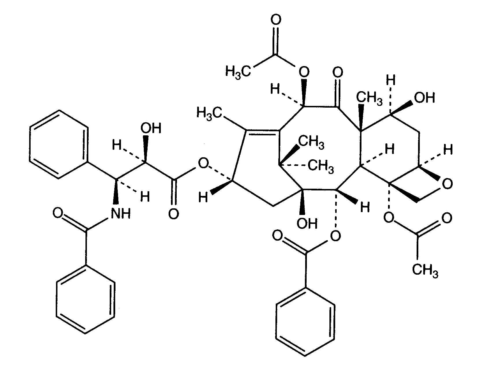
   Formula chimica  

Denumirea comerciala   Denumirea comerciala     

Trade names are indicative and excipients composition can be different depending on the country and manufacturers

Aclipak Malaezia
Acoexcel Mexic
Acupaxil Maroc
Anzatax Arabia Saudita, Egipt, Emiratele Arabe Unite, Iran, Malaezia, Maroc, noua Zeelandă, Peru, Tunisia, Turcia
Aritaxel Germania
Cantaxel India
Clitaxel Argentina, Venezuela
Dalys Argentina
Ebetaxel Arabia Saudita, Austria, Iran, Maroc, Tunisia, Turcia
Genexol Egipt, India, Iran
Onxol SUA
Paclinova Argentina
Paclitaxin Brazilia, Luxemburg, Malaezia, Slovenia
Parexel Brazilia, Columbia, Ecuador, Venezuela
Paxene Danemarca, Grecia, Irlanda, Olanda, Polonia, Spania
Poltaxel Polonia
Ribotax Germania
Taxol Austria, Brazilia, Columbia, Danemarca, Egipt, Elvetia, Emiratele Arabe Unite, Grecia, Iran, Italia, Japonia, Malaezia, Maroc, noua Zeelandă, Olanda, Peru, Polonia, Portugalia, Slovenia, Suedia, Turcia, Venezuela
Taxomedac Germania
Vitax Brazilia, Peru, Turcia
Compatibilitate   Injectabil   Compatibilitate : Paclitaxel              
Acest ecran indică compatibilitățile sau incompatibilitățile cu, în acest caz, tipul de incompatibilitate (precipitații, schimbarea culorii, modificarea unei emulsii etc.). Compatibilitățile prezentate aici sunt în mare parte numai fizice, stabilitatea chimică a fiecărei molecule fiind rareori evaluată. Evaluarea acestor amestecuri a fost studiată pentru a lua în considerare posibilitatea administrării site-ului Y la pacient. Aceste date nu pot fi utilizate pentru prepararea în prealabil a amestecurilor în pungi sau seringi. Acest tip de informații este disponibil în ecranul „Stabilitate în amestec».
Molecula (substanta activa) Solvent Bibiografie
Compatibil
Injectabil Paclitaxel 1.2 mg/ml
Injectabil Aciclovir sodium 7 mg/ml
Glucoza 5% 248
Compatibil
Injectabil Paclitaxel 1.2 mg/ml
Injectabil Amikacin sulfate 5 mg/ml
Glucoza 5% 248
Compatibil
Injectabil Paclitaxel 1.2 mg/ml
Injectabil Aminophylline 2.5 mg/ml
Glucoza 5% 248
Turbiditate imediată Incompatibil
Injectabil Paclitaxel 1.2 mg/ml
Injectabil Amphotericin B 0.6 mg/ml
Glucoza 5% 248
Pierderea turbidității Incompatibil
Injectabil Paclitaxel 0.6 mg/ml
Injectabil Amphotericin B cholesteryl sulfate complex 0.83 mg/ml
Glucoza 5% 921
Compatibil
Injectabil Paclitaxel 1.2 mg/ml
Injectabil Ampicillin sodium - sulbactam sodium 20/10 mg/ml
Glucoza 5% 248
Compatibil
Injectabil Paclitaxel 0.6 mg/ml
Injectabil Anidulafungin 0.5 mg/ml
Glucoza 5% 1982
Compatibil
Injectabil Paclitaxel 1.2 mg/ml
Injectabil Bleomycin sulfate 1 mg/ml
Glucoza 5% 248
Compatibil
Injectabil Paclitaxel 1.2 mg/ml
