viimane versioon :
27/04/2026
vähiravimite   Paclitaxel  
Süsteravim
Stabiilsus lahustes Stabiilsust mõjutavad tegurid stabiilsust mõjutavad faktorid Sobimatus Manustamis viis Viited pdf
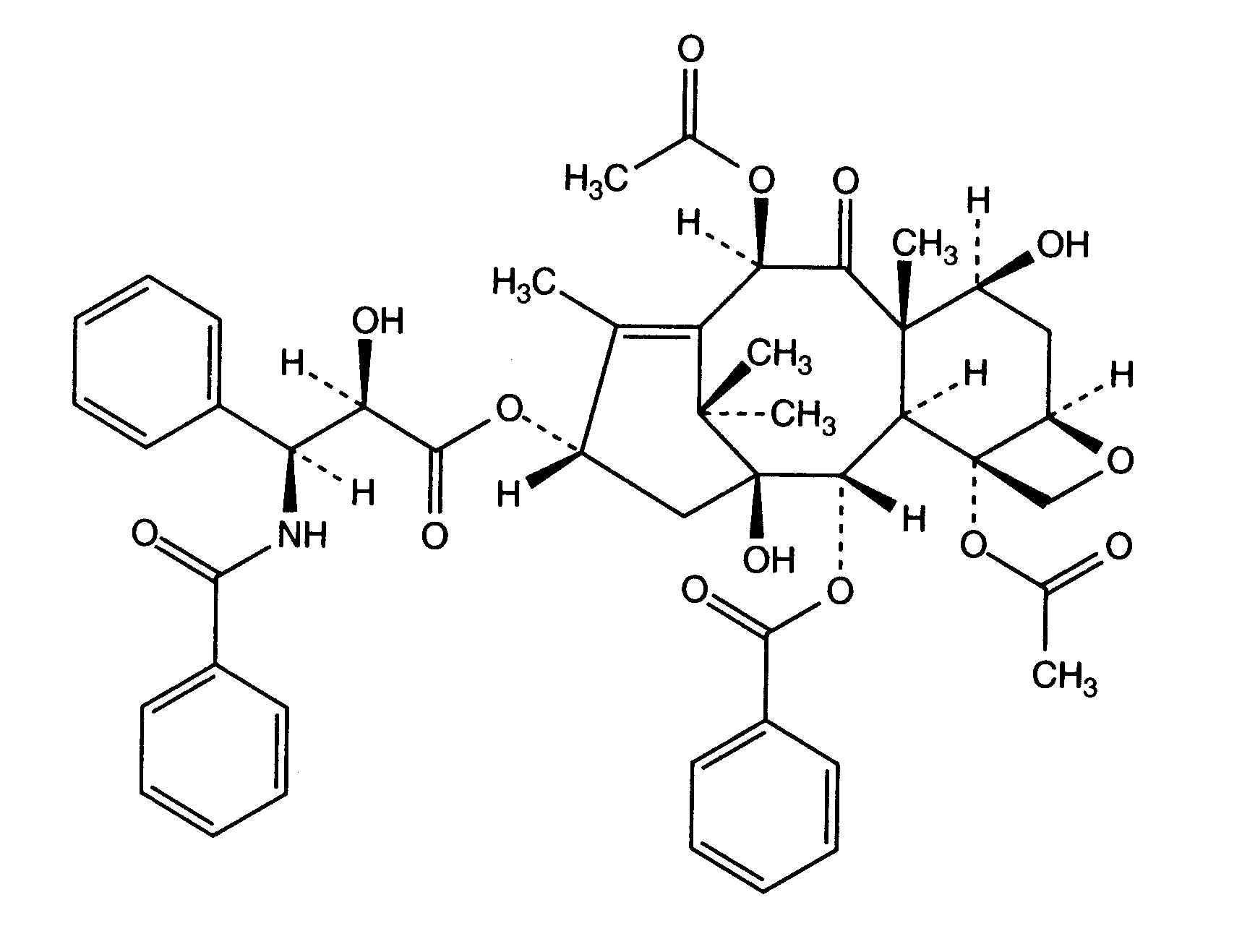
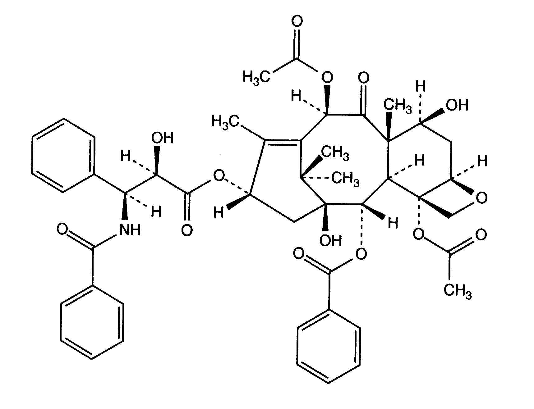
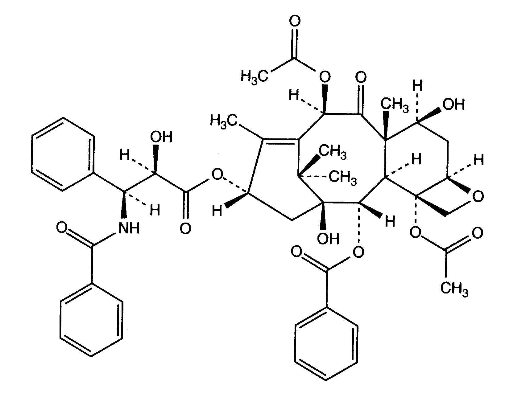
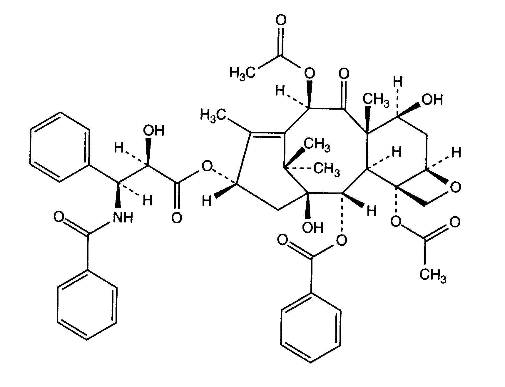
   keemiline struktuur  

Kaubanduslikud nimed erinevates maades   Kaubanduslikud nimed erinevates maades     

Preparaatide nimed on näitlikud ja abianete sisaldus võib erineda sõltuvalt riigist ja laborist

Aclipak Malaisia
Acoexcel Mehhiko
Acupaxil Maroko
Anzatax Araabia Ühendemiraadid, Egiptus, Iraan, Malaisia, Maroko, Maroko, Saudi Araabia, Tuneesia, Türgi, uus-Meremaa
Aritaxel Saksamaa
Cantaxel India
Clitaxel Argentiina, Venetsueela
Dalys Argentiina
Ebetaxel Austria, Iraan, Maroko, Saudi Araabia, Tuneesia, Türgi
Genexol Egiptus, India, Iraan
Onxol Ameerika ühendriigid
Paclinova Argentiina
