Son güncelleme :
27/01/2026
Immünosupresan   Ciclosporin  
Enjeksiyon
Göz damlası Merhem Oral solüsyon / oral çözelti
Çözeltilerin stabilitesi Karışımlardaki stabilitesi Stabiliteyi etkileyen faktörler Uyumluluk Uygulama yöntemi Kaynaklar pdf
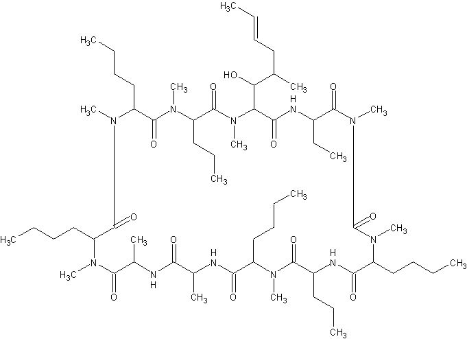
   Kimyasal yapı   

Ticari isim   Ticari isim     

Trade names are indicative and excipients composition can be different depending on the country and manufacturers

Cyclosporine Amerika Birleşik Devletleri, Kanada
Graftin Hindistan
Sandimmum Almanya, Arjantin, Avustralya, Avusturya, Belçika, Birleşik Arap Emirlikleri, Büyük Britanya, Danimarka, Fas, Finlandiya, İran, İrlanda, İspanya, İsveç, İsviçre, İtalya, İzlanda, Kolombiya, Lüksemburg, Macaristan, Malezya, Meksika, Norveç, Peru, Polonya, Portekiz, Şili, Suudi Arabistan, Tunus, Türkiye, yeni Zelanda, Yunanistan
Uyumluluk   Enjeksiyon    Uyumluluk : Ciclosporin              
Bu ekran, bu durumda uyumsuzluk tipiyle (çökelme, renk değişimi, bir emülsiyonun modifikasyonu, vb.) Uyumlulukları veya uyumsuzlukları gösterir. Burada gösterilen uyumluluklar çoğunlukla yalnızca fizikseldir ve her molekülün kimyasal stabilitesi nadiren değerlendirilir. Bu karışımların değerlendirilmesi, hastaya Y bölgesi uygulama olasılığını göz önünde bulundurmak için çalışıldı. Bu veriler önceden torba veya şırıngalarda karışım yapmak için kullanılamaz. Bu tür bilgiler "Karışımda stabilite" ekranında mevcuttur.
Bileşik Çözücü Kaynaklar
Uyumlu
Enjeksiyon Ciclosporin 2.5 mg/ml
Parenteral beslenme (ikili karışım) 3948
Uyumlu
Enjeksiyon Ciclosporin 5 mg/ml
Enjeksiyon Ceftaroline fosamil 2,22 mg/ml
Sodyum klorür % 0,9 3249
Uyumlu
Enjeksiyon Ciclosporin 5 mg/ml
Enjeksiyon Ceftobiprole medocaril sodium 2 mg/ml
Sodyum klorür % 0,9 2269
Uyumlu
Enjeksiyon Ciclosporin 5 mg/ml
Enjeksiyon Doripenem 5 mg/ml
Sodyum klorür % 0,9 2262
Uyumlu
Enjeksiyon Ciclosporin 1 mg/ml
Enjeksiyon Insulin aspart 1 UI/ml
Sodyum klorür % 0,9 1508
Uyumlu
Enjeksiyon Ciclosporin 2 mg/ml
Enjeksiyon Magnesium sulfate 30 mg/ml
Glukoz %5 291
Acil yağış uyumsuz
Enjeksiyon Ciclosporin 5 mg/ml
Parenteral beslenme (Lipidler) 1415
Uyumlu
Enjeksiyon Ciclosporin 5 mg/ml
Enjeksiyon Anidulafungin 0.5 mg/ml
Glukoz %5 1982
Anında bulanıklık uyumsuz
Enjeksiyon Ciclosporin 50 mg/ml
Enjeksiyon Ketamine hydrochloride 50 mg/ml
