Utolsó frissítés :
27/04/2026
rákellenes gyógyszer   Paclitaxel  
Injekció
Az oldatok stabilitása A keverékek stabilitása Stabilitást befolyásoló tényezők Kompatibilitás Az alkalmazás módja Irodalom pdf
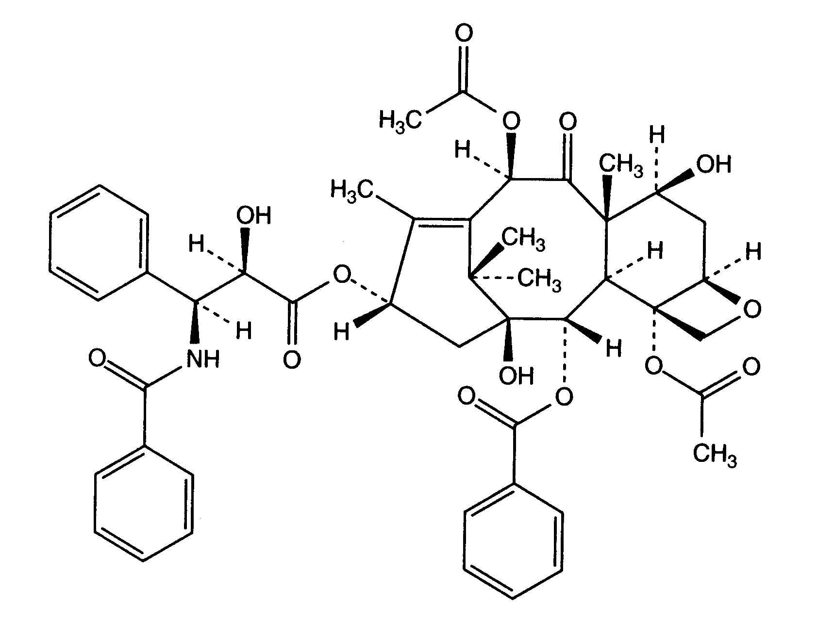
   Kémiai szerkezet   

Kereskedelmi név   Kereskedelmi név     

A kereskedelmi név meghatározó jelentőségű: a készítmények összetétele országonként, előállítóként eltérő lehet

Aclipak Malaysia
Acoexcel Mexikó
Acupaxil Marokkó
Anzatax Egyesült Arab Emírségek, Egyiptom, Irán, Malaysia, Marokkó, Peru, Szaúd-Arábiában, Törökország, Tunézia, új-Zéland
Aritaxel Németország
Cantaxel India
Clitaxel Argentína, Venezuela
Dalys Argentína
Ebetaxel Ausztria, Irán, Marokkó, Szaúd-Arábiában, Törökország, Tunézia
Genexol Egyiptom, India, Irán
Onxol Amerikai Egyesült Államok
Paclinova Argentína
Paclitaxin Brazília, Luxemburg, Malaysia, Szlovénia
Parexel Brazília, Colombia, Ecuador, Venezuela
Paxene Dánia, Görögország, Hollandia, Írország, Lengyelország, Spanyolország
Poltaxel Lengyelország
Ribotax Németország
Taxol Ausztria, Brazília, Colombia, Dánia, Egyesült Arab Emírségek, Egyiptom, Görögország, Hollandia, Irán, Japán, Lengyelország, Malaysia, Marokkó, Olaszország, Peru, Portugália, Svájc, Svédország, Szlovénia, Törökország, új-Zéland, Venezuela
Taxomedac Németország
Vitax Brazília, Peru, Törökország
Kompatibilitás   Injekció   Kompatibilitás : Paclitaxel              
Ovdje su prikazane kompatibilnosti ili nekompatibilnosti s tipom nekompatibilnosti (taloženje, promjena boje, modifikacija emulzije itd.) u ovom slučaju. Kompatibilnosti prikazane ovdje najčešće su fizikalne dok se kemijska stabilnost molekule rijetko procjenjuje. Procjena ovih mikstura je proučavana kako bi se razmotrila mogućnost primjene lijeka putem Y-mjesta. Ovi se podaci ne smiju koristiti za pripremu mikstura unaprijed u vrećicama ili štrcaljkama. Ova vrsta informacije se može pronaći u odjeljku « stabilnost u miksturama ».
