Последно актуализиране :
27/04/2026
противораково лекарство   Paclitaxel  
Инжекция/Инжекционен
Стабилност на разтвори Стабилност на смеси Фактори, повлияващи стабилността Съвместимост Път на въвеждане Библиография Pdf
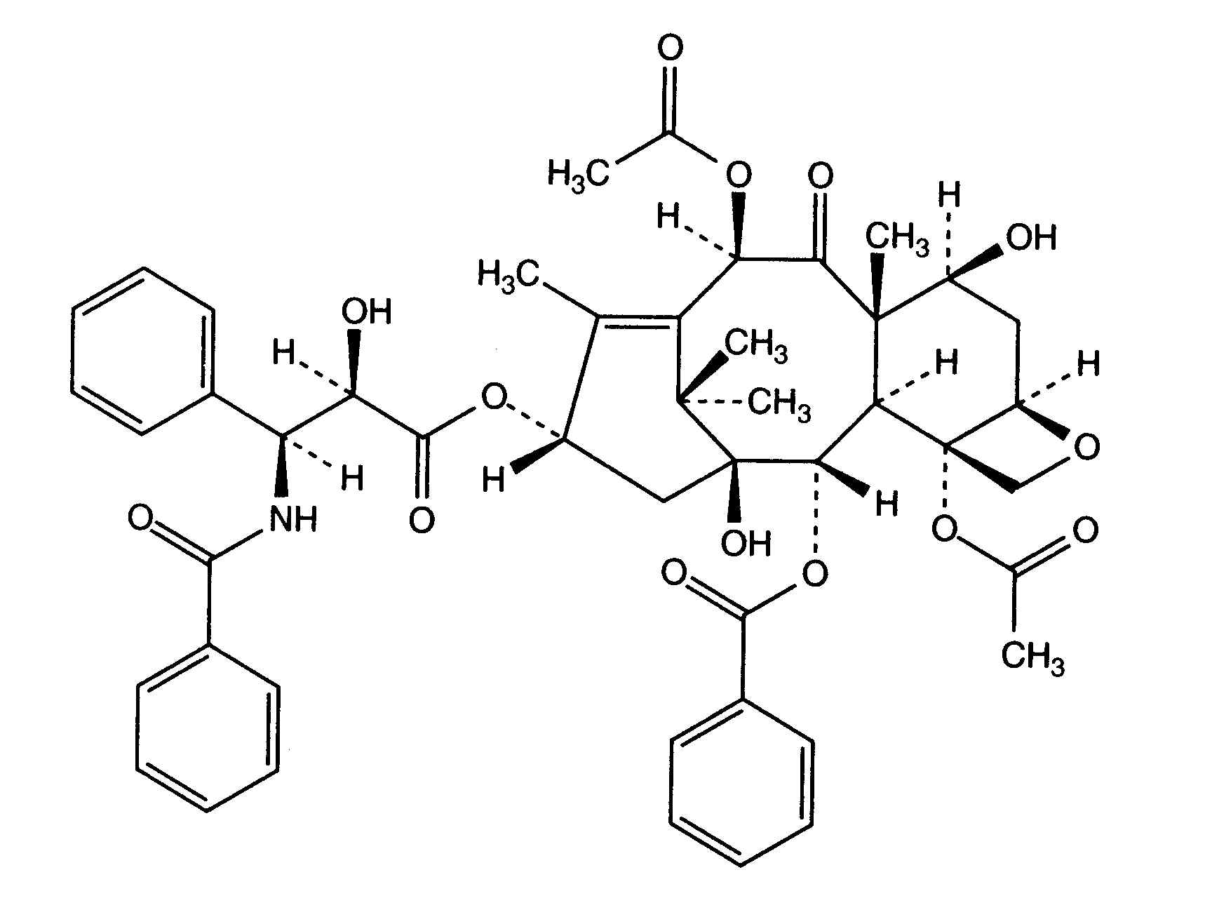
   Химична структура  

Търговско наименование   Търговско наименование     

Търговските имена са примерни и съставът на помощните вещества може да бъде различен в зависимост от държавата и лабораториите

Aclipak Малайзия
Acoexcel Мексико
Acupaxil Мароко
Anzatax Египет, Иран, Малайзия, Мароко, нова Зеландия, Обединени арабски емирства, Перу, Саудитска Арабия, Тунис, Турция
Aritaxel Германия
Cantaxel Индия
Clitaxel Аржентина, Венецуела
Dalys Аржентина
Ebetaxel Австрия, Иран, Мароко, Саудитска Арабия, Тунис, Турция
Genexol Египет, Индия, Иран
Onxol Съединени Американски щати / САЩ
Paclinova Аржентина
Paclitaxin Бразилия, Люксенбург, Малайзия, Словения
Parexel Бразилия, Венецуела, Еквадор, Колумбия
Paxene Гърция, Дания, Ирландия, Испания, Полша, Холандия
Poltaxel Полша
Ribotax Германия
Taxol Австрия, Бразилия, Венецуела, Гърция, Дания, Египет, Иран, Италия, Колумбия, Малайзия, Мароко, нова Зеландия, Обединени арабски емирства, Перу, Полша, Португалия, Словения, Турция, Холандия, Швейцария, Швеция, Япония
Taxomedac Германия
Vitax Бразилия, Перу, Турция
Съвместимост   Инжекция/Инжекционен   Съвместимост : Paclitaxel              
Този екран показва съвместимостта или несъвместимостта с, в този случай, вида на несъвместимостта (утаяване, промяна на цвета, модификация на емулсия и др.). Показаните тук съвместимости са предимно физически, като рядко се оценява химическата стабилност на всяка молекула. Оценката на тези смеси беше проучена, за да се разгледа възможността за приложение на Y-място на пациента. Тези данни не могат да се използват за предварително приготвяне на смеси в торбички или спринцовки. Този тип информация е достъпна на екрана "Стабилност в сместа".
Състав / молекула Разтворител Библиография
съвместим
Инжекция/Инжекционен Paclitaxel 1.2 mg/ml
Инжекция/Инжекционен Aciclovir sodium 7 mg/ml