2109
Acil yağış uyumsuz
Enjeksiyon Ciclosporin 50 mg/ml
Laktatlı ringer 4603
Bulanıklık kaybı uyumsuz
Enjeksiyon Ciclosporin 5 mg/ml
Enjeksiyon Amphotericin B cholesteryl sulfate complex 0.83 mg/ml
Glukoz %5 921
Uyumlu
Enjeksiyon Ciclosporin 5 mg/ml
Enjeksiyon Ceftaroline fosamil 2,22 mg/ml
Glukoz %5 3249
Uyumlu
Enjeksiyon Ciclosporin 5 mg/ml
Enjeksiyon Ceftobiprole medocaril sodium 2 mg/ml
Laktatlı ringer 2269
Anında bulanıklık uyumsuz
Enjeksiyon Ciclosporin 5 mg/ml
Enjeksiyon Ceftolozane / tazobactam 10/5 mg/ml
Sodyum klorür % 0,9 3828
Anında bulanıklık uyumsuz
Enjeksiyon Ciclosporin 5 mg/ml
Enjeksiyon Ceftolozane / tazobactam 10/5 mg/ml
Glukoz %5 3828
Uyumlu
Enjeksiyon Ciclosporin 5 mg/ml
Enjeksiyon Doripenem 5 mg/ml
Glukoz %5 2262
Uyumlu
Enjeksiyon Ciclosporin 1 mg/ml
Enjeksiyon Insulin aspart 1 UI/ml
Glukoz %5 1508
Anında bulanıklık uyumsuz
Enjeksiyon Ciclosporin 5 mg/ml
Enjeksiyon Isavuconazonium sulfate 1.5 mg/ml
Glukoz %5 3829
Anında bulanıklık uyumsuz
Enjeksiyon Ciclosporin 5 mg/ml
Enjeksiyon Isavuconazonium sulfate 1.5 mg/ml
Sodyum klorür % 0,9 3829
Uyumlu
Enjeksiyon Ciclosporin 2,5 mg/ml
Parenteral beslenme (Lipidler) 2730
Anında bulanıklık uyumsuz
Enjeksiyon Ciclosporin 50 mg/ml
Enjeksiyon Amoxicillin sodium / clavulanic acid 100/10 mg/ml
3824
Uyumlu
Enjeksiyon Ciclosporin 1.2 mg/ml
Enjeksiyon Cefmetazole sodium 100 mg/ml
Enjeksiyonluk su 93
Uyumlu
Enjeksiyon Ciclosporin 5 mg/ml
Enjeksiyon Ceftaroline fosamil 2,22 mg/ml
Laktatlı ringer 3249
Uyumlu
Enjeksiyon Ciclosporin 5 mg/ml
Enjeksiyon Cloxacillin sodium 100 mg/ml
Enjeksiyonluk su 3012
Uyumlu
Enjeksiyon Ciclosporin
Enjeksiyon Dimenhydrinate
2087
Uyumlu
Enjeksiyon Ciclosporin 50 mg/ml
Enjeksiyon Ketamine hydrochloride 50 mg/ml
4389
Uyumlu
Enjeksiyon Ciclosporin 5 mg/ml
Enjeksiyon Linezolid 2 mg/ml
Yok 1925
Uyumlu
Enjeksiyon Ciclosporin
Parenteral beslenme (ikili karışım) 3985
4 saat sonra yağış uyumsuz
Enjeksiyon Ciclosporin 5 mg/ml
Parenteral beslenme (ikili karışım) 301
Uyumlu
Enjeksiyon Ciclosporin 2.5 mg/ml
Parenteral beslenme (Lipidler) 3948
Acil yağış uyumsuz
Enjeksiyon Ciclosporin 1 mg/ml
Enjeksiyon Aciclovir sodium 5 mg/ml
Sodyum klorür % 0,9 2335
4 saat içinde bulanıklık uyumsuz
Enjeksiyon Ciclosporin 10 mg/ml
Enjeksiyon Atenolol 0,1 mg/ml
Sodyum klorür % 0,9 4698
Uyumlu
