Son güncelleme :
27/04/2026
kanser ilaç   Paclitaxel  
Enjeksiyon
Çözeltilerin stabilitesi Karışımlardaki stabilitesi Stabiliteyi etkileyen faktörler Uyumluluk Uygulama yöntemi Kaynaklar pdf
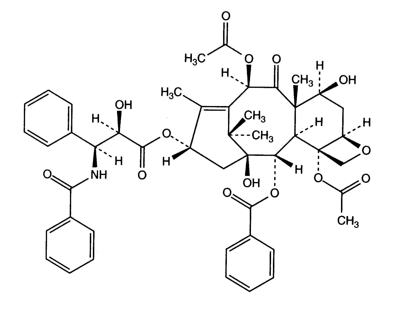
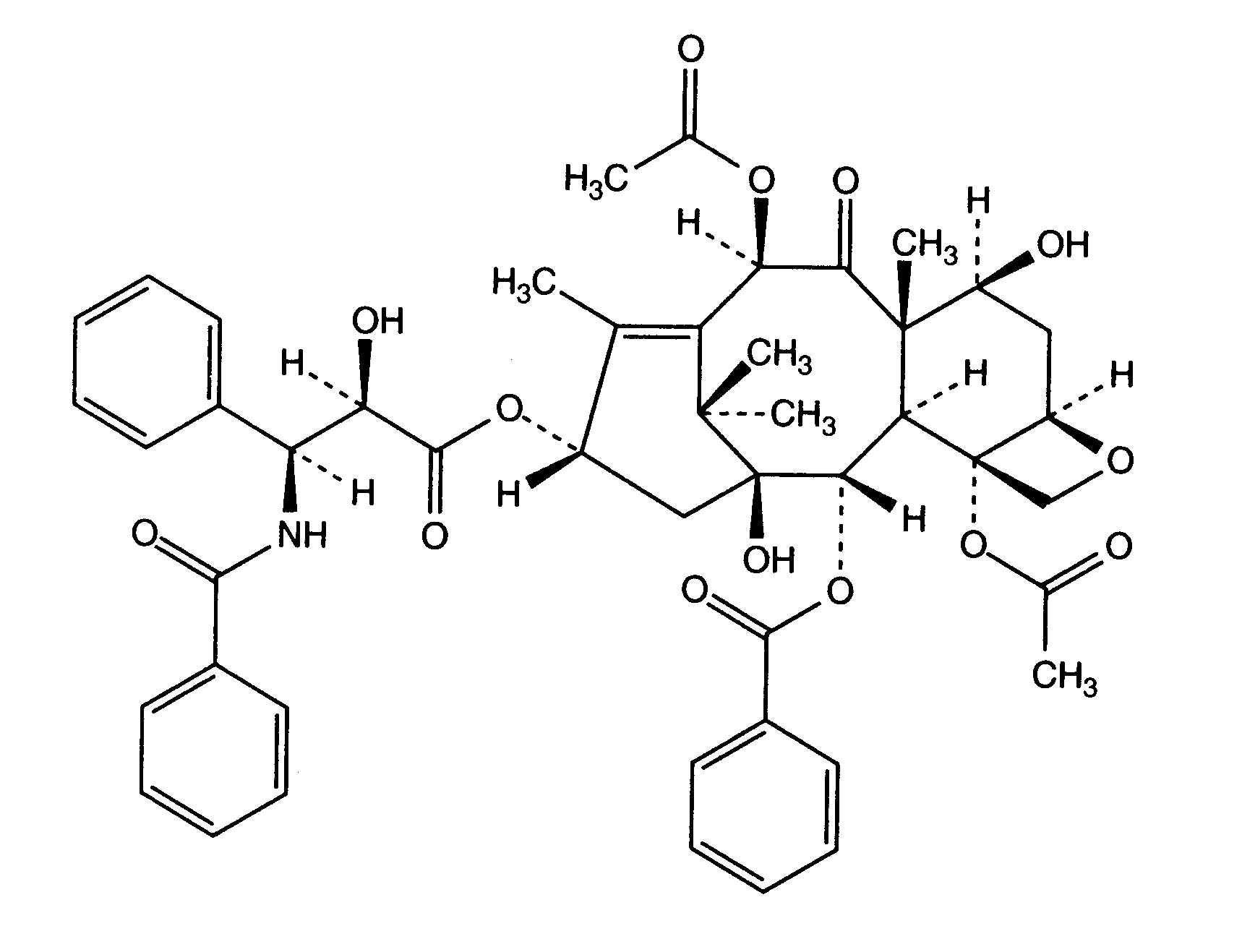
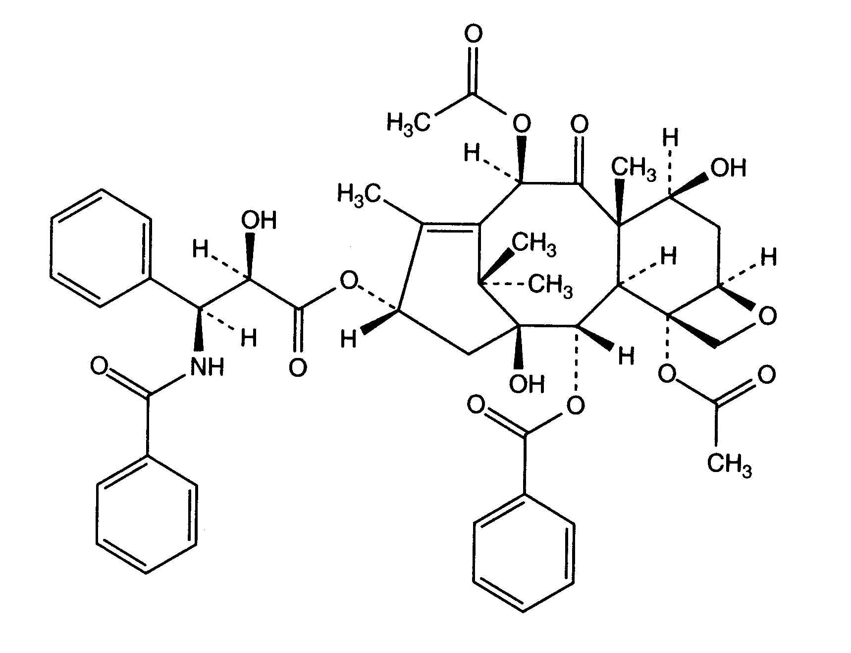
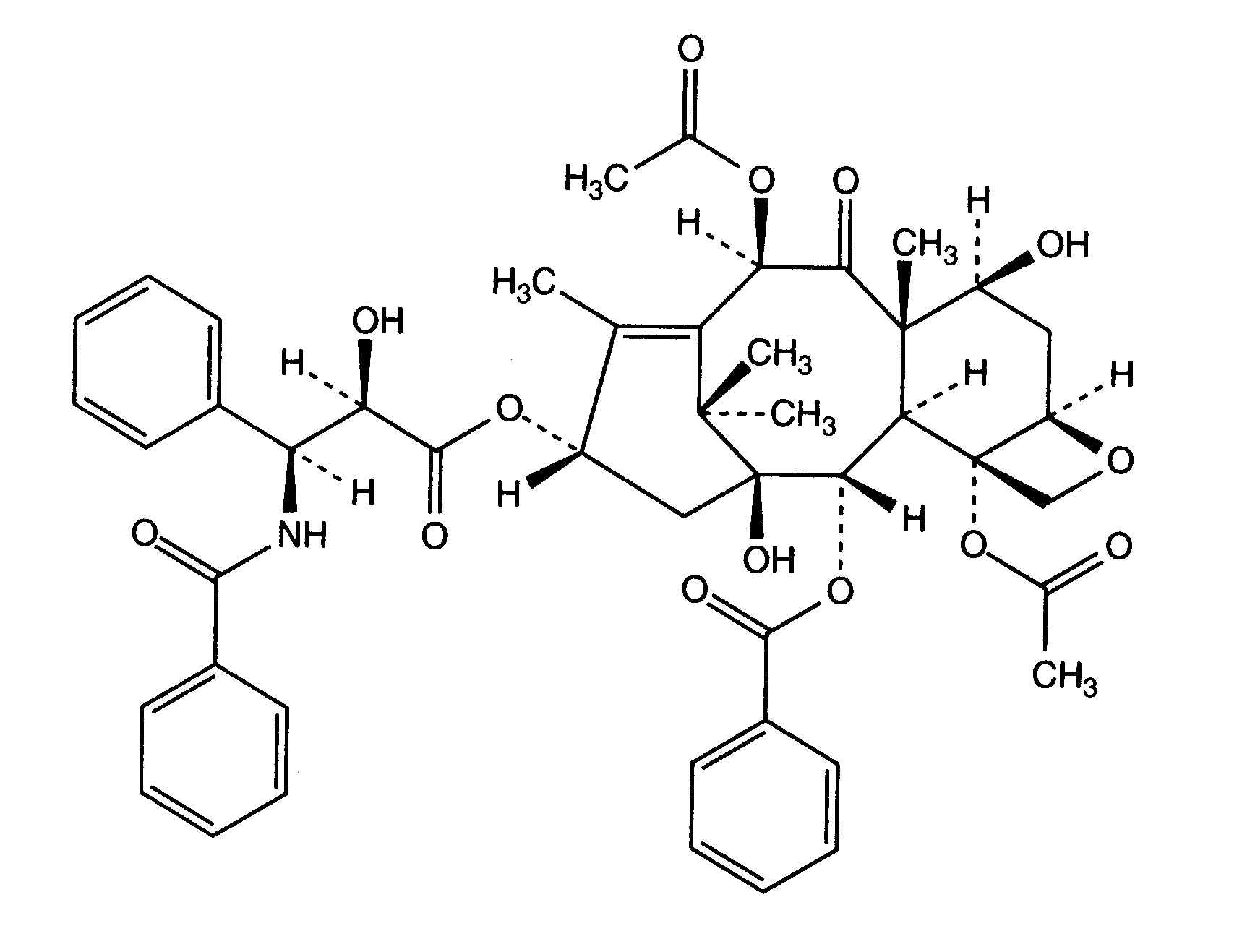
   Kimyasal yapı   

Ticari isim   Ticari isim     

Trade names are indicative and excipients composition can be different depending on the country and manufacturers

Aclipak Malezya
Acoexcel Meksika
Acupaxil Fas
Anzatax Birleşik Arap Emirlikleri, Fas, İran, Malezya, Mısır, Peru, Suudi Arabistan, Tunus, Türkiye, yeni Zelanda