Glucose 5% 248
съвместим
Инжекция/Инжекционен Paclitaxel 1.2 mg/ml
Инжекция/Инжекционен Amikacin sulfate 5 mg/ml
Glucose 5% 248
съвместим
Инжекция/Инжекционен Paclitaxel 1.2 mg/ml
Инжекция/Инжекционен Aminophylline 2.5 mg/ml
Glucose 5% 248
Незабавна мътност Несъвместим
Инжекция/Инжекционен Paclitaxel 1.2 mg/ml
Инжекция/Инжекционен Amphotericin B 0.6 mg/ml
Glucose 5% 248
Загуба на мътност Несъвместим
Инжекция/Инжекционен Paclitaxel 0.6 mg/ml
Инжекция/Инжекционен Amphotericin B cholesteryl sulfate complex 0.83 mg/ml
Glucose 5% 921
съвместим
Инжекция/Инжекционен Paclitaxel 1.2 mg/ml
Инжекция/Инжекционен Ampicillin sodium - sulbactam sodium 20/10 mg/ml
Glucose 5% 248
съвместим
Инжекция/Инжекционен Paclitaxel 0.6 mg/ml
Инжекция/Инжекционен Anidulafungin 0.5 mg/ml
Glucose 5% 1982
съвместим
Инжекция/Инжекционен Paclitaxel 1.2 mg/ml
Инжекция/Инжекционен Bleomycin sulfate 1 mg/ml
Glucose 5% 248
съвместим
Инжекция/Инжекционен Paclitaxel 1.2 mg/ml
Инжекция/Инжекционен Butorphanol tartrate 0.04 mg/ml
Glucose 5% 248
съвместим
Инжекция/Инжекционен Paclitaxel 1.2 mg/ml
Инжекция/Инжекционен Calcium chloride 20 mg/ml
Glucose 5% 248
съвместим
Инжекция/Инжекционен Paclitaxel 1.2 mg/ml
Инжекция/Инжекционен Carboplatin 5 mg/ml
Glucose 5% 85
съвместим
Инжекция/Инжекционен Paclitaxel 0,3 & 1,2 mg/ml
Инжекция/Инжекционен Carboplatin 2 mg/ml
Sodium chloride 0,9% 872
съвместим
Инжекция/Инжекционен Paclitaxel 0,3 & 1,2 mg/ml
Инжекция/Инжекционен Carboplatin 2 mg/ml
Glucose 5% 872
съвместим
Инжекция/Инжекционен Paclitaxel 1.2 mg/ml
Инжекция/Инжекционен Ceforanide 20 mg/ml
Glucose 5% 248
съвместим
Инжекция/Инжекционен Paclitaxel 1.2 mg/ml
Инжекция/Инжекционен Ceftazidime 40 mg/ml
Glucose 5% 248
съвместим
Инжекция/Инжекционен Paclitaxel 1.2 mg/ml
Инжекция/Инжекционен Ceftriaxone disodium 20 mg/ml
Glucose 5% 248
Загуба на мътност Несъвместим
Инжекция/Инжекционен Paclitaxel 1.2 mg/ml
Инжекция/Инжекционен Chlorpromazine hydrochloride 2 mg/ml
Glucose 5% 248
съвместим
Инжекция/Инжекционен Paclitaxel
Glucose 5% 1956
съвместим
Инжекция/Инжекционен Paclitaxel 0,3 & 1,2 mg/ml
Инжекция/Инжекционен Cisplatin 0,2 mg/ml