Injectabil Butorphanol tartrate 0.04 mg/ml
Glucoza 5% 248
Compatibil
Injectabil Paclitaxel 1.2 mg/ml
Injectabil Calcium chloride 20 mg/ml
Glucoza 5% 248
Compatibil
Injectabil Paclitaxel 1.2 mg/ml
Injectabil Carboplatin 5 mg/ml
Glucoza 5% 85
Compatibil
Injectabil Paclitaxel 0,3 & 1,2 mg/ml
Injectabil Carboplatin 2 mg/ml
clorura de sodiu 0,9% 872
Compatibil
Injectabil Paclitaxel 0,3 & 1,2 mg/ml
Injectabil Carboplatin 2 mg/ml
Glucoza 5% 872
Compatibil
Injectabil Paclitaxel 1.2 mg/ml
Injectabil Ceforanide 20 mg/ml
Glucoza 5% 248
Compatibil
Injectabil Paclitaxel 1.2 mg/ml
Injectabil Ceftazidime 40 mg/ml
Glucoza 5% 248
Compatibil
Injectabil Paclitaxel 1.2 mg/ml
Injectabil Ceftriaxone disodium 20 mg/ml
Glucoza 5% 248
Pierderea turbidității Incompatibil
Injectabil Paclitaxel 1.2 mg/ml
Injectabil Chlorpromazine hydrochloride 2 mg/ml
Glucoza 5% 248
Compatibil
Injectabil Paclitaxel
Glucoza 5% 1956
Compatibil
Injectabil Paclitaxel 0,3 & 1,2 mg/ml
Injectabil Cisplatin 0,2 mg/ml
clorura de sodiu 0,9% 872
Compatibil
Injectabil Paclitaxel 1.2 mg/ml
Nutriție parenterală (cu lipide) 1415
Compatibil
Injectabil Paclitaxel 1.2 mg/ml
Nutritie parenterala (amestec binar) 301
Compatibil
Injectabil Paclitaxel 1.2 mg/ml
Injectabil Cimetidine hydrochloride 12 mg/ml
Glucoza 5% 85
Compatibil
Injectabil Paclitaxel 1.2 mg/ml
Injectabil Cisplatin 1 mg/ml
Glucoza 5% 85
Instabilitate chimică Incompatibil
Injectabil Paclitaxel
Injectabil Cisplatin
3578
Compatibil
Injectabil Paclitaxel 0.6 mg/ml
Injectabil Cladribine 0.5 mg/ml
NaCl 0,9% + agent antibacterian 1496
Compatibil
Injectabil Paclitaxel 0.6 mg/ml
Injectabil Cladribine 0.015 mg/ml
clorura de sodiu 0,9% 1496
Compatibil
Injectabil Paclitaxel 1.2 mg/ml
Injectabil Cyclophosphamide 10 mg/ml
Glucoza 5% 85
Compatibil
Injectabil Paclitaxel 1.2 mg/ml
Injectabil Cytarabine 50 mg/ml
Glucoza 5% 85
Compatibil
Injectabil Paclitaxel 1.2 mg/ml
Injectabil Dacarbazine 4 mg/ml
Glucoza 5% 248
Compatibil
Injectabil Paclitaxel 1.2 mg/ml
Injectabil Dexamethasone sodium phosphate 1 mg/ml
Glucoza 5% 85
Compatibil
Injectabil Paclitaxel 1.2 mg/ml
Injectabil Diphenhydramine hydrochloride 2 mg/ml
Glucoza 5% 85
Compatibil
Injectabil Paclitaxel 0,6 mg/ml
Injectabil Doripenem 5 mg/ml
clorura de sodiu 0,9% 2262
Compatibil
Injectabil Paclitaxel 0,6 mg/ml
Injectabil Doripenem 5 mg/ml
Glucoza 5% 2262
Compatibil
Injectabil Paclitaxel 0,3 & 1,2 mg/ml
Injectabil Doxorubicin hydrochloride 0,2 mg/ml
Glucoza 5% 1286
Compatibil
Injectabil Paclitaxel 1.2 mg/ml
Injectabil Doxorubicin hydrochloride 2 mg/ml
Glucoza 5% 85
Compatibil
Injectabil Paclitaxel 0,3 & 1,2 mg/ml
Injectabil Doxorubicin hydrochloride 0,2 mg/ml
clorura de sodiu 0,9% 1286
Pierderea turbidității Incompatibil