Paclitaxin Brasiilia, Luksemburg, Malaisia, Sloveenia
Parexel Brasiilia, Ecuador, Kolumbia, Venetsueela
Paxene Hispaania, Holland, Iirimaa, Kreeka, Poola, Taani
Poltaxel Poola
Ribotax Saksamaa
Taxol Araabia Ühendemiraadid, Austria, Brasiilia, Egiptus, Holland, Iraan, Itaalia, Jaapan, Kolumbia, Kreeka, Malaisia, Maroko, Maroko, Poola, Portugal, Rootsi, Sloveenia, Sveits, Taani, Türgi, uus-Meremaa, Venetsueela
Taxomedac Saksamaa
Vitax Brasiilia, Maroko, Türgi
Sobimatus   Süsteravim   Sobimatus : Paclitaxel              
Sellel lehel kuvatakse sobimatusi ja sobimatuse tüüpi (sadenemine, värvuse muutus, emulsiooni modifitseerumine jne). Enamasti on siin lehel kuvatud füüsikalised sobimatused, kuna molekulide keemilist stabiilsust hinnatakse harva. Hinnatud on segude sobivust Y-liinis. Antud infot ei saa kasutada ravimite sobivuse hindamiseks juhul, kui ravimid on segatud süstaldes või infusioonikottides. See info on lehel « stabiilsus segudes ».