Sodium chloride 0,9% 872
съвместим
Инжекция/Инжекционен Paclitaxel 1.2 mg/ml
Парентерално хранене (с липиди) 1415
съвместим
Инжекция/Инжекционен Paclitaxel 1.2 mg/ml
Парентерално хранене (липидите безплатно) 301
съвместим
Инжекция/Инжекционен Paclitaxel 1.2 mg/ml
Инжекция/Инжекционен Cimetidine hydrochloride 12 mg/ml
Glucose 5% 85
съвместим
Инжекция/Инжекционен Paclitaxel 1.2 mg/ml
Инжекция/Инжекционен Cisplatin 1 mg/ml
Glucose 5% 85
Химическа нестабилност Несъвместим
Инжекция/Инжекционен Paclitaxel
Инжекция/Инжекционен Cisplatin
3578
съвместим
Инжекция/Инжекционен Paclitaxel 0.6 mg/ml
Инжекция/Инжекционен Cladribine 0.5 mg/ml
NaCl 0,9% + антибактериално 1496
съвместим
Инжекция/Инжекционен Paclitaxel 0.6 mg/ml
Инжекция/Инжекционен Cladribine 0.015 mg/ml
Sodium chloride 0,9% 1496
съвместим
Инжекция/Инжекционен Paclitaxel 1.2 mg/ml
Инжекция/Инжекционен Cyclophosphamide 10 mg/ml
Glucose 5% 85
съвместим
Инжекция/Инжекционен Paclitaxel 1.2 mg/ml
Инжекция/Инжекционен Cytarabine 50 mg/ml
Glucose 5% 85
съвместим
Инжекция/Инжекционен Paclitaxel 1.2 mg/ml
Инжекция/Инжекционен Dacarbazine 4 mg/ml
Glucose 5% 248
съвместим
Инжекция/Инжекционен Paclitaxel 1.2 mg/ml
Инжекция/Инжекционен Dexamethasone sodium phosphate 1 mg/ml
Glucose 5% 85
съвместим
Инжекция/Инжекционен Paclitaxel 1.2 mg/ml
Инжекция/Инжекционен Diphenhydramine hydrochloride 2 mg/ml
Glucose 5% 85
съвместим
Инжекция/Инжекционен Paclitaxel 0,6 mg/ml
Инжекция/Инжекционен Doripenem 5 mg/ml
Sodium chloride 0,9% 2262
съвместим
Инжекция/Инжекционен Paclitaxel 0,6 mg/ml
Инжекция/Инжекционен Doripenem 5 mg/ml
Glucose 5% 2262
съвместим
Инжекция/Инжекционен Paclitaxel 0,3 & 1,2 mg/ml
Инжекция/Инжекционен Doxorubicin hydrochloride 0,2 mg/ml
Glucose 5% 1286
съвместим
Инжекция/Инжекционен Paclitaxel 1.2 mg/ml
Инжекция/Инжекционен Doxorubicin hydrochloride 2 mg/ml
Glucose 5% 85
съвместим
Инжекция/Инжекционен Paclitaxel 0,3 & 1,2 mg/ml
Инжекция/Инжекционен Doxorubicin hydrochloride 0,2 mg/ml
Sodium chloride 0,9% 1286
Загуба на мътност Несъвместим
Инжекция/Инжекционен Paclitaxel 0.6 mg/ml
