Останнє оновлення :
27/04/2026
Протипухлинний препарат   Paclitaxel  
ін'єкція
Стійкість в розчинах Стійкість сумішей Фактори, що впливають на стабільність Сумісність Шлях введення Список літератури pdf
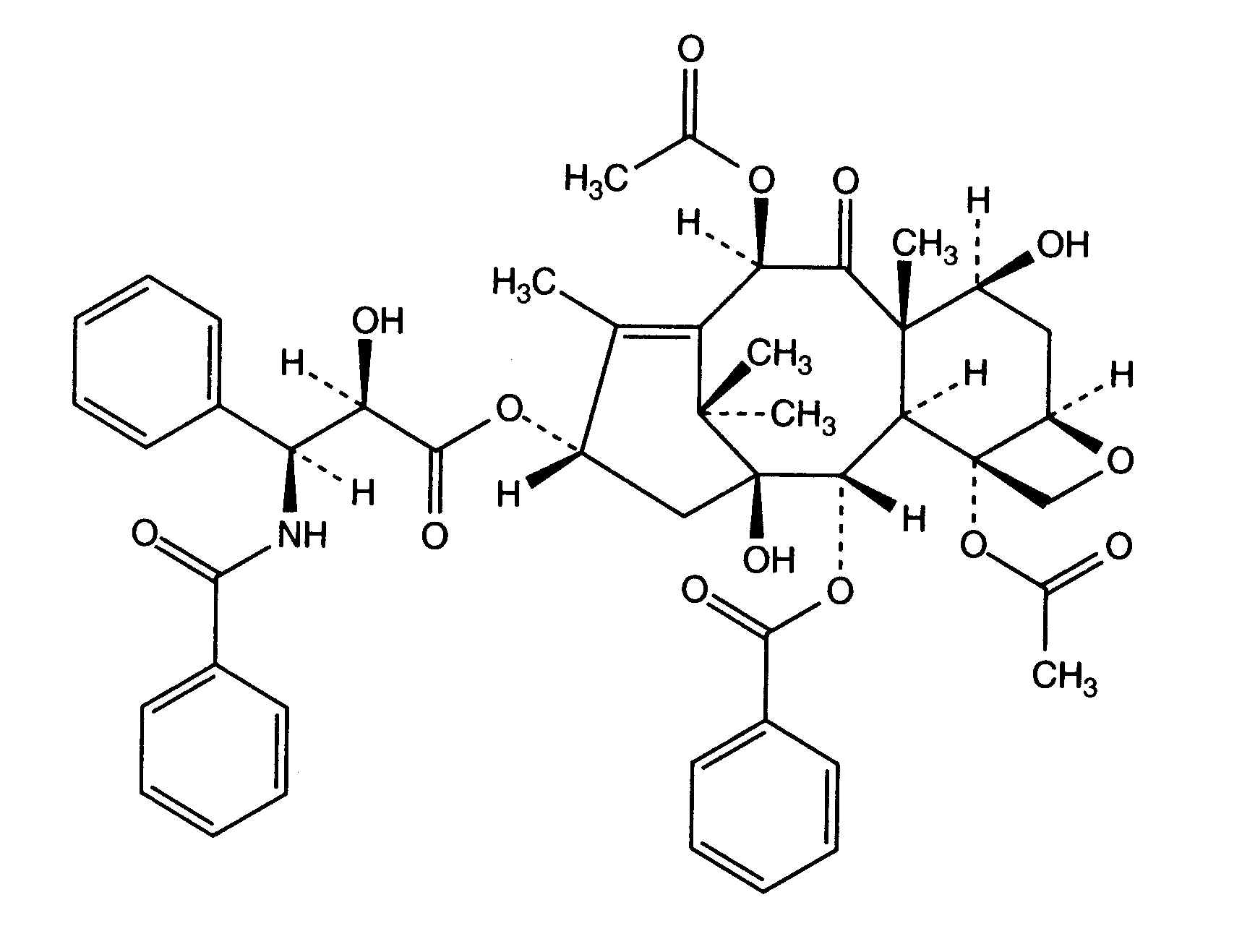
   Хімічна структура  

Торгова назва   Торгова назва     

Торгові назви є орієнтовними, а склад допоміжних речовин може бути різним залежно від країни та виробника

Aclipak Малайзія
Acoexcel Мексика
Acupaxil Марокко
Anzatax Єгипет, Іран, Малайзія, Марокко, Нова Зеландія, Об'єднані Арабські Емірати, Перу, Саудівська Аравія, Туніс, Туреччина
Aritaxel Німеччина
Cantaxel Індія
Clitaxel Аргентина, Венесуела
Dalys Аргентина
Ebetaxel Іран, Австрія, Марокко, Саудівська Аравія, Туніс, Туреччина
Genexol Єгипет, Індія, Іран
Onxol Сполучені Штати Америки
Paclinova Аргентина
Paclitaxin Бразилія, Люксембург, Малайзія, Словенія
Parexel Бразилія, Венесуела, Еквадор, Колумбія
Paxene Ірландія, Іспанія, Греція, Данія, Нідерланди, Польща
Poltaxel Польща
Ribotax Німеччина
Taxol Єгипет, Іран, Італія, Австрія, Бразилія, Венесуела, Греція, Данія, Колумбія, Малайзія, Марокко, Нідерланди, Нова Зеландія, Об'єднані Арабські Емірати, Перу, Польща, Португалія, Словенія, Туреччина, Швейцарія, Швеція, Японія
Taxomedac Німеччина
Vitax Бразилія, Перу, Туреччина
Сумісність   ін'єкція   Сумісність : Paclitaxel              
explication_incompatibilite_molecules
З'єднання Розчинник Список літератури
сумісний
ін'єкція Paclitaxel 1.2 mg/ml
ін'єкція Aciclovir sodium 7 mg/ml
Глюкоза 5% 248
сумісний
ін'єкція Paclitaxel 1.2 mg/ml
ін'єкція Amikacin sulfate 5 mg/ml
Глюкоза 5% 248
сумісний
ін'єкція Paclitaxel 1.2 mg/ml
ін'єкція Aminophylline 2.5 mg/ml
Глюкоза 5% 248
Негайне помутніння Несумісні
ін'єкція Paclitaxel 1.2 mg/ml
ін'єкція Amphotericin B 0.6 mg/ml
Глюкоза 5% 248
Втрата каламутності Несумісні
ін'єкція Paclitaxel 0.6 mg/ml
ін'єкція Amphotericin B cholesteryl sulfate complex 0.83 mg/ml
Глюкоза 5% 921
сумісний
