Zadnji put ažurirano :
27/04/2026
lijek protiv karcinoma   Paclitaxel  
injekcija
Stabilizacija rješenja Stabilnost mješavine Stabilizacijski faktor Kompatibilnosti način davanja lijeka Bibliografija pdf
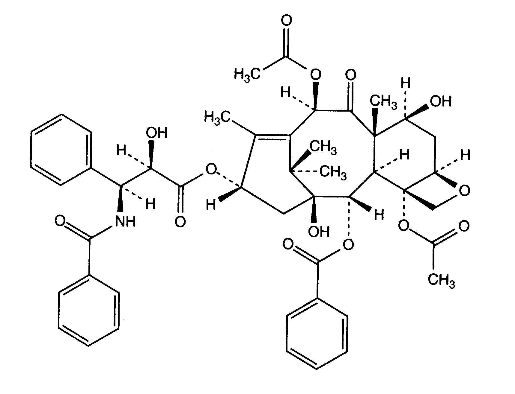
   Kemijska struktura  

Nekomercijalni   Nekomercijalni     

Zaštićeni nazivi su indikativni i sastav ekscipijensa može biti različit ovisno o državi i laboratorijima

Aclipak Malezija
Acoexcel Meksiko
Acupaxil Maroko
Anzatax Egipat, Iran, Malezija, Maroko, novi Zeland, Peru, Saudijska Arabija, Tunis, Turska, Ujedinjeni Arapski Emirati
Aritaxel Njemačka
Cantaxel Indija
Clitaxel Argentina, Venecuela
Dalys Argentina
Ebetaxel Austrija, Iran, Maroko, Saudijska Arabija, Tunis, Turska
Genexol Indija, Egipat, Iran
Onxol S A D
Paclinova Argentina
Paclitaxin Brazil, Luksemburg, Malezija, Slovenija
Parexel Brazil, Ekvador, Kolumbija, Venecuela
Paxene Danska, Grčka, Irska, Nizozemska, Poljska, Španjolska
Poltaxel Poljska
Ribotax Njemačka
Taxol Austrija, Brazil, Danska, Egipat, Grčka, Iran, Italija, Japan, Kolumbija, Malezija, Maroko, Nizozemska, novi Zeland, Peru, Poljska, Portugal, Slovenija, Švedska, Švicarska, Turska, Ujedinjeni Arapski Emirati, Venecuela
Taxomedac Njemačka
Vitax Brazil, Peru, Turska
Kompatibilnosti   injekcija   Kompatibilnosti : Paclitaxel              
Ovdje su prikazane kompatibilnosti ili nekompatibilnosti s tipom nekompatibilnosti (taloženje, promjena boje, modifikacija emulzije itd.) u ovom slučaju. Kompatibilnosti prikazane ovdje najčešće su fizikalne dok se kemijska stabilnost molekule rijetko procjenjuje. Procjena ovih mikstura je proučavana kako bi se razmotrila mogućnost primjene lijeka putem Y-mjesta. Ovi se podaci ne smiju koristiti za pripremu mikstura unaprijed u vrećicama ili štrcaljkama. Ova vrsta informacije se može pronaći u odjeljku « stabilnost u miksturama ».