ingredient lahusti Viited
Ühilduv
Süsteravim Paclitaxel 1.2 mg/ml
Süsteravim Aciclovir sodium 7 mg/ml
glükoos 5% 248
Ühilduv
Süsteravim Paclitaxel 1.2 mg/ml
Süsteravim Amikacin sulfate 5 mg/ml
glükoos 5% 248
Ühilduv
Süsteravim Paclitaxel 1.2 mg/ml
Süsteravim Aminophylline 2.5 mg/ml
glükoos 5% 248
Kohene hägusus Sobimatu
Süsteravim Paclitaxel 1.2 mg/ml
Süsteravim Amphotericin B 0.6 mg/ml
glükoos 5% 248
Hägususe kaotus Sobimatu
Süsteravim Paclitaxel 0.6 mg/ml
Süsteravim Amphotericin B cholesteryl sulfate complex 0.83 mg/ml
glükoos 5% 921
Ühilduv
Süsteravim Paclitaxel 1.2 mg/ml
Süsteravim Ampicillin sodium - sulbactam sodium 20/10 mg/ml
glükoos 5% 248
Ühilduv
Süsteravim Paclitaxel 0.6 mg/ml
Süsteravim Anidulafungin 0.5 mg/ml
glükoos 5% 1982
Ühilduv
Süsteravim Paclitaxel 1.2 mg/ml
Süsteravim Bleomycin sulfate 1 mg/ml
glükoos 5% 248
Ühilduv
Süsteravim Paclitaxel 1.2 mg/ml
Süsteravim Butorphanol tartrate 0.04 mg/ml
glükoos 5% 248
Ühilduv
Süsteravim Paclitaxel 1.2 mg/ml
Süsteravim Calcium chloride 20 mg/ml
glükoos 5% 248
Ühilduv
Süsteravim Paclitaxel 1.2 mg/ml
Süsteravim Carboplatin 5 mg/ml
glükoos 5% 85
Ühilduv
Süsteravim Paclitaxel 0,3 & 1,2 mg/ml
Süsteravim Carboplatin 2 mg/ml
naatriumkloriid 0.9% 872
Ühilduv
Süsteravim Paclitaxel 0,3 & 1,2 mg/ml
Süsteravim Carboplatin 2 mg/ml
glükoos 5% 872
Ühilduv
Süsteravim Paclitaxel 1.2 mg/ml
Süsteravim Ceforanide 20 mg/ml
glükoos 5% 248
Ühilduv
Süsteravim Paclitaxel 1.2 mg/ml
Süsteravim Ceftazidime 40 mg/ml
glükoos 5% 248
Ühilduv
Süsteravim Paclitaxel 1.2 mg/ml
Süsteravim Ceftriaxone disodium 20 mg/ml
glükoos 5% 248
Hägususe kaotus Sobimatu
Süsteravim Paclitaxel 1.2 mg/ml
Süsteravim Chlorpromazine hydrochloride 2 mg/ml
glükoos 5% 248
Ühilduv
Süsteravim Paclitaxel
glükoos 5% 1956
Ühilduv
Süsteravim Paclitaxel 0,3 & 1,2 mg/ml
Süsteravim Cisplatin 0,2 mg/ml
naatriumkloriid 0.9% 872
Ühilduv
Süsteravim Paclitaxel 1.2 mg/ml
Parenteraalse toitmise (lipiidide) 1415
Ühilduv
Süsteravim Paclitaxel 1.2 mg/ml
Parenteraalse toitmise (lipiide tasuta) 301
Ühilduv
Süsteravim Paclitaxel 1.2 mg/ml
Süsteravim Cimetidine hydrochloride 12 mg/ml
glükoos 5% 85
Ühilduv
Süsteravim Paclitaxel 1.2 mg/ml
Süsteravim Cisplatin 1 mg/ml