ін'єкція Paclitaxel 1.2 mg/ml
ін'єкція Ampicillin sodium - sulbactam sodium 20/10 mg/ml
Глюкоза 5% 248
сумісний
ін'єкція Paclitaxel 0.6 mg/ml
ін'єкція Anidulafungin 0.5 mg/ml
Глюкоза 5% 1982
сумісний
ін'єкція Paclitaxel 1.2 mg/ml
ін'єкція Bleomycin sulfate 1 mg/ml
Глюкоза 5% 248
сумісний
ін'єкція Paclitaxel 1.2 mg/ml
ін'єкція Butorphanol tartrate 0.04 mg/ml
Глюкоза 5% 248
сумісний
ін'єкція Paclitaxel 1.2 mg/ml
ін'єкція Calcium chloride 20 mg/ml
Глюкоза 5% 248
сумісний
ін'єкція Paclitaxel 1.2 mg/ml
ін'єкція Carboplatin 5 mg/ml
Глюкоза 5% 85
сумісний
ін'єкція Paclitaxel 0,3 & 1,2 mg/ml
ін'єкція Carboplatin 2 mg/ml
Натрію хлорид 0,9% 872
сумісний
ін'єкція Paclitaxel 0,3 & 1,2 mg/ml
ін'єкція Carboplatin 2 mg/ml
Глюкоза 5% 872
сумісний
ін'єкція Paclitaxel 1.2 mg/ml
ін'єкція Ceforanide 20 mg/ml
Глюкоза 5% 248
сумісний
ін'єкція Paclitaxel 1.2 mg/ml
ін'єкція Ceftazidime 40 mg/ml
Глюкоза 5% 248
сумісний
ін'єкція Paclitaxel 1.2 mg/ml
ін'єкція Ceftriaxone disodium 20 mg/ml
Глюкоза 5% 248
Втрата каламутності Несумісні
ін'єкція Paclitaxel 1.2 mg/ml
ін'єкція Chlorpromazine hydrochloride 2 mg/ml
Глюкоза 5% 248
сумісний
ін'єкція Paclitaxel
Глюкоза 5% 1956
сумісний
ін'єкція Paclitaxel 0,3 & 1,2 mg/ml
ін'єкція Cisplatin 0,2 mg/ml
Натрію хлорид 0,9% 872
сумісний
ін'єкція Paclitaxel 1.2 mg/ml
Парентеральне харчування (ліпідами) 1415
сумісний
ін'єкція Paclitaxel 1.2 mg/ml
Парентеральне харчування (бінарна суміш) 301
сумісний
ін'єкція Paclitaxel 1.2 mg/ml
ін'єкція Cimetidine hydrochloride 12 mg/ml
Глюкоза 5% 85
сумісний
ін'єкція Paclitaxel 1.2 mg/ml
ін'єкція Cisplatin 1 mg/ml
Глюкоза 5% 85
Хімічна нестійкість Несумісні
ін'єкція Paclitaxel
ін'єкція Cisplatin
3578
сумісний
ін'єкція Paclitaxel 0.6 mg/ml
ін'єкція Cladribine 0.5 mg/ml
NaCl 0,9% + антибактеріальний 1496
сумісний
ін'єкція Paclitaxel 0.6 mg/ml
ін'єкція Cladribine 0.015 mg/ml
Натрію хлорид 0,9% 1496
сумісний
ін'єкція Paclitaxel 1.2 mg/ml
ін'єкція Cyclophosphamide 10 mg/ml
Глюкоза 5% 85
сумісний