Инжекция/Инжекционен Doxorubicin hydrochloride liposome peg 0.4 mg/ml
Glucose 5% 251
съвместим
Инжекция/Инжекционен Paclitaxel
Sodium chloride 0,9% 1956
съвместим
Инжекция/Инжекционен Paclitaxel 1.2 mg/ml
Инжекция/Инжекционен Droperidol 0.4 mg/ml
Glucose 5% 248
съвместим
Инжекция/Инжекционен Paclitaxel 1.2 mg/ml
Инжекция/Инжекционен Etoposide 0.4 mg/ml
Glucose 5% 85
съвместим
Инжекция/Инжекционен Paclitaxel 1.2 mg/ml
Инжекция/Инжекционен Etoposide phosphate 5 mg/ml
Glucose 5% 1410
съвместим
Инжекция/Инжекционен Paclitaxel 1.2 mg/ml
Инжекция/Инжекционен Famotidine 2 mg/ml
Glucose 5% 248
съвместим
Инжекция/Инжекционен Paclitaxel 1.2 mg/ml
Инжекция/Инжекционен Floxuridine 3 mg/ml
Glucose 5% 248
съвместим
Инжекция/Инжекционен Paclitaxel 0,3 & 1,2 mg/ml
Инжекция/Инжекционен Fluconazole 2 mg/ml
Glucose 5% 151
съвместим
Инжекция/Инжекционен Paclitaxel 1.2 mg/ml
Инжекция/Инжекционен Fluconazole 2 mg/ml
Glucose 5% 248
съвместим
Инжекция/Инжекционен Paclitaxel 1.2 mg/ml
Инжекция/Инжекционен Fluorouracil 16 mg/ml
Glucose 5% 85
съвместим
Инжекция/Инжекционен Paclitaxel 1.2 mg/ml
Инжекция/Инжекционен Furosemide 3 mg/ml
Glucose 5% 248
съвместим
Инжекция/Инжекционен Paclitaxel 1.2 mg/ml
Инжекция/Инжекционен Ganciclovir sodium 20 mg/ml
Glucose 5% 248
съвместим
Инжекция/Инжекционен Paclitaxel 1.2 mg/ml
Инжекция/Инжекционен Gemcitabine hydrochloride 10 mg/ml
Sodium chloride 0,9% 1423
съвместим
Инжекция/Инжекционен Paclitaxel 1.2 mg/ml
Инжекция/Инжекционен Gentamicin sulfate 5 mg/ml
Glucose 5% 248
съвместим
Инжекция/Инжекционен Paclitaxel 1.2 mg/ml
Инжекция/Инжекционен Granisetron hydrochloride 0.05 mg/ml
Glucose 5% 182
съвместим
Инжекция/Инжекционен Paclitaxel 0.29 mg/ml
Инжекция/Инжекционен Granisetron hydrochloride 1 mg/ml
Sodium chloride 0,9% 57
съвместим
Инжекция/Инжекционен Paclitaxel 1.2 mg/ml
Инжекция/Инжекционен Haloperidol lactate 0.2 mg/ml
Glucose 5% 85
съвместим
Инжекция/Инжекционен Paclitaxel 1.2 mg/ml
Инжекция/Инжекционен Heparin sodium 100 UI/ml
Glucose 5% 248
съвместим
Инжекция/Инжекционен Paclitaxel 1.2 mg/ml
Инжекция/Инжекционен Hydrocortisone sodium succinate 1 mg/ml
Glucose 5% 248