Vegyület Oldószer Irodalom
Összeegyeztethető
Injekció Paclitaxel 1.2 mg/ml
Injekció Aciclovir sodium 7 mg/ml
5% glükóz 248
Összeegyeztethető
Injekció Paclitaxel 1.2 mg/ml
Injekció Amikacin sulfate 5 mg/ml
5% glükóz 248
Összeegyeztethető
Injekció Paclitaxel 1.2 mg/ml
Injekció Aminophylline 2.5 mg/ml
5% glükóz 248
Azonnali zavarosság Összeegyeztethetetlen
Injekció Paclitaxel 1.2 mg/ml
Injekció Amphotericin B 0.6 mg/ml
5% glükóz 248
A zavarosság elvesztése Összeegyeztethetetlen
Injekció Paclitaxel 0.6 mg/ml
Injekció Amphotericin B cholesteryl sulfate complex 0.83 mg/ml
5% glükóz 921
Összeegyeztethető
Injekció Paclitaxel 1.2 mg/ml
Injekció Ampicillin sodium - sulbactam sodium 20/10 mg/ml
5% glükóz 248
Összeegyeztethető
Injekció Paclitaxel 0.6 mg/ml
Injekció Anidulafungin 0.5 mg/ml
5% glükóz 1982
Összeegyeztethető
Injekció Paclitaxel 1.2 mg/ml
Injekció Bleomycin sulfate 1 mg/ml
5% glükóz 248
Összeegyeztethető
Injekció Paclitaxel 1.2 mg/ml
Injekció Butorphanol tartrate 0.04 mg/ml
5% glükóz 248
Összeegyeztethető
Injekció Paclitaxel 1.2 mg/ml
Injekció Calcium chloride 20 mg/ml
5% glükóz 248
Összeegyeztethető
Injekció Paclitaxel 1.2 mg/ml
Injekció Carboplatin 5 mg/ml
5% glükóz 85
Összeegyeztethető
Injekció Paclitaxel 0,3 & 1,2 mg/ml
Injekció Carboplatin 2 mg/ml
0,9% nátrium-klorid 872
Összeegyeztethető
Injekció Paclitaxel 0,3 & 1,2 mg/ml
Injekció Carboplatin 2 mg/ml
5% glükóz 872
Összeegyeztethető
Injekció Paclitaxel 1.2 mg/ml
Injekció Ceforanide 20 mg/ml
5% glükóz 248
Összeegyeztethető
Injekció Paclitaxel 1.2 mg/ml
Injekció Ceftazidime 40 mg/ml
5% glükóz 248
Összeegyeztethető
Injekció Paclitaxel 1.2 mg/ml
Injekció Ceftriaxone disodium 20 mg/ml
5% glükóz 248
A zavarosság elvesztése Összeegyeztethetetlen
Injekció Paclitaxel 1.2 mg/ml
Injekció Chlorpromazine hydrochloride 2 mg/ml
5% glükóz 248
Összeegyeztethető
Injekció Paclitaxel
5% glükóz 1956
Összeegyeztethető
Injekció Paclitaxel 0,3 & 1,2 mg/ml
Injekció Cisplatin 0,2 mg/ml
0,9% nátrium-klorid 872
Összeegyeztethető
Injekció Paclitaxel 1.2 mg/ml
Parenterális táplálás (lipid) 1415
Összeegyeztethető
Injekció Paclitaxel 1.2 mg/ml
Parenterális táplálás (lipid-mentes) 301
Összeegyeztethető
Injekció Paclitaxel 1.2 mg/ml
Injekció Cimetidine hydrochloride 12 mg/ml
5% glükóz 85
Összeegyeztethető
Injekció Paclitaxel 1.2 mg/ml
Injekció Cisplatin 1 mg/ml
5% glükóz 85
Kémiai instabilitás Összeegyeztethetetlen
Injekció Paclitaxel
Injekció Cisplatin
3578
Összeegyeztethető
Injekció Paclitaxel 0.6 mg/ml
Injekció Cladribine 0.5 mg/ml
0,9% NaCl + antibakteriális szer 1496
Összeegyeztethető
Injekció Paclitaxel 0.6 mg/ml
Injekció Cladribine 0.015 mg/ml
0,9% nátrium-klorid 1496
Összeegyeztethető
Injekció Paclitaxel 1.2 mg/ml
Injekció Cyclophosphamide 10 mg/ml
5% glükóz 85
Összeegyeztethető
Injekció Paclitaxel 1.2 mg/ml
Injekció Cytarabine 50 mg/ml
5% glükóz 85
Összeegyeztethető
Injekció Paclitaxel 1.2 mg/ml
Injekció Dacarbazine 4 mg/ml
5% glükóz 248
Összeegyeztethető
Injekció Paclitaxel 1.2 mg/ml
Injekció Dexamethasone sodium phosphate 1 mg/ml
5% glükóz 85
Összeegyeztethető