ін'єкція Paclitaxel 1.2 mg/ml
ін'єкція Cytarabine 50 mg/ml
Глюкоза 5% 85
сумісний
ін'єкція Paclitaxel 1.2 mg/ml
ін'єкція Dacarbazine 4 mg/ml
Глюкоза 5% 248
сумісний
ін'єкція Paclitaxel 1.2 mg/ml
ін'єкція Dexamethasone sodium phosphate 1 mg/ml
Глюкоза 5% 85
сумісний
ін'єкція Paclitaxel 1.2 mg/ml
ін'єкція Diphenhydramine hydrochloride 2 mg/ml
Глюкоза 5% 85
сумісний
ін'єкція Paclitaxel 0,6 mg/ml
ін'єкція Doripenem 5 mg/ml
Натрію хлорид 0,9% 2262
сумісний
ін'єкція Paclitaxel 0,6 mg/ml
ін'єкція Doripenem 5 mg/ml
Глюкоза 5% 2262
сумісний
ін'єкція Paclitaxel 0,3 & 1,2 mg/ml
ін'єкція Doxorubicin hydrochloride 0,2 mg/ml
Глюкоза 5% 1286
сумісний
ін'єкція Paclitaxel 1.2 mg/ml
ін'єкція Doxorubicin hydrochloride 2 mg/ml
Глюкоза 5% 85
сумісний
ін'єкція Paclitaxel 0,3 & 1,2 mg/ml
ін'єкція Doxorubicin hydrochloride 0,2 mg/ml
Натрію хлорид 0,9% 1286
Втрата каламутності Несумісні
ін'єкція Paclitaxel 0.6 mg/ml
ін'єкція Doxorubicin hydrochloride liposome peg 0.4 mg/ml
Глюкоза 5% 251
сумісний
ін'єкція Paclitaxel
Натрію хлорид 0,9% 1956
сумісний
ін'єкція Paclitaxel 1.2 mg/ml
ін'єкція Droperidol 0.4 mg/ml
Глюкоза 5% 248
сумісний
ін'єкція Paclitaxel 1.2 mg/ml
ін'єкція Etoposide 0.4 mg/ml
Глюкоза 5% 85
сумісний
ін'єкція Paclitaxel 1.2 mg/ml
ін'єкція Etoposide phosphate 5 mg/ml
Глюкоза 5% 1410
сумісний
ін'єкція Paclitaxel 1.2 mg/ml
ін'єкція Famotidine 2 mg/ml
Глюкоза 5% 248
сумісний
ін'єкція Paclitaxel 1.2 mg/ml
ін'єкція Floxuridine 3 mg/ml
Глюкоза 5% 248
сумісний
ін'єкція Paclitaxel 0,3 & 1,2 mg/ml
ін'єкція Fluconazole 2 mg/ml
Глюкоза 5% 151
сумісний
ін'єкція Paclitaxel 1.2 mg/ml
ін'єкція Fluconazole 2 mg/ml
Глюкоза 5% 248
сумісний
ін'єкція Paclitaxel 1.2 mg/ml
ін'єкція Fluorouracil 16 mg/ml
Глюкоза 5% 85
сумісний
ін'єкція Paclitaxel 1.2 mg/ml
ін'єкція Furosemide 3 mg/ml
Глюкоза 5% 248
сумісний
ін'єкція Paclitaxel 1.2 mg/ml
ін'єкція Ganciclovir sodium 20 mg/ml
Глюкоза 5% 248
сумісний
ін'єкція Paclitaxel 1.2 mg/ml
ін'єкція Gemcitabine hydrochloride 10 mg/ml