съвместим
Инжекция/Инжекционен Paclitaxel 1.2 mg/ml
Инжекция/Инжекционен Hydromorphone hydrochloride 0.5 mg/ml
Glucose 5% 248
Загуба на мътност Несъвместим
Инжекция/Инжекционен Paclitaxel 1.2 mg/ml
Инжекция/Инжекционен Hydroxyzine dihydrochloride 4 mg/ml
Glucose 5% 248
съвместим
Инжекция/Инжекционен Paclitaxel 1.2 mg/ml
Инжекция/Инжекционен Ifosfamide 25 mg/ml
Glucose 5% 248
съвместим
Инжекция/Инжекционен Paclitaxel 0.6 mg/ml
Инжекция/Инжекционен Lansoprazole 0.55 mg/ml
Sodium chloride 0,9% 1625
съвместим
Инжекция/Инжекционен Paclitaxel 0.6 mg/ml
Инжекция/Инжекционен Linezolid 2 mg/ml
Няма 1925
съвместим
Инжекция/Инжекционен Paclitaxel 1.2 mg/ml
Инжекция/Инжекционен Lorazepam 0.1 mg/ml
Glucose 5% 85
съвместим
Инжекция/Инжекционен Paclitaxel 1.2 mg/ml
Инжекция/Инжекционен Magnesium sulfate 100 mg/ml
Glucose 5% 248
съвместим
Инжекция/Инжекционен Paclitaxel 1.2 mg/ml
Инжекция/Инжекционен Mannitol 150 mg/ml
Glucose 5% 248
съвместим
Инжекция/Инжекционен Paclitaxel 1.2 mg/ml
Инжекция/Инжекционен Mesna 10 mg/ml
Glucose 5% 248
съвместим
Инжекция/Инжекционен Paclitaxel 1.2 mg/ml
Инжекция/Инжекционен Methotrexate sodium 15 mg/ml
Glucose 5% 85
Загуба на мътност Несъвместим
Инжекция/Инжекционен Paclitaxel 1.2 mg/ml
Инжекция/Инжекционен Methylprednisolone sodium succinate 5 mg/ml
Glucose 5% 248
съвместим
Инжекция/Инжекционен Paclitaxel 1.2 mg/ml
Инжекция/Инжекционен Metoclopramide hydrochloride 5 mg/ml
Glucose 5% 85
Загуба на мътност Несъвместим
Инжекция/Инжекционен Paclitaxel 1.2 mg/ml
Инжекция/Инжекционен Mitoxantrone dihydrochloride 0.5 mg/ml
Glucose 5% 248
съвместим
Инжекция/Инжекционен Paclitaxel 1.2 mg/ml
Инжекция/Инжекционен Morphine sulfate 1 mg/ml
Glucose 5% 248
съвместим
Инжекция/Инжекционен Paclitaxel 1.2 mg/ml
Инжекция/Инжекционен Nalbuphine hydrochloride 10 mg/ml
Glucose 5% 248
съвместим
Инжекция/Инжекционен Paclitaxel 0.3 & 1.2 mg/ml
Инжекция/Инжекционен Ondansetron hydrochloride 0.03 & 0.3 mg/ml
Glucose 5% 47
съвместим
Инжекция/Инжекционен Paclitaxel 1.2 mg/ml
Инжекция/Инжекционен Ondansetron hydrochloride 0.5 mg/ml
Glucose 5% 248
съвместим