glükoos 5% 85
Keemiline ebastabiilsus Sobimatu
Süsteravim Paclitaxel
Süsteravim Cisplatin
3578
Ühilduv
Süsteravim Paclitaxel 0.6 mg/ml
Süsteravim Cladribine 0.5 mg/ml
NaCl 0,9%+  apürogeenne vesi 1496
Ühilduv
Süsteravim Paclitaxel 0.6 mg/ml
Süsteravim Cladribine 0.015 mg/ml
naatriumkloriid 0.9% 1496
Ühilduv
Süsteravim Paclitaxel 1.2 mg/ml
Süsteravim Cyclophosphamide 10 mg/ml
glükoos 5% 85
Ühilduv
Süsteravim Paclitaxel 1.2 mg/ml
Süsteravim Cytarabine 50 mg/ml
glükoos 5% 85
Ühilduv
Süsteravim Paclitaxel 1.2 mg/ml
Süsteravim Dacarbazine 4 mg/ml
glükoos 5% 248
Ühilduv
Süsteravim Paclitaxel 1.2 mg/ml
Süsteravim Dexamethasone sodium phosphate 1 mg/ml
glükoos 5% 85
Ühilduv
Süsteravim Paclitaxel 1.2 mg/ml
Süsteravim Diphenhydramine hydrochloride 2 mg/ml
glükoos 5% 85
Ühilduv
Süsteravim Paclitaxel 0,6 mg/ml
Süsteravim Doripenem 5 mg/ml
naatriumkloriid 0.9% 2262
Ühilduv
Süsteravim Paclitaxel 0,6 mg/ml
Süsteravim Doripenem 5 mg/ml
glükoos 5% 2262
Ühilduv
Süsteravim Paclitaxel 0,3 & 1,2 mg/ml
Süsteravim Doxorubicin hydrochloride 0,2 mg/ml
glükoos 5% 1286
Ühilduv
Süsteravim Paclitaxel 1.2 mg/ml
Süsteravim Doxorubicin hydrochloride 2 mg/ml
glükoos 5% 85
Ühilduv
Süsteravim Paclitaxel 0,3 & 1,2 mg/ml
Süsteravim Doxorubicin hydrochloride 0,2 mg/ml
naatriumkloriid 0.9% 1286
Hägususe kaotus Sobimatu
Süsteravim Paclitaxel 0.6 mg/ml
Süsteravim Doxorubicin hydrochloride liposome peg 0.4 mg/ml
glükoos 5% 251
Ühilduv
Süsteravim Paclitaxel
naatriumkloriid 0.9% 1956
Ühilduv
Süsteravim Paclitaxel 1.2 mg/ml
Süsteravim Droperidol 0.4 mg/ml
glükoos 5% 248
Ühilduv
Süsteravim Paclitaxel 1.2 mg/ml
Süsteravim Etoposide 0.4 mg/ml
glükoos 5% 85
Ühilduv
Süsteravim Paclitaxel 1.2 mg/ml
Süsteravim Etoposide phosphate 5 mg/ml
glükoos 5% 1410
Ühilduv
Süsteravim Paclitaxel 1.2 mg/ml
Süsteravim Famotidine 2 mg/ml
glükoos 5% 248
Ühilduv
Süsteravim Paclitaxel 1.2 mg/ml
Süsteravim Floxuridine 3 mg/ml
glükoos 5% 248
Ühilduv
Süsteravim Paclitaxel 0,3 & 1,2 mg/ml
Süsteravim Fluconazole 2 mg/ml
glükoos 5% 151
Ühilduv
Süsteravim Paclitaxel 1.2 mg/ml
Süsteravim Fluconazole 2 mg/ml
glükoos 5% 248
Ühilduv
Süsteravim Paclitaxel 1.2 mg/ml
Süsteravim Fluorouracil 16 mg/ml