Injectabil Paclitaxel 0.6 mg/ml
Injectabil Doxorubicin hydrochloride liposome peg 0.4 mg/ml
Glucoza 5% 251
Compatibil
Injectabil Paclitaxel
clorura de sodiu 0,9% 1956
Compatibil
Injectabil Paclitaxel 1.2 mg/ml
Injectabil Droperidol 0.4 mg/ml
Glucoza 5% 248
Compatibil
Injectabil Paclitaxel 1.2 mg/ml
Injectabil Etoposide 0.4 mg/ml
Glucoza 5% 85
Compatibil
Injectabil Paclitaxel 1.2 mg/ml
Injectabil Etoposide phosphate 5 mg/ml
Glucoza 5% 1410
Compatibil
Injectabil Paclitaxel 1.2 mg/ml
Injectabil Famotidine 2 mg/ml
Glucoza 5% 248
Compatibil
Injectabil Paclitaxel 1.2 mg/ml
Injectabil Floxuridine 3 mg/ml
Glucoza 5% 248
Compatibil
Injectabil Paclitaxel 0,3 & 1,2 mg/ml
Injectabil Fluconazole 2 mg/ml
Glucoza 5% 151
Compatibil
Injectabil Paclitaxel 1.2 mg/ml
Injectabil Fluconazole 2 mg/ml
Glucoza 5% 248
Compatibil
Injectabil Paclitaxel 1.2 mg/ml
Injectabil Fluorouracil 16 mg/ml
Glucoza 5% 85
Compatibil
Injectabil Paclitaxel 1.2 mg/ml
Injectabil Furosemide 3 mg/ml
Glucoza 5% 248
Compatibil
Injectabil Paclitaxel 1.2 mg/ml
Injectabil Ganciclovir sodium 20 mg/ml
Glucoza 5% 248
Compatibil
Injectabil Paclitaxel 1.2 mg/ml
Injectabil Gemcitabine hydrochloride 10 mg/ml
clorura de sodiu 0,9% 1423
Compatibil
Injectabil Paclitaxel 1.2 mg/ml
Injectabil Gentamicin sulfate 5 mg/ml
Glucoza 5% 248
Compatibil
Injectabil Paclitaxel 1.2 mg/ml
Injectabil Granisetron hydrochloride 0.05 mg/ml
Glucoza 5% 182
Compatibil
Injectabil Paclitaxel 0.29 mg/ml
Injectabil Granisetron hydrochloride 1 mg/ml
clorura de sodiu 0,9% 57
Compatibil
Injectabil Paclitaxel 1.2 mg/ml
Injectabil Haloperidol lactate 0.2 mg/ml
Glucoza 5% 85
Compatibil
Injectabil Paclitaxel 1.2 mg/ml
Injectabil Heparin sodium 100 UI/ml
Glucoza 5% 248
Compatibil
Injectabil Paclitaxel 1.2 mg/ml
Injectabil Hydrocortisone sodium succinate 1 mg/ml
Glucoza 5% 248
Compatibil
Injectabil Paclitaxel 1.2 mg/ml
Injectabil Hydromorphone hydrochloride 0.5 mg/ml
Glucoza 5% 248
Pierderea turbidității Incompatibil
Injectabil Paclitaxel 1.2 mg/ml
Injectabil Hydroxyzine dihydrochloride 4 mg/ml
Glucoza 5% 248
Compatibil
Injectabil Paclitaxel 1.2 mg/ml
Injectabil Ifosfamide 25 mg/ml
Glucoza 5% 248
Compatibil
Injectabil Paclitaxel 0.6 mg/ml
Injectabil Lansoprazole 0.55 mg/ml
clorura de sodiu 0,9% 1625
Compatibil
Injectabil Paclitaxel 0.6 mg/ml
Injectabil Linezolid 2 mg/ml
fara 1925
Compatibil
Injectabil Paclitaxel 1.2 mg/ml
Injectabil Lorazepam 0.1 mg/ml
Glucoza 5% 85
Compatibil
Injectabil Paclitaxel 1.2 mg/ml
Injectabil Magnesium sulfate 100 mg/ml
Glucoza 5% 248
Compatibil
Injectabil Paclitaxel 1.2 mg/ml
Injectabil Mannitol 150 mg/ml
Glucoza 5% 248
Compatibil
Injectabil Paclitaxel 1.2 mg/ml
Injectabil Mesna 10 mg/ml
Glucoza 5% 248