Инжекция/Инжекционен Paclitaxel 0,6 mg/ml
Инжекция/Инжекционен Oxaliplatin 0,5 mg/ml
Glucose 5% 1662
съвместим
Инжекция/Инжекционен Paclitaxel 1,2 mg/ml
Инжекция/Инжекционен Palonosetron hydrochloride 50 µg/ml
Glucose 5% 1940
съвместим
Инжекция/Инжекционен Paclitaxel 0.6 mg/ml
Инжекция/Инжекционен Pemetrexed disodium 20 mg/ml
Sodium chloride 0,9% 1953
съвместим
Инжекция/Инжекционен Paclitaxel 1.2 mg/ml
Инжекция/Инжекционен Pentostatin 0.4 mg/ml
Glucose 5% 248
съвместим
Инжекция/Инжекционен Paclitaxel 1.2 mg/ml
Инжекция/Инжекционен Pethidine hydrochloride 4 mg/ml
Glucose 5% 248
съвместим
Инжекция/Инжекционен Paclitaxel 1.2 mg/ml
Инжекция/Инжекционен Potassium chloride 100 mEq/l
Glucose 5% 248
съвместим
Инжекция/Инжекционен Paclitaxel 1.2 mg/ml
Инжекция/Инжекционен Prochlorperazine edysilate 0.5 mg/ml
Glucose 5% 85
съвместим
Инжекция/Инжекционен Paclitaxel 1.2 mg/ml
Инжекция/Инжекционен Propofol 10 mg/ml
Няма 300
съвместим
Инжекция/Инжекционен Paclitaxel 0.3 & 1.2 mg/ml
Инжекция/Инжекционен Ranitidine hydrochloride 0.5 & 2 mg/ml
Glucose 5% 47
съвместим
Инжекция/Инжекционен Paclitaxel 1.2 mg/ml
Инжекция/Инжекционен Ranitidine hydrochloride 2 mg/ml
Glucose 5% 85
съвместим
Инжекция/Инжекционен Paclitaxel 1.2 mg/ml
Инжекция/Инжекционен Sodium bicarbonate 84 mg/ml
Glucose 5% 248
съвместим
Инжекция/Инжекционен Paclitaxel 0.6 mg/ml
Инжекция/Инжекционен Thiotepa 1 mg/ml
Glucose 5% 249
съвместим
Инжекция/Инжекционен Paclitaxel 0.54 mg/ml
Инжекция/Инжекционен Topotecan 0.056 mg/ml
Sodium chloride 0,9% 1026
съвместим
Инжекция/Инжекционен Paclitaxel 0.54 mg/ml
Инжекция/Инжекционен Topotecan 0.056 mg/ml
Glucose 5% 1026
съвместим
Инжекция/Инжекционен Paclitaxel 1.2 mg/ml
Инжекция/Инжекционен Vancomycin hydrochloride 10 mg/ml
Glucose 5% 85
съвместим
Инжекция/Инжекционен Paclitaxel 1.2 mg/ml
Инжекция/Инжекционен Vinblastine sulfate 0.12 mg/ml
Glucose 5% 248
съвместим
Инжекция/Инжекционен Paclitaxel 1.2 mg/ml
Инжекция/Инжекционен Vincristine sulfate 0.05 mg/ml
Glucose 5% 248
съвместим
Инжекция/Инжекционен Paclitaxel 1.2 mg/ml
Инжекция/Инжекционен Zidovudine 4 mg/ml
Glucose 5% 248

  Mentions Légales