Aritaxel Almanya
Cantaxel Hindistan
Clitaxel Arjantin, Venezuela
Dalys Arjantin
Ebetaxel Avusturya, Fas, İran, Suudi Arabistan, Tunus, Türkiye
Genexol Hindistan, İran, Mısır
Onxol Amerika Birleşik Devletleri
Paclinova Arjantin
Paclitaxin Brezilya, Lüksemburg, Malezya, Slovenya
Parexel Brezilya, Ekvador, Kolombiya, Venezuela
Paxene Danimarka, Hollanda, İrlanda, İspanya, Polonya, Yunanistan
Poltaxel Polonya
Ribotax Almanya
Taxol Avusturya, Birleşik Arap Emirlikleri, Brezilya, Danimarka, Fas, Hollanda, İran, İsveç, İsviçre, İtalya, Japonya, Kolombiya, Malezya, Mısır, Peru, Polonya, Portekiz, Slovenya, Türkiye, Venezuela, yeni Zelanda, Yunanistan
Taxomedac Almanya
Vitax Brezilya, Peru, Türkiye
Uyumluluk   Enjeksiyon    Uyumluluk : Paclitaxel              
Bu ekran, bu durumda uyumsuzluk tipiyle (çökelme, renk değişimi, bir emülsiyonun modifikasyonu, vb.) Uyumlulukları veya uyumsuzlukları gösterir. Burada gösterilen uyumluluklar çoğunlukla yalnızca fizikseldir ve her molekülün kimyasal stabilitesi nadiren değerlendirilir. Bu karışımların değerlendirilmesi, hastaya Y bölgesi uygulama olasılığını göz önünde bulundurmak için çalışıldı. Bu veriler önceden torba veya şırıngalarda karışım yapmak için kullanılamaz. Bu tür bilgiler "Karışımda stabilite" ekranında mevcuttur.
