Viimeisin päivitys :
27/01/2026
Immunosupressiiviset lääkkeet   Ciclosporin  
Injektioneste
Oraaliliuos Salvat Silmätipat
Stabilius liuoksessa Stabilius seoksissa Tekijät, jotka vaikuttavat stabiliuteen Yhteensopivuus Antotapa Viitteet pdf
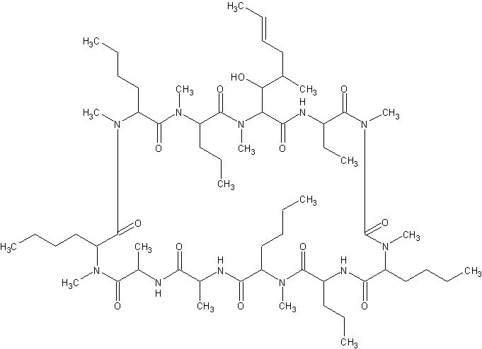
   Kemiallinen rakenne  

Kauppanimi   Kauppanimi     

Trade names are indicative and excipients composition can be different depending on the country and manufacturers

Cyclosporine Kanada, Yhdysvallat
Graftin Intia
Sandimmum Argentiina, Australia, Belgia, Chile, Espanja, Iran, Irlanti, Islanti, Iso-Britannia, Italia, Itävalta, Kolumbia, Kreikka, Luxemburg, Malesia, Marokko, Marokko, Meksiko, New Zealand, Norja, Portugali, Puola, Ruotsi, Saksa, Saudi-Arabia, Suomi, Sveitsi, Tanska, Tunisia, Turkki, Unkari, Yhdistyneet arabiemiirikunnat
Yhteensopivuus   Injektioneste   Yhteensopivuus : Ciclosporin              
Tämä näyttö osoittaa yhteensopivuuden tai yhteensopimattomuuden yhteensopimattomuuden tyypin kanssa (saostuminen, värinmuutos, emulsiomuutos jne.). Tässä esitetty yhteensopivuus on useimmissa tapauksissa vain fysikaalinen, ja kunkin molekyylin kemiallista stabiilisuutta arvioidaan harvoin. Näiden seosten arviointia tutkittiin mahdollisuuden antaa Y-kohta potilaalle. Näitä tietoja ei voida käyttää seosten valmistamiseen etukäteen pusseissa tai ruiskuissa. Tämäntyyppiset tiedot ovat saatavilla "Stabiilisuus seoksessa" -näytössä.
Yhdiste Liuotin Viitteet
Yhteensopiva
Injektioneste Ciclosporin 2.5 mg/ml
Parenteraalisesti (rasva-free) 3948
Yhteensopiva
Injektioneste Ciclosporin 5 mg/ml
Injektioneste Ceftaroline fosamil 2,22 mg/ml
Natriumkloridi 0,9% 3249
Yhteensopiva
Injektioneste Ciclosporin 5 mg/ml
Injektioneste Ceftobiprole medocaril sodium 2 mg/ml
Natriumkloridi 0,9% 2269
Yhteensopiva
Injektioneste Ciclosporin 5 mg/ml
Injektioneste Doripenem 5 mg/ml
Natriumkloridi 0,9% 2262
Yhteensopiva
Injektioneste Ciclosporin 1 mg/ml
Injektioneste Insulin aspart 1 UI/ml
Natriumkloridi 0,9% 1508
Yhteensopiva
Injektioneste Ciclosporin 2 mg/ml
Injektioneste Magnesium sulfate 30 mg/ml
Glukoosi 5% 291
Välittömät sateet yhteensopimaton
Injektioneste Ciclosporin 5 mg/ml
Parenteraalinen (lipidien) 1415
Yhteensopiva
Injektioneste Ciclosporin 5 mg/ml
Injektioneste Anidulafungin 0.5 mg/ml
Glukoosi 5% 1982
Välitön sameus yhteensopimaton
Injektioneste Ciclosporin 50 mg/ml
Injektioneste Ketamine hydrochloride 50 mg/ml
2109
Välittömät sateet yhteensopimaton
Injektioneste Ciclosporin 50 mg/ml
Ringerlaktaattiliuos 4603
Sameuden menetys yhteensopimaton
Injektioneste Ciclosporin 5 mg/ml
Injektioneste Amphotericin B cholesteryl sulfate complex 0.83 mg/ml
Glukoosi 5% 921
Yhteensopiva
Injektioneste Ciclosporin 5 mg/ml
Injektioneste Ceftaroline fosamil 2,22 mg/ml
Glukoosi 5% 3249
Yhteensopiva
Injektioneste Ciclosporin 5 mg/ml
Injektioneste Ceftobiprole medocaril sodium 2 mg/ml
Ringerlaktaattiliuos 2269
Välitön sameus yhteensopimaton
Injektioneste Ciclosporin 5 mg/ml
Injektioneste Ceftolozane / tazobactam 10/5 mg/ml
Natriumkloridi 0,9% 3828
Välitön sameus yhteensopimaton
Injektioneste Ciclosporin 5 mg/ml
Injektioneste Ceftolozane / tazobactam 10/5 mg/ml
Glukoosi 5% 3828
Yhteensopiva
Injektioneste Ciclosporin 5 mg/ml
Injektioneste Doripenem 5 mg/ml
Glukoosi 5% 2262
Yhteensopiva
Injektioneste Ciclosporin 1 mg/ml
Injektioneste Insulin aspart 1 UI/ml
Glukoosi 5% 1508
Välitön sameus yhteensopimaton
Injektioneste Ciclosporin 5 mg/ml
Injektioneste Isavuconazonium sulfate 1.5 mg/ml
Glukoosi 5% 