glükoos 5% 85
Ühilduv
Süsteravim Paclitaxel 1.2 mg/ml
Süsteravim Furosemide 3 mg/ml
glükoos 5% 248
Ühilduv
Süsteravim Paclitaxel 1.2 mg/ml
Süsteravim Ganciclovir sodium 20 mg/ml
glükoos 5% 248
Ühilduv
Süsteravim Paclitaxel 1.2 mg/ml
Süsteravim Gemcitabine hydrochloride 10 mg/ml
naatriumkloriid 0.9% 1423
Ühilduv
Süsteravim Paclitaxel 1.2 mg/ml
Süsteravim Gentamicin sulfate 5 mg/ml
glükoos 5% 248
Ühilduv
Süsteravim Paclitaxel 1.2 mg/ml
Süsteravim Granisetron hydrochloride 0.05 mg/ml
glükoos 5% 182
Ühilduv
Süsteravim Paclitaxel 0.29 mg/ml
Süsteravim Granisetron hydrochloride 1 mg/ml
naatriumkloriid 0.9% 57
Ühilduv
Süsteravim Paclitaxel 1.2 mg/ml
Süsteravim Haloperidol lactate 0.2 mg/ml
glükoos 5% 85
Ühilduv
Süsteravim Paclitaxel 1.2 mg/ml
Süsteravim Heparin sodium 100 UI/ml
glükoos 5% 248
Ühilduv
Süsteravim Paclitaxel 1.2 mg/ml
Süsteravim Hydrocortisone sodium succinate 1 mg/ml
glükoos 5% 248
Ühilduv
Süsteravim Paclitaxel 1.2 mg/ml
Süsteravim Hydromorphone hydrochloride 0.5 mg/ml
glükoos 5% 248
Hägususe kaotus Sobimatu
Süsteravim Paclitaxel 1.2 mg/ml
Süsteravim Hydroxyzine dihydrochloride 4 mg/ml
glükoos 5% 248
Ühilduv
Süsteravim Paclitaxel 1.2 mg/ml
Süsteravim Ifosfamide 25 mg/ml
glükoos 5% 248
Ühilduv
Süsteravim Paclitaxel 0.6 mg/ml
Süsteravim Lansoprazole 0.55 mg/ml
naatriumkloriid 0.9% 1625
Ühilduv
Süsteravim Paclitaxel 0.6 mg/ml
Süsteravim Linezolid 2 mg/ml
mitte ükski 1925
Ühilduv
Süsteravim Paclitaxel 1.2 mg/ml
Süsteravim Lorazepam 0.1 mg/ml
glükoos 5% 85
Ühilduv
Süsteravim Paclitaxel 1.2 mg/ml
Süsteravim Magnesium sulfate 100 mg/ml
glükoos 5% 248
Ühilduv
Süsteravim Paclitaxel 1.2 mg/ml
Süsteravim Mannitol 150 mg/ml
glükoos 5% 248
Ühilduv
Süsteravim Paclitaxel 1.2 mg/ml
Süsteravim Mesna 10 mg/ml
glükoos 5% 248
Ühilduv
Süsteravim Paclitaxel 1.2 mg/ml
Süsteravim Methotrexate sodium 15 mg/ml
glükoos 5% 85
Hägususe kaotus Sobimatu
Süsteravim Paclitaxel 1.2 mg/ml
Süsteravim Methylprednisolone sodium succinate 5 mg/ml
glükoos 5% 248
Ühilduv
Süsteravim Paclitaxel 1.2 mg/ml
Süsteravim Metoclopramide hydrochloride 5 mg/ml
glükoos 5% 85
Hägususe kaotus Sobimatu
Süsteravim Paclitaxel 1.2 mg/ml
Süsteravim Mitoxantrone dihydrochloride 0.5 mg/ml