Compatibil
Injectabil Paclitaxel 1.2 mg/ml
Injectabil Methotrexate sodium 15 mg/ml
Glucoza 5% 85
Pierderea turbidității Incompatibil
Injectabil Paclitaxel 1.2 mg/ml
Injectabil Methylprednisolone sodium succinate 5 mg/ml
Glucoza 5% 248
Compatibil
Injectabil Paclitaxel 1.2 mg/ml
Injectabil Metoclopramide hydrochloride 5 mg/ml
Glucoza 5% 85
Pierderea turbidității Incompatibil
Injectabil Paclitaxel 1.2 mg/ml
Injectabil Mitoxantrone dihydrochloride 0.5 mg/ml
Glucoza 5% 248
Compatibil
Injectabil Paclitaxel 1.2 mg/ml
Injectabil Morphine sulfate 1 mg/ml
Glucoza 5% 248
Compatibil
Injectabil Paclitaxel 1.2 mg/ml
Injectabil Nalbuphine hydrochloride 10 mg/ml
Glucoza 5% 248
Compatibil
Injectabil Paclitaxel 0.3 & 1.2 mg/ml
Injectabil Ondansetron hydrochloride 0.03 & 0.3 mg/ml
Glucoza 5% 47
Compatibil
Injectabil Paclitaxel 1.2 mg/ml
Injectabil Ondansetron hydrochloride 0.5 mg/ml
Glucoza 5% 248
Compatibil
Injectabil Paclitaxel 0,6 mg/ml
Injectabil Oxaliplatin 0,5 mg/ml
Glucoza 5% 1662
Compatibil
Injectabil Paclitaxel 1,2 mg/ml
Injectabil Palonosetron hydrochloride 50 µg/ml
Glucoza 5% 1940
Compatibil
Injectabil Paclitaxel 0.6 mg/ml
Injectabil Pemetrexed disodium 20 mg/ml
clorura de sodiu 0,9% 1953
Compatibil
Injectabil Paclitaxel 1.2 mg/ml
Injectabil Pentostatin 0.4 mg/ml
Glucoza 5% 248
Compatibil
Injectabil Paclitaxel 1.2 mg/ml
Injectabil Pethidine hydrochloride 4 mg/ml
Glucoza 5% 248
Compatibil
Injectabil Paclitaxel 1.2 mg/ml
Injectabil Potassium chloride 100 mEq/l
Glucoza 5% 248
Compatibil
Injectabil Paclitaxel 1.2 mg/ml
Injectabil Prochlorperazine edysilate 0.5 mg/ml
Glucoza 5% 85
Compatibil
Injectabil Paclitaxel 1.2 mg/ml
Injectabil Propofol 10 mg/ml
fara 300
Compatibil
Injectabil Paclitaxel 0.3 & 1.2 mg/ml
Injectabil Ranitidine hydrochloride 0.5 & 2 mg/ml
Glucoza 5% 47
Compatibil
Injectabil Paclitaxel 1.2 mg/ml
Injectabil Ranitidine hydrochloride 2 mg/ml
Glucoza 5% 85
Compatibil
Injectabil Paclitaxel 1.2 mg/ml
Injectabil Sodium bicarbonate 84 mg/ml
Glucoza 5% 248
Compatibil
Injectabil Paclitaxel 0.6 mg/ml
Injectabil Thiotepa 1 mg/ml
Glucoza 5% 249
Compatibil
Injectabil Paclitaxel 0.54 mg/ml
Injectabil Topotecan 0.056 mg/ml
clorura de sodiu 0,9% 1026
Compatibil
Injectabil Paclitaxel 0.54 mg/ml
Injectabil Topotecan 0.056 mg/ml
Glucoza 5% 1026
Compatibil
Injectabil Paclitaxel 1.2 mg/ml
Injectabil Vancomycin hydrochloride 10 mg/ml
Glucoza 5% 85
Compatibil
Injectabil Paclitaxel 1.2 mg/ml
Injectabil Vinblastine sulfate 0.12 mg/ml
Glucoza 5% 248
Compatibil
Injectabil Paclitaxel 1.2 mg/ml
Injectabil Vincristine sulfate 0.05 mg/ml
Glucoza 5% 248
Compatibil
Injectabil Paclitaxel 1.2 mg/ml
Injectabil Zidovudine 4 mg/ml
Glucoza 5% 248

  Mentions Légales