Bileşik Çözücü Kaynaklar
Uyumlu
Enjeksiyon Paclitaxel 1.2 mg/ml
Enjeksiyon Aciclovir sodium 7 mg/ml
Glukoz %5 248
Uyumlu
Enjeksiyon Paclitaxel 1.2 mg/ml
Enjeksiyon Amikacin sulfate 5 mg/ml
Glukoz %5 248
Uyumlu
Enjeksiyon Paclitaxel 1.2 mg/ml
Enjeksiyon Aminophylline 2.5 mg/ml
Glukoz %5 248
Anında bulanıklık uyumsuz
Enjeksiyon Paclitaxel 1.2 mg/ml
Enjeksiyon Amphotericin B 0.6 mg/ml
Glukoz %5 248
Bulanıklık kaybı uyumsuz
Enjeksiyon Paclitaxel 0.6 mg/ml
Enjeksiyon Amphotericin B cholesteryl sulfate complex 0.83 mg/ml
Glukoz %5 921
Uyumlu
Enjeksiyon Paclitaxel 1.2 mg/ml
Enjeksiyon Ampicillin sodium - sulbactam sodium 20/10 mg/ml
Glukoz %5 248
Uyumlu
Enjeksiyon Paclitaxel 0.6 mg/ml
Enjeksiyon Anidulafungin 0.5 mg/ml
Glukoz %5 1982
Uyumlu
Enjeksiyon Paclitaxel 1.2 mg/ml
Enjeksiyon Bleomycin sulfate 1 mg/ml
Glukoz %5 248
Uyumlu
Enjeksiyon Paclitaxel 1.2 mg/ml
Enjeksiyon Butorphanol tartrate 0.04 mg/ml
Glukoz %5 248
Uyumlu
Enjeksiyon Paclitaxel 1.2 mg/ml
Enjeksiyon Calcium chloride 20 mg/ml
Glukoz %5 248
Uyumlu
Enjeksiyon Paclitaxel 1.2 mg/ml
Enjeksiyon Carboplatin 5 mg/ml
Glukoz %5 85
Uyumlu
Enjeksiyon Paclitaxel 0,3 & 1,2 mg/ml
Enjeksiyon Carboplatin 2 mg/ml
Sodyum klorür % 0,9 872
Uyumlu
Enjeksiyon Paclitaxel 0,3 & 1,2 mg/ml
Enjeksiyon Carboplatin 2 mg/ml
Glukoz %5 872
Uyumlu
Enjeksiyon Paclitaxel 1.2 mg/ml
Enjeksiyon Ceforanide 20 mg/ml
Glukoz %5 248
Uyumlu
Enjeksiyon Paclitaxel 1.2 mg/ml
Enjeksiyon Ceftazidime 40 mg/ml
Glukoz %5 248
Uyumlu
Enjeksiyon Paclitaxel 1.2 mg/ml
Enjeksiyon Ceftriaxone disodium 20 mg/ml
Glukoz %5 248
Bulanıklık kaybı uyumsuz
Enjeksiyon Paclitaxel 1.2 mg/ml
Enjeksiyon Chlorpromazine hydrochloride 2 mg/ml
Glukoz %5 248
Uyumlu
Enjeksiyon Paclitaxel
Glukoz %5 1956
Uyumlu
Enjeksiyon Paclitaxel 0,3 & 1,2 mg/ml
Enjeksiyon Cisplatin 0,2 mg/ml
Sodyum klorür % 0,9 872
Uyumlu
Enjeksiyon Paclitaxel 1.2 mg/ml
Parenteral beslenme (Lipidler) 1415
Uyumlu
Enjeksiyon Paclitaxel 1.2 mg/ml
Parenteral beslenme (ikili karışım) 301
Uyumlu
Enjeksiyon Paclitaxel 1.2 mg/ml
Enjeksiyon Cimetidine hydrochloride 12 mg/ml
Glukoz %5 85
Uyumlu
Enjeksiyon Paclitaxel 1.2 mg/ml
Enjeksiyon Cisplatin 1 mg/ml