Натрію хлорид 0,9% 1423
сумісний
ін'єкція Paclitaxel 1.2 mg/ml
ін'єкція Gentamicin sulfate 5 mg/ml
Глюкоза 5% 248
сумісний
ін'єкція Paclitaxel 1.2 mg/ml
ін'єкція Granisetron hydrochloride 0.05 mg/ml
Глюкоза 5% 182
сумісний
ін'єкція Paclitaxel 0.29 mg/ml
ін'єкція Granisetron hydrochloride 1 mg/ml
Натрію хлорид 0,9% 57
сумісний
ін'єкція Paclitaxel 1.2 mg/ml
ін'єкція Haloperidol lactate 0.2 mg/ml
Глюкоза 5% 85
сумісний
ін'єкція Paclitaxel 1.2 mg/ml
ін'єкція Heparin sodium 100 UI/ml
Глюкоза 5% 248
сумісний
ін'єкція Paclitaxel 1.2 mg/ml
ін'єкція Hydrocortisone sodium succinate 1 mg/ml
Глюкоза 5% 248
сумісний
ін'єкція Paclitaxel 1.2 mg/ml
ін'єкція Hydromorphone hydrochloride 0.5 mg/ml
Глюкоза 5% 248
Втрата каламутності Несумісні
ін'єкція Paclitaxel 1.2 mg/ml
ін'єкція Hydroxyzine dihydrochloride 4 mg/ml
Глюкоза 5% 248
сумісний
ін'єкція Paclitaxel 1.2 mg/ml
ін'єкція Ifosfamide 25 mg/ml
Глюкоза 5% 248
сумісний
ін'єкція Paclitaxel 0.6 mg/ml
ін'єкція Lansoprazole 0.55 mg/ml
Натрію хлорид 0,9% 1625
сумісний
ін'єкція Paclitaxel 0.6 mg/ml
ін'єкція Linezolid 2 mg/ml
Жодного 1925
сумісний
ін'єкція Paclitaxel 1.2 mg/ml
ін'єкція Lorazepam 0.1 mg/ml
Глюкоза 5% 85
сумісний
ін'єкція Paclitaxel 1.2 mg/ml
ін'єкція Magnesium sulfate 100 mg/ml
Глюкоза 5% 248
сумісний
ін'єкція Paclitaxel 1.2 mg/ml
ін'єкція Mannitol 150 mg/ml
Глюкоза 5% 248
сумісний
ін'єкція Paclitaxel 1.2 mg/ml
ін'єкція Mesna 10 mg/ml
Глюкоза 5% 248
сумісний
ін'єкція Paclitaxel 1.2 mg/ml
ін'єкція Methotrexate sodium 15 mg/ml
Глюкоза 5% 85
Втрата каламутності Несумісні
ін'єкція Paclitaxel 1.2 mg/ml
ін'єкція Methylprednisolone sodium succinate 5 mg/ml
Глюкоза 5% 248
сумісний
ін'єкція Paclitaxel 1.2 mg/ml
ін'єкція Metoclopramide hydrochloride 5 mg/ml
Глюкоза 5% 85
Втрата каламутності Несумісні
ін'єкція Paclitaxel 1.2 mg/ml
ін'єкція Mitoxantrone dihydrochloride 0.5 mg/ml
Глюкоза 5% 248
сумісний
ін'єкція Paclitaxel 1.2 mg/ml
ін'єкція Morphine sulfate 1 mg/ml
Глюкоза 5% 248
сумісний