glükoos 5% 248
Ühilduv
Süsteravim Paclitaxel 1.2 mg/ml
Süsteravim Morphine sulfate 1 mg/ml
glükoos 5% 248
Ühilduv
Süsteravim Paclitaxel 1.2 mg/ml
Süsteravim Nalbuphine hydrochloride 10 mg/ml
glükoos 5% 248
Ühilduv
Süsteravim Paclitaxel 0.3 & 1.2 mg/ml
Süsteravim Ondansetron hydrochloride 0.03 & 0.3 mg/ml
glükoos 5% 47
Ühilduv
Süsteravim Paclitaxel 1.2 mg/ml
Süsteravim Ondansetron hydrochloride 0.5 mg/ml
glükoos 5% 248
Ühilduv
Süsteravim Paclitaxel 0,6 mg/ml
Süsteravim Oxaliplatin 0,5 mg/ml
glükoos 5% 1662
Ühilduv
Süsteravim Paclitaxel 1,2 mg/ml
Süsteravim Palonosetron hydrochloride 50 µg/ml
glükoos 5% 1940
Ühilduv
Süsteravim Paclitaxel 0.6 mg/ml
Süsteravim Pemetrexed disodium 20 mg/ml
naatriumkloriid 0.9% 1953
Ühilduv
Süsteravim Paclitaxel 1.2 mg/ml
Süsteravim Pentostatin 0.4 mg/ml
glükoos 5% 248
Ühilduv
Süsteravim Paclitaxel 1.2 mg/ml
Süsteravim Pethidine hydrochloride 4 mg/ml
glükoos 5% 248
Ühilduv
Süsteravim Paclitaxel 1.2 mg/ml
Süsteravim Potassium chloride 100 mEq/l
glükoos 5% 248
Ühilduv
Süsteravim Paclitaxel 1.2 mg/ml
Süsteravim Prochlorperazine edysilate 0.5 mg/ml
glükoos 5% 85
Ühilduv
Süsteravim Paclitaxel 1.2 mg/ml
Süsteravim Propofol 10 mg/ml
mitte ükski 300
Ühilduv
Süsteravim Paclitaxel 0.3 & 1.2 mg/ml
Süsteravim Ranitidine hydrochloride 0.5 & 2 mg/ml
glükoos 5% 47
Ühilduv
Süsteravim Paclitaxel 1.2 mg/ml
Süsteravim Ranitidine hydrochloride 2 mg/ml
glükoos 5% 85
Ühilduv
Süsteravim Paclitaxel 1.2 mg/ml
Süsteravim Sodium bicarbonate 84 mg/ml
glükoos 5% 248
Ühilduv
Süsteravim Paclitaxel 0.6 mg/ml
Süsteravim Thiotepa 1 mg/ml
glükoos 5% 249
Ühilduv
Süsteravim Paclitaxel 0.54 mg/ml
Süsteravim Topotecan 0.056 mg/ml
naatriumkloriid 0.9% 1026
Ühilduv
Süsteravim Paclitaxel 0.54 mg/ml
Süsteravim Topotecan 0.056 mg/ml
glükoos 5% 1026
Ühilduv
Süsteravim Paclitaxel 1.2 mg/ml
Süsteravim Vancomycin hydrochloride 10 mg/ml
glükoos 5% 85
Ühilduv
Süsteravim Paclitaxel 1.2 mg/ml
Süsteravim Vinblastine sulfate 0.12 mg/ml
glükoos 5% 248
Ühilduv
Süsteravim Paclitaxel 1.2 mg/ml
Süsteravim Vincristine sulfate 0.05 mg/ml
glükoos 5% 248
Ühilduv
Süsteravim Paclitaxel 1.2 mg/ml
Süsteravim Zidovudine 4 mg/ml
glükoos 5% 248

  Mentions Légales