molekula sredstvo za rastapanje Bibliografija
Kompatibilan
injekcija Paclitaxel 1.2 mg/ml
injekcija Aciclovir sodium 7 mg/ml
glukoza 5% 248
Kompatibilan
injekcija Paclitaxel 1.2 mg/ml
injekcija Amikacin sulfate 5 mg/ml
glukoza 5% 248
Kompatibilan
injekcija Paclitaxel 1.2 mg/ml
injekcija Aminophylline 2.5 mg/ml
glukoza 5% 248
Neposredna zamućenost inkompatibilan
injekcija Paclitaxel 1.2 mg/ml
injekcija Amphotericin B 0.6 mg/ml
glukoza 5% 248
Gubitak zamućenosti inkompatibilan
injekcija Paclitaxel 0.6 mg/ml
injekcija Amphotericin B cholesteryl sulfate complex 0.83 mg/ml
glukoza 5% 921
Kompatibilan
injekcija Paclitaxel 1.2 mg/ml
injekcija Ampicillin sodium - sulbactam sodium 20/10 mg/ml
glukoza 5% 248
Kompatibilan
injekcija Paclitaxel 0.6 mg/ml
injekcija Anidulafungin 0.5 mg/ml
glukoza 5% 1982
Kompatibilan
injekcija Paclitaxel 1.2 mg/ml
injekcija Bleomycin sulfate 1 mg/ml
glukoza 5% 248
Kompatibilan
injekcija Paclitaxel 1.2 mg/ml
injekcija Butorphanol tartrate 0.04 mg/ml
glukoza 5% 248
Kompatibilan
injekcija Paclitaxel 1.2 mg/ml
injekcija Calcium chloride 20 mg/ml
glukoza 5% 248
Kompatibilan
injekcija Paclitaxel 1.2 mg/ml
injekcija Carboplatin 5 mg/ml
glukoza 5% 85
Kompatibilan
injekcija Paclitaxel 0,3 & 1,2 mg/ml
injekcija Carboplatin 2 mg/ml
natrijumkorid 0,9% 872
Kompatibilan
injekcija Paclitaxel 0,3 & 1,2 mg/ml
injekcija Carboplatin 2 mg/ml
glukoza 5% 872
Kompatibilan
injekcija Paclitaxel 1.2 mg/ml
injekcija Ceforanide 20 mg/ml
glukoza 5% 248
Kompatibilan
injekcija Paclitaxel 1.2 mg/ml
injekcija Ceftazidime 40 mg/ml
glukoza 5% 248
Kompatibilan
injekcija Paclitaxel 1.2 mg/ml
injekcija Ceftriaxone disodium 20 mg/ml
glukoza 5% 248
Gubitak zamućenosti inkompatibilan
injekcija Paclitaxel 1.2 mg/ml
injekcija Chlorpromazine hydrochloride 2 mg/ml
glukoza 5% 248
Kompatibilan
injekcija Paclitaxel
glukoza 5% 1956
Kompatibilan
injekcija Paclitaxel 0,3 & 1,2 mg/ml
injekcija Cisplatin 0,2 mg/ml
natrijumkorid 0,9% 872
Kompatibilan
injekcija Paclitaxel 1.2 mg/ml
Parenteralna prehrana (lipidima) 1415
Kompatibilan
injekcija Paclitaxel 1.2 mg/ml
Parenteralna prehrana (bezlipidna) 301
Kompatibilan
injekcija Paclitaxel 1.2 mg/ml
injekcija Cimetidine hydrochloride 12 mg/ml
glukoza 5% 85
Kompatibilan
injekcija Paclitaxel 1.2 mg/ml
injekcija Cisplatin 1 mg/ml
glukoza 5% 85
Kemijska nestabilnost inkompatibilan
injekcija Paclitaxel
injekcija Cisplatin
3578
Kompatibilan
injekcija Paclitaxel 0.6 mg/ml
injekcija Cladribine 0.5 mg/ml
NaCL 0,9% + bakteriostatična 1496
Kompatibilan
injekcija Paclitaxel 0.6 mg/ml
injekcija Cladribine 0.015 mg/ml
natrijumkorid 0,9% 1496
Kompatibilan
injekcija Paclitaxel 1.2 mg/ml
injekcija Cyclophosphamide 10 mg/ml
glukoza 5% 85
Kompatibilan
injekcija Paclitaxel 1.2 mg/ml
injekcija Cytarabine 50 mg/ml
glukoza 5% 85
Kompatibilan
injekcija Paclitaxel 1.2 mg/ml
injekcija Dacarbazine 4 mg/ml
glukoza 5% 248
Kompatibilan
injekcija Paclitaxel 1.2 mg/ml
injekcija Dexamethasone sodium phosphate 1 mg/ml
glukoza 5% 85
Kompatibilan