Injekció Paclitaxel 1.2 mg/ml
Injekció Diphenhydramine hydrochloride 2 mg/ml
5% glükóz 85
Összeegyeztethető
Injekció Paclitaxel 0,6 mg/ml
Injekció Doripenem 5 mg/ml
0,9% nátrium-klorid 2262
Összeegyeztethető
Injekció Paclitaxel 0,6 mg/ml
Injekció Doripenem 5 mg/ml
5% glükóz 2262
Összeegyeztethető
Injekció Paclitaxel 0,3 & 1,2 mg/ml
Injekció Doxorubicin hydrochloride 0,2 mg/ml
5% glükóz 1286
Összeegyeztethető
Injekció Paclitaxel 1.2 mg/ml
Injekció Doxorubicin hydrochloride 2 mg/ml
5% glükóz 85
Összeegyeztethető
Injekció Paclitaxel 0,3 & 1,2 mg/ml
Injekció Doxorubicin hydrochloride 0,2 mg/ml
0,9% nátrium-klorid 1286
A zavarosság elvesztése Összeegyeztethetetlen
Injekció Paclitaxel 0.6 mg/ml
Injekció Doxorubicin hydrochloride liposome peg 0.4 mg/ml
5% glükóz 251
Összeegyeztethető
Injekció Paclitaxel
0,9% nátrium-klorid 1956
Összeegyeztethető
Injekció Paclitaxel 1.2 mg/ml
Injekció Droperidol 0.4 mg/ml
5% glükóz 248
Összeegyeztethető
Injekció Paclitaxel 1.2 mg/ml
Injekció Etoposide 0.4 mg/ml
5% glükóz 85
Összeegyeztethető
Injekció Paclitaxel 1.2 mg/ml
Injekció Etoposide phosphate 5 mg/ml
5% glükóz 1410
Összeegyeztethető
Injekció Paclitaxel 1.2 mg/ml
Injekció Famotidine 2 mg/ml
5% glükóz 248
Összeegyeztethető
Injekció Paclitaxel 1.2 mg/ml
Injekció Floxuridine 3 mg/ml
5% glükóz 248
Összeegyeztethető
Injekció Paclitaxel 0,3 & 1,2 mg/ml
Injekció Fluconazole 2 mg/ml
5% glükóz 151
Összeegyeztethető
Injekció Paclitaxel 1.2 mg/ml
Injekció Fluconazole 2 mg/ml
5% glükóz 248
Összeegyeztethető
Injekció Paclitaxel 1.2 mg/ml
Injekció Fluorouracil 16 mg/ml
5% glükóz 85
Összeegyeztethető
Injekció Paclitaxel 1.2 mg/ml
Injekció Furosemide 3 mg/ml
5% glükóz 248
Összeegyeztethető
Injekció Paclitaxel 1.2 mg/ml
Injekció Ganciclovir sodium 20 mg/ml
5% glükóz 248
Összeegyeztethető
Injekció Paclitaxel 1.2 mg/ml
Injekció Gemcitabine hydrochloride 10 mg/ml
0,9% nátrium-klorid 1423
Összeegyeztethető
Injekció Paclitaxel 1.2 mg/ml
Injekció Gentamicin sulfate 5 mg/ml
5% glükóz 248
Összeegyeztethető
Injekció Paclitaxel 1.2 mg/ml
Injekció Granisetron hydrochloride 0.05 mg/ml
5% glükóz 182
Összeegyeztethető
Injekció Paclitaxel 0.29 mg/ml
Injekció Granisetron hydrochloride 1 mg/ml
0,9% nátrium-klorid 57
Összeegyeztethető
Injekció Paclitaxel 1.2 mg/ml
Injekció Haloperidol lactate 0.2 mg/ml
5% glükóz 85
Összeegyeztethető
Injekció Paclitaxel 1.2 mg/ml
Injekció Heparin sodium 100 UI/ml
5% glükóz 248
Összeegyeztethető
Injekció Paclitaxel 1.2 mg/ml
Injekció Hydrocortisone sodium succinate 1 mg/ml
5% glükóz 248
Összeegyeztethető
Injekció Paclitaxel 1.2 mg/ml
Injekció Hydromorphone hydrochloride 0.5 mg/ml
5% glükóz 248
A zavarosság elvesztése Összeegyeztethetetlen
Injekció Paclitaxel 1.2 mg/ml
Injekció Hydroxyzine dihydrochloride 4 mg/ml
5% glükóz 248
Összeegyeztethető
Injekció Paclitaxel 1.2 mg/ml
Injekció Ifosfamide 25 mg/ml
5% glükóz 248
Összeegyeztethető
Injekció Paclitaxel 0.6 mg/ml
Injekció Lansoprazole 0.55 mg/ml
0,9% nátrium-klorid 1625
Összeegyeztethető
Injekció Paclitaxel 0.6 mg/ml
Injekció Linezolid 2 mg/ml
Egy sem 1925
Összeegyeztethető
Injekció Paclitaxel 1.2 mg/ml