Glukoz %5 85
Kimyasal kararsızlık uyumsuz
Enjeksiyon Paclitaxel
Enjeksiyon Cisplatin
3578
Uyumlu
Enjeksiyon Paclitaxel 0.6 mg/ml
Enjeksiyon Cladribine 0.5 mg/ml
NaCl %0,9 + antibakteriyel 1496
Uyumlu
Enjeksiyon Paclitaxel 0.6 mg/ml
Enjeksiyon Cladribine 0.015 mg/ml
Sodyum klorür % 0,9 1496
Uyumlu
Enjeksiyon Paclitaxel 1.2 mg/ml
Enjeksiyon Cyclophosphamide 10 mg/ml
Glukoz %5 85
Uyumlu
Enjeksiyon Paclitaxel 1.2 mg/ml
Enjeksiyon Cytarabine 50 mg/ml
Glukoz %5 85
Uyumlu
Enjeksiyon Paclitaxel 1.2 mg/ml
Enjeksiyon Dacarbazine 4 mg/ml
Glukoz %5 248
Uyumlu
Enjeksiyon Paclitaxel 1.2 mg/ml
Enjeksiyon Dexamethasone sodium phosphate 1 mg/ml
Glukoz %5 85
Uyumlu
Enjeksiyon Paclitaxel 1.2 mg/ml
Enjeksiyon Diphenhydramine hydrochloride 2 mg/ml
Glukoz %5 85
Uyumlu
Enjeksiyon Paclitaxel 0,6 mg/ml
Enjeksiyon Doripenem 5 mg/ml
Sodyum klorür % 0,9 2262
Uyumlu
Enjeksiyon Paclitaxel 0,6 mg/ml
Enjeksiyon Doripenem 5 mg/ml
Glukoz %5 2262
Uyumlu
Enjeksiyon Paclitaxel 0,3 & 1,2 mg/ml
Enjeksiyon Doxorubicin hydrochloride 0,2 mg/ml
Glukoz %5 1286
Uyumlu
Enjeksiyon Paclitaxel 1.2 mg/ml
Enjeksiyon Doxorubicin hydrochloride 2 mg/ml
Glukoz %5 85
Uyumlu
Enjeksiyon Paclitaxel 0,3 & 1,2 mg/ml
Enjeksiyon Doxorubicin hydrochloride 0,2 mg/ml
Sodyum klorür % 0,9 1286
Bulanıklık kaybı uyumsuz
Enjeksiyon Paclitaxel 0.6 mg/ml
Enjeksiyon Doxorubicin hydrochloride liposome peg 0.4 mg/ml
Glukoz %5 251
Uyumlu
Enjeksiyon Paclitaxel
Sodyum klorür % 0,9 1956
Uyumlu
Enjeksiyon Paclitaxel 1.2 mg/ml
Enjeksiyon Droperidol 0.4 mg/ml
Glukoz %5 248
Uyumlu
Enjeksiyon Paclitaxel 1.2 mg/ml
Enjeksiyon Etoposide 0.4 mg/ml
Glukoz %5 85
Uyumlu
Enjeksiyon Paclitaxel 1.2 mg/ml
Enjeksiyon Etoposide phosphate 5 mg/ml
Glukoz %5 1410
Uyumlu
Enjeksiyon Paclitaxel 1.2 mg/ml
Enjeksiyon Famotidine 2 mg/ml
Glukoz %5 248
Uyumlu
Enjeksiyon Paclitaxel 1.2 mg/ml
Enjeksiyon Floxuridine 3 mg/ml
Glukoz %5 248
Uyumlu
Enjeksiyon Paclitaxel 0,3 & 1,2 mg/ml
Enjeksiyon Fluconazole 2 mg/ml
Glukoz %5 151
Uyumlu
Enjeksiyon Paclitaxel 1.2 mg/ml
Enjeksiyon Fluconazole 2 mg/ml
Glukoz %5 248
Uyumlu
Enjeksiyon Paclitaxel 1.2 mg/ml
Enjeksiyon Fluorouracil 16 mg/ml