Enjeksiyon Ciclosporin 5 mg/ml
Enjeksiyon Caspofungin acetate 0,7 mg/ml
Sodyum klorür % 0,9 2247
Uyumlu
Enjeksiyon Ciclosporin 0,5 mg/ml
Enjeksiyon Ciprofloxacin lactate 2 mg/ml
Sodyum klorür % 0,9 289
Uyumlu
Enjeksiyon Ciclosporin 0,5 mg/ml
Parenteral beslenme (Lipidler) 2730
Uyumlu
Enjeksiyon Ciclosporin 1 mg/ml
Parenteral beslenme (Lipidler) 2730
Uyumlu
Enjeksiyon Ciclosporin 5 mg/ml
Enjeksiyon Ceftobiprole medocaril sodium 2 mg/ml
Glukoz %5 2269
Uyumlu
Enjeksiyon Ciclosporin 1.27 mg/ml
Enjeksiyon Defibrotide 8 mg/ml
Sodyum klorür % 0,9 3728
Uyumlu
Enjeksiyon Ciclosporin 5 mg/ml
Enjeksiyon Lansoprazole 0.55 mg/ml
Sodyum klorür % 0,9 1625
Uyumlu
Enjeksiyon Ciclosporin 1 mg/ml
Enjeksiyon Meropenem 10 mg/ml
Glukoz %5 2335
Anında bulanıklık uyumsuz
Enjeksiyon Ciclosporin 5 mg/ml
Enjeksiyon Telavancin hydrochloride 7.5 mg/ml
Laktatlı ringer 3254
Uyumlu
Enjeksiyon Ciclosporin
Glukoz %5 3229
Uyumlu
Enjeksiyon Ciclosporin 5 mg/ml
Enjeksiyon Meropenem 50 mg/ml
Enjeksiyonluk su 4319
Gaz kabarcığı üretimi uyumsuz
Enjeksiyon Ciclosporin 1 mg/ml
Enjeksiyon Mycophenolate mofetil 5,9 mg/ml
Glukoz %5 2192
Uyumlu
Enjeksiyon Ciclosporin 5 mg/ml
Enjeksiyon Telavancin hydrochloride 7.5 mg/ml
Glukoz %5 3254
Uyumlu
Enjeksiyon Ciclosporin
Sodyum klorür % 0,9 3229
Uyumlu
Enjeksiyon Ciclosporin 5 mg/ml
Enjeksiyon Micafungin 1.5 mg/ml
Sodyum klorür % 0,9 2108
Belirtilmemiş uyumsuzluk uyumsuz
Enjeksiyon Ciclosporin 50 mg/ml
Enjeksiyon N-acetylcysteine 200 mg/ml
Yok 3766
Acil yağış uyumsuz
Enjeksiyon Ciclosporin 50 mg/ml
Enjeksiyon Naloxone hydrochloride 0.4 mg/ml
Yok 3408
Acil yağış uyumsuz
Enjeksiyon Ciclosporin
Enjeksiyon Pantoprazole sodium
2090
Uyumlu
Enjeksiyon Ciclosporin 5 mg/ml
Enjeksiyon Propofol 10 mg/ml
Yok 300
Acil yağış uyumsuz
Enjeksiyon Ciclosporin 50 mg/ml
Enjeksiyon Salbutamol sulfate 1 mg/ml
Yok 3216
Uyumlu
Enjeksiyon Ciclosporin 5 mg/ml
Enjeksiyon Sargramostim 6 §15 µg/ml
Sodyum klorür % 0,9 891
Anında bulanıklık uyumsuz
Enjeksiyon Ciclosporin 5 mg/ml
Enjeksiyon Tedizolid phosphate 0.8 mg/ml
Sodyum klorür % 0,9 3827
Anında bulanıklık uyumsuz
Enjeksiyon Ciclosporin 5 mg/ml
Enjeksiyon Telavancin hydrochloride 7,5 mg/ml
Sodyum klorür % 0,9 3254
Acil yağış uyumsuz
Enjeksiyon Ciclosporin 50 mg/ml
Enjeksiyon Thiopental sodium 25 mg/ml
Sodyum klorür % 0,9 3767

  Mentions Légales