Injekció Lorazepam 0.1 mg/ml
5% glükóz 85
Összeegyeztethető
Injekció Paclitaxel 1.2 mg/ml
Injekció Magnesium sulfate 100 mg/ml
5% glükóz 248
Összeegyeztethető
Injekció Paclitaxel 1.2 mg/ml
Injekció Mannitol 150 mg/ml
5% glükóz 248
Összeegyeztethető
Injekció Paclitaxel 1.2 mg/ml
Injekció Mesna 10 mg/ml
5% glükóz 248
Összeegyeztethető
Injekció Paclitaxel 1.2 mg/ml
Injekció Methotrexate sodium 15 mg/ml
5% glükóz 85
A zavarosság elvesztése Összeegyeztethetetlen
Injekció Paclitaxel 1.2 mg/ml
Injekció Methylprednisolone sodium succinate 5 mg/ml
5% glükóz 248
Összeegyeztethető
Injekció Paclitaxel 1.2 mg/ml
Injekció Metoclopramide hydrochloride 5 mg/ml
5% glükóz 85
A zavarosság elvesztése Összeegyeztethetetlen
Injekció Paclitaxel 1.2 mg/ml
Injekció Mitoxantrone dihydrochloride 0.5 mg/ml
5% glükóz 248
Összeegyeztethető
Injekció Paclitaxel 1.2 mg/ml
Injekció Morphine sulfate 1 mg/ml
5% glükóz 248
Összeegyeztethető
Injekció Paclitaxel 1.2 mg/ml
Injekció Nalbuphine hydrochloride 10 mg/ml
5% glükóz 248
Összeegyeztethető
Injekció Paclitaxel 0.3 & 1.2 mg/ml
Injekció Ondansetron hydrochloride 0.03 & 0.3 mg/ml
5% glükóz 47
Összeegyeztethető
Injekció Paclitaxel 1.2 mg/ml
Injekció Ondansetron hydrochloride 0.5 mg/ml
5% glükóz 248
Összeegyeztethető
Injekció Paclitaxel 0,6 mg/ml
Injekció Oxaliplatin 0,5 mg/ml
5% glükóz 1662
Összeegyeztethető
Injekció Paclitaxel 1,2 mg/ml
Injekció Palonosetron hydrochloride 50 µg/ml
5% glükóz 1940
Összeegyeztethető
Injekció Paclitaxel 0.6 mg/ml
Injekció Pemetrexed disodium 20 mg/ml
0,9% nátrium-klorid 1953
Összeegyeztethető
Injekció Paclitaxel 1.2 mg/ml
Injekció Pentostatin 0.4 mg/ml
5% glükóz 248
Összeegyeztethető
Injekció Paclitaxel 1.2 mg/ml
Injekció Pethidine hydrochloride 4 mg/ml
5% glükóz 248
Összeegyeztethető
Injekció Paclitaxel 1.2 mg/ml
Injekció Potassium chloride 100 mEq/l
5% glükóz 248
Összeegyeztethető
Injekció Paclitaxel 1.2 mg/ml
Injekció Prochlorperazine edysilate 0.5 mg/ml
5% glükóz 85
Összeegyeztethető
Injekció Paclitaxel 1.2 mg/ml
Injekció Propofol 10 mg/ml
Egy sem 300
Összeegyeztethető
Injekció Paclitaxel 0.3 & 1.2 mg/ml
Injekció Ranitidine hydrochloride 0.5 & 2 mg/ml
5% glükóz 47
Összeegyeztethető
Injekció Paclitaxel 1.2 mg/ml
Injekció Ranitidine hydrochloride 2 mg/ml
5% glükóz 85
Összeegyeztethető
Injekció Paclitaxel 1.2 mg/ml
Injekció Sodium bicarbonate 84 mg/ml
5% glükóz 248
Összeegyeztethető
Injekció Paclitaxel 0.6 mg/ml
Injekció Thiotepa 1 mg/ml
5% glükóz 249
Összeegyeztethető
Injekció Paclitaxel 0.54 mg/ml
Injekció Topotecan 0.056 mg/ml
0,9% nátrium-klorid 1026
Összeegyeztethető
Injekció Paclitaxel 0.54 mg/ml
Injekció Topotecan 0.056 mg/ml
5% glükóz 1026
Összeegyeztethető
Injekció Paclitaxel 1.2 mg/ml
Injekció Vancomycin hydrochloride 10 mg/ml
5% glükóz 85
Összeegyeztethető
Injekció Paclitaxel 1.2 mg/ml
Injekció Vinblastine sulfate 0.12 mg/ml
5% glükóz 248
Összeegyeztethető
Injekció Paclitaxel 1.2 mg/ml
Injekció Vincristine sulfate 0.05 mg/ml
5% glükóz 248
Összeegyeztethető
Injekció Paclitaxel 1.2 mg/ml
Injekció Zidovudine 4 mg/ml
5% glükóz 248

  Mentions Légales