injekcija Paclitaxel 1.2 mg/ml
injekcija Diphenhydramine hydrochloride 2 mg/ml
glukoza 5% 85
Kompatibilan
injekcija Paclitaxel 0,6 mg/ml
injekcija Doripenem 5 mg/ml
natrijumkorid 0,9% 2262
Kompatibilan
injekcija Paclitaxel 0,6 mg/ml
injekcija Doripenem 5 mg/ml
glukoza 5% 2262
Kompatibilan
injekcija Paclitaxel 0,3 & 1,2 mg/ml
injekcija Doxorubicin hydrochloride 0,2 mg/ml
glukoza 5% 1286
Kompatibilan
injekcija Paclitaxel 1.2 mg/ml
injekcija Doxorubicin hydrochloride 2 mg/ml
glukoza 5% 85
Kompatibilan
injekcija Paclitaxel 0,3 & 1,2 mg/ml
injekcija Doxorubicin hydrochloride 0,2 mg/ml
natrijumkorid 0,9% 1286
Gubitak zamućenosti inkompatibilan
injekcija Paclitaxel 0.6 mg/ml
injekcija Doxorubicin hydrochloride liposome peg 0.4 mg/ml
glukoza 5% 251
Kompatibilan
injekcija Paclitaxel
natrijumkorid 0,9% 1956
Kompatibilan
injekcija Paclitaxel 1.2 mg/ml
injekcija Droperidol 0.4 mg/ml
glukoza 5% 248
Kompatibilan
injekcija Paclitaxel 1.2 mg/ml
injekcija Etoposide 0.4 mg/ml
glukoza 5% 85
Kompatibilan
injekcija Paclitaxel 1.2 mg/ml
injekcija Etoposide phosphate 5 mg/ml
glukoza 5% 1410
Kompatibilan
injekcija Paclitaxel 1.2 mg/ml
injekcija Famotidine 2 mg/ml
glukoza 5% 248
Kompatibilan
injekcija Paclitaxel 1.2 mg/ml
injekcija Floxuridine 3 mg/ml
glukoza 5% 248
Kompatibilan
injekcija Paclitaxel 0,3 & 1,2 mg/ml
injekcija Fluconazole 2 mg/ml
glukoza 5% 151
Kompatibilan
injekcija Paclitaxel 1.2 mg/ml
injekcija Fluconazole 2 mg/ml
glukoza 5% 248
Kompatibilan
injekcija Paclitaxel 1.2 mg/ml
injekcija Fluorouracil 16 mg/ml
glukoza 5% 85
Kompatibilan
injekcija Paclitaxel 1.2 mg/ml
injekcija Furosemide 3 mg/ml
glukoza 5% 248
Kompatibilan
injekcija Paclitaxel 1.2 mg/ml
injekcija Ganciclovir sodium 20 mg/ml
glukoza 5% 248
Kompatibilan
injekcija Paclitaxel 1.2 mg/ml
injekcija Gemcitabine hydrochloride 10 mg/ml
natrijumkorid 0,9% 1423
Kompatibilan
injekcija Paclitaxel 1.2 mg/ml
injekcija Gentamicin sulfate 5 mg/ml
glukoza 5% 248
Kompatibilan
injekcija Paclitaxel 1.2 mg/ml
injekcija Granisetron hydrochloride 0.05 mg/ml
glukoza 5% 182
Kompatibilan
injekcija Paclitaxel 0.29 mg/ml
injekcija Granisetron hydrochloride 1 mg/ml
natrijumkorid 0,9% 57
Kompatibilan
injekcija Paclitaxel 1.2 mg/ml
injekcija Haloperidol lactate 0.2 mg/ml
glukoza 5% 85
Kompatibilan
injekcija Paclitaxel 1.2 mg/ml
injekcija Heparin sodium 100 UI/ml
glukoza 5% 248
Kompatibilan
injekcija Paclitaxel 1.2 mg/ml
injekcija Hydrocortisone sodium succinate 1 mg/ml
glukoza 5% 248
Kompatibilan
injekcija Paclitaxel 1.2 mg/ml
injekcija Hydromorphone hydrochloride 0.5 mg/ml
glukoza 5% 248
Gubitak zamućenosti inkompatibilan
injekcija Paclitaxel 1.2 mg/ml
injekcija Hydroxyzine dihydrochloride 4 mg/ml
glukoza 5% 248
Kompatibilan
injekcija Paclitaxel 1.2 mg/ml
injekcija Ifosfamide 25 mg/ml
glukoza 5% 248
Kompatibilan
injekcija Paclitaxel 0.6 mg/ml
injekcija Lansoprazole 0.55 mg/ml
natrijumkorid 0,9% 1625
Kompatibilan
injekcija Paclitaxel 0.6 mg/ml
injekcija Linezolid 2 mg/ml
nijedan 1925
Kompatibilan
injekcija Paclitaxel 1.2 mg/ml