Glukoz %5 85
Uyumlu
Enjeksiyon Paclitaxel 1.2 mg/ml
Enjeksiyon Furosemide 3 mg/ml
Glukoz %5 248
Uyumlu
Enjeksiyon Paclitaxel 1.2 mg/ml
Enjeksiyon Ganciclovir sodium 20 mg/ml
Glukoz %5 248
Uyumlu
Enjeksiyon Paclitaxel 1.2 mg/ml
Enjeksiyon Gemcitabine hydrochloride 10 mg/ml
Sodyum klorür % 0,9 1423
Uyumlu
Enjeksiyon Paclitaxel 1.2 mg/ml
Enjeksiyon Gentamicin sulfate 5 mg/ml
Glukoz %5 248
Uyumlu
Enjeksiyon Paclitaxel 1.2 mg/ml
Enjeksiyon Granisetron hydrochloride 0.05 mg/ml
Glukoz %5 182
Uyumlu
Enjeksiyon Paclitaxel 0.29 mg/ml
Enjeksiyon Granisetron hydrochloride 1 mg/ml
Sodyum klorür % 0,9 57
Uyumlu
Enjeksiyon Paclitaxel 1.2 mg/ml
Enjeksiyon Haloperidol lactate 0.2 mg/ml
Glukoz %5 85
Uyumlu
Enjeksiyon Paclitaxel 1.2 mg/ml
Enjeksiyon Heparin sodium 100 UI/ml
Glukoz %5 248
Uyumlu
Enjeksiyon Paclitaxel 1.2 mg/ml
Enjeksiyon Hydrocortisone sodium succinate 1 mg/ml
Glukoz %5 248
Uyumlu
Enjeksiyon Paclitaxel 1.2 mg/ml
Enjeksiyon Hydromorphone hydrochloride 0.5 mg/ml
Glukoz %5 248
Bulanıklık kaybı uyumsuz
Enjeksiyon Paclitaxel 1.2 mg/ml
Enjeksiyon Hydroxyzine dihydrochloride 4 mg/ml
Glukoz %5 248
Uyumlu
Enjeksiyon Paclitaxel 1.2 mg/ml
Enjeksiyon Ifosfamide 25 mg/ml
Glukoz %5 248
Uyumlu
Enjeksiyon Paclitaxel 0.6 mg/ml
Enjeksiyon Lansoprazole 0.55 mg/ml
Sodyum klorür % 0,9 1625
Uyumlu
Enjeksiyon Paclitaxel 0.6 mg/ml
Enjeksiyon Linezolid 2 mg/ml
Yok 1925
Uyumlu
Enjeksiyon Paclitaxel 1.2 mg/ml
Enjeksiyon Lorazepam 0.1 mg/ml
Glukoz %5 85
Uyumlu
Enjeksiyon Paclitaxel 1.2 mg/ml
Enjeksiyon Magnesium sulfate 100 mg/ml
Glukoz %5 248
Uyumlu
Enjeksiyon Paclitaxel 1.2 mg/ml
Enjeksiyon Mannitol 150 mg/ml
Glukoz %5 248
Uyumlu
Enjeksiyon Paclitaxel 1.2 mg/ml
Enjeksiyon Mesna 10 mg/ml
Glukoz %5 248
Uyumlu
Enjeksiyon Paclitaxel 1.2 mg/ml
Enjeksiyon Methotrexate sodium 15 mg/ml
Glukoz %5 85
Bulanıklık kaybı uyumsuz
Enjeksiyon Paclitaxel 1.2 mg/ml
Enjeksiyon Methylprednisolone sodium succinate 5 mg/ml
Glukoz %5 248
Uyumlu
Enjeksiyon Paclitaxel 1.2 mg/ml
Enjeksiyon Metoclopramide hydrochloride 5 mg/ml
Glukoz %5 85
Bulanıklık kaybı uyumsuz
Enjeksiyon Paclitaxel 1.2 mg/ml
Enjeksiyon Mitoxantrone dihydrochloride 0.5 mg/ml