ін'єкція Paclitaxel 1.2 mg/ml
ін'єкція Nalbuphine hydrochloride 10 mg/ml
Глюкоза 5% 248
сумісний
ін'єкція Paclitaxel 0.3 & 1.2 mg/ml
ін'єкція Ondansetron hydrochloride 0.03 & 0.3 mg/ml
Глюкоза 5% 47
сумісний
ін'єкція Paclitaxel 1.2 mg/ml
ін'єкція Ondansetron hydrochloride 0.5 mg/ml
Глюкоза 5% 248
сумісний
ін'єкція Paclitaxel 0,6 mg/ml
ін'єкція Oxaliplatin 0,5 mg/ml
Глюкоза 5% 1662
сумісний
ін'єкція Paclitaxel 1,2 mg/ml
ін'єкція Palonosetron hydrochloride 50 µg/ml
Глюкоза 5% 1940
сумісний
ін'єкція Paclitaxel 0.6 mg/ml
ін'єкція Pemetrexed disodium 20 mg/ml
Натрію хлорид 0,9% 1953
сумісний
ін'єкція Paclitaxel 1.2 mg/ml
ін'єкція Pentostatin 0.4 mg/ml
Глюкоза 5% 248
сумісний
ін'єкція Paclitaxel 1.2 mg/ml
ін'єкція Pethidine hydrochloride 4 mg/ml
Глюкоза 5% 248
сумісний
ін'єкція Paclitaxel 1.2 mg/ml
ін'єкція Potassium chloride 100 mEq/l
Глюкоза 5% 248
сумісний
ін'єкція Paclitaxel 1.2 mg/ml
ін'єкція Prochlorperazine edysilate 0.5 mg/ml
Глюкоза 5% 85
сумісний
ін'єкція Paclitaxel 1.2 mg/ml
ін'єкція Propofol 10 mg/ml
Жодного 300
сумісний
ін'єкція Paclitaxel 0.3 & 1.2 mg/ml
ін'єкція Ranitidine hydrochloride 0.5 & 2 mg/ml
Глюкоза 5% 47
сумісний
ін'єкція Paclitaxel 1.2 mg/ml
ін'єкція Ranitidine hydrochloride 2 mg/ml
Глюкоза 5% 85
сумісний
ін'єкція Paclitaxel 1.2 mg/ml
ін'єкція Sodium bicarbonate 84 mg/ml
Глюкоза 5% 248
сумісний
ін'єкція Paclitaxel 0.6 mg/ml
ін'єкція Thiotepa 1 mg/ml
Глюкоза 5% 249
сумісний
ін'єкція Paclitaxel 0.54 mg/ml
ін'єкція Topotecan 0.056 mg/ml
Натрію хлорид 0,9% 1026
сумісний
ін'єкція Paclitaxel 0.54 mg/ml
ін'єкція Topotecan 0.056 mg/ml
Глюкоза 5% 1026
сумісний
ін'єкція Paclitaxel 1.2 mg/ml
ін'єкція Vancomycin hydrochloride 10 mg/ml
Глюкоза 5% 85
сумісний
ін'єкція Paclitaxel 1.2 mg/ml
ін'єкція Vinblastine sulfate 0.12 mg/ml
Глюкоза 5% 248
сумісний
ін'єкція Paclitaxel 1.2 mg/ml
ін'єкція Vincristine sulfate 0.05 mg/ml
Глюкоза 5% 248
сумісний
ін'єкція Paclitaxel 1.2 mg/ml
ін'єкція Zidovudine 4 mg/ml
Глюкоза 5% 248

  Mentions Légales