injekcija Lorazepam 0.1 mg/ml
glukoza 5% 85
Kompatibilan
injekcija Paclitaxel 1.2 mg/ml
injekcija Magnesium sulfate 100 mg/ml
glukoza 5% 248
Kompatibilan
injekcija Paclitaxel 1.2 mg/ml
injekcija Mannitol 150 mg/ml
glukoza 5% 248
Kompatibilan
injekcija Paclitaxel 1.2 mg/ml
injekcija Mesna 10 mg/ml
glukoza 5% 248
Kompatibilan
injekcija Paclitaxel 1.2 mg/ml
injekcija Methotrexate sodium 15 mg/ml
glukoza 5% 85
Gubitak zamućenosti inkompatibilan
injekcija Paclitaxel 1.2 mg/ml
injekcija Methylprednisolone sodium succinate 5 mg/ml
glukoza 5% 248
Kompatibilan
injekcija Paclitaxel 1.2 mg/ml
injekcija Metoclopramide hydrochloride 5 mg/ml
glukoza 5% 85
Gubitak zamućenosti inkompatibilan
injekcija Paclitaxel 1.2 mg/ml
injekcija Mitoxantrone dihydrochloride 0.5 mg/ml
glukoza 5% 248
Kompatibilan
injekcija Paclitaxel 1.2 mg/ml
injekcija Morphine sulfate 1 mg/ml
glukoza 5% 248
Kompatibilan
injekcija Paclitaxel 1.2 mg/ml
injekcija Nalbuphine hydrochloride 10 mg/ml
glukoza 5% 248
Kompatibilan
injekcija Paclitaxel 0.3 & 1.2 mg/ml
injekcija Ondansetron hydrochloride 0.03 & 0.3 mg/ml
glukoza 5% 47
Kompatibilan
injekcija Paclitaxel 1.2 mg/ml
injekcija Ondansetron hydrochloride 0.5 mg/ml
glukoza 5% 248
Kompatibilan
injekcija Paclitaxel 0,6 mg/ml
injekcija Oxaliplatin 0,5 mg/ml
glukoza 5% 1662
Kompatibilan
injekcija Paclitaxel 1,2 mg/ml
injekcija Palonosetron hydrochloride 50 µg/ml
glukoza 5% 1940
Kompatibilan
injekcija Paclitaxel 0.6 mg/ml
injekcija Pemetrexed disodium 20 mg/ml
natrijumkorid 0,9% 1953
Kompatibilan
injekcija Paclitaxel 1.2 mg/ml
injekcija Pentostatin 0.4 mg/ml
glukoza 5% 248
Kompatibilan
injekcija Paclitaxel 1.2 mg/ml
injekcija Pethidine hydrochloride 4 mg/ml
glukoza 5% 248
Kompatibilan
injekcija Paclitaxel 1.2 mg/ml
injekcija Potassium chloride 100 mEq/l
glukoza 5% 248
Kompatibilan
injekcija Paclitaxel 1.2 mg/ml
injekcija Prochlorperazine edysilate 0.5 mg/ml
glukoza 5% 85
Kompatibilan
injekcija Paclitaxel 1.2 mg/ml
injekcija Propofol 10 mg/ml
nijedan 300
Kompatibilan
injekcija Paclitaxel 0.3 & 1.2 mg/ml
injekcija Ranitidine hydrochloride 0.5 & 2 mg/ml
glukoza 5% 47
Kompatibilan
injekcija Paclitaxel 1.2 mg/ml
injekcija Ranitidine hydrochloride 2 mg/ml
glukoza 5% 85
Kompatibilan
injekcija Paclitaxel 1.2 mg/ml
injekcija Sodium bicarbonate 84 mg/ml
glukoza 5% 248
Kompatibilan
injekcija Paclitaxel 0.6 mg/ml
injekcija Thiotepa 1 mg/ml
glukoza 5% 249
Kompatibilan
injekcija Paclitaxel 0.54 mg/ml
injekcija Topotecan 0.056 mg/ml
natrijumkorid 0,9% 1026
Kompatibilan
injekcija Paclitaxel 0.54 mg/ml
injekcija Topotecan 0.056 mg/ml
glukoza 5% 1026
Kompatibilan
injekcija Paclitaxel 1.2 mg/ml
injekcija Vancomycin hydrochloride 10 mg/ml
glukoza 5% 85
Kompatibilan
injekcija Paclitaxel 1.2 mg/ml
injekcija Vinblastine sulfate 0.12 mg/ml
glukoza 5% 248
Kompatibilan
injekcija Paclitaxel 1.2 mg/ml
injekcija Vincristine sulfate 0.05 mg/ml
glukoza 5% 248
Kompatibilan
injekcija Paclitaxel 1.2 mg/ml
injekcija Zidovudine 4 mg/ml
glukoza 5% 248

  Mentions Légales