Glukoz %5 248
Uyumlu
Enjeksiyon Paclitaxel 1.2 mg/ml
Enjeksiyon Morphine sulfate 1 mg/ml
Glukoz %5 248
Uyumlu
Enjeksiyon Paclitaxel 1.2 mg/ml
Enjeksiyon Nalbuphine hydrochloride 10 mg/ml
Glukoz %5 248
Uyumlu
Enjeksiyon Paclitaxel 0.3 & 1.2 mg/ml
Enjeksiyon Ondansetron hydrochloride 0.03 & 0.3 mg/ml
Glukoz %5 47
Uyumlu
Enjeksiyon Paclitaxel 1.2 mg/ml
Enjeksiyon Ondansetron hydrochloride 0.5 mg/ml
Glukoz %5 248
Uyumlu
Enjeksiyon Paclitaxel 0,6 mg/ml
Enjeksiyon Oxaliplatin 0,5 mg/ml
Glukoz %5 1662
Uyumlu
Enjeksiyon Paclitaxel 1,2 mg/ml
Enjeksiyon Palonosetron hydrochloride 50 µg/ml
Glukoz %5 1940
Uyumlu
Enjeksiyon Paclitaxel 0.6 mg/ml
Enjeksiyon Pemetrexed disodium 20 mg/ml
Sodyum klorür % 0,9 1953
Uyumlu
Enjeksiyon Paclitaxel 1.2 mg/ml
Enjeksiyon Pentostatin 0.4 mg/ml
Glukoz %5 248
Uyumlu
Enjeksiyon Paclitaxel 1.2 mg/ml
Enjeksiyon Pethidine hydrochloride 4 mg/ml
Glukoz %5 248
Uyumlu
Enjeksiyon Paclitaxel 1.2 mg/ml
Enjeksiyon Potassium chloride 100 mEq/l
Glukoz %5 248
Uyumlu
Enjeksiyon Paclitaxel 1.2 mg/ml
Enjeksiyon Prochlorperazine edysilate 0.5 mg/ml
Glukoz %5 85
Uyumlu
Enjeksiyon Paclitaxel 1.2 mg/ml
Enjeksiyon Propofol 10 mg/ml
Yok 300
Uyumlu
Enjeksiyon Paclitaxel 0.3 & 1.2 mg/ml
Enjeksiyon Ranitidine hydrochloride 0.5 & 2 mg/ml
Glukoz %5 47
Uyumlu
Enjeksiyon Paclitaxel 1.2 mg/ml
Enjeksiyon Ranitidine hydrochloride 2 mg/ml
Glukoz %5 85
Uyumlu
Enjeksiyon Paclitaxel 1.2 mg/ml
Enjeksiyon Sodium bicarbonate 84 mg/ml
Glukoz %5 248
Uyumlu
Enjeksiyon Paclitaxel 0.6 mg/ml
Enjeksiyon Thiotepa 1 mg/ml
Glukoz %5 249
Uyumlu
Enjeksiyon Paclitaxel 0.54 mg/ml
Enjeksiyon Topotecan 0.056 mg/ml
Sodyum klorür % 0,9 1026
Uyumlu
Enjeksiyon Paclitaxel 0.54 mg/ml
Enjeksiyon Topotecan 0.056 mg/ml
Glukoz %5 1026
Uyumlu
Enjeksiyon Paclitaxel 1.2 mg/ml
Enjeksiyon Vancomycin hydrochloride 10 mg/ml
Glukoz %5 85
Uyumlu
Enjeksiyon Paclitaxel 1.2 mg/ml
Enjeksiyon Vinblastine sulfate 0.12 mg/ml
Glukoz %5 248
Uyumlu
Enjeksiyon Paclitaxel 1.2 mg/ml
Enjeksiyon Vincristine sulfate 0.05 mg/ml
Glukoz %5 248
Uyumlu
Enjeksiyon Paclitaxel 1.2 mg/ml
Enjeksiyon Zidovudine 4 mg/ml
Glukoz %5 248

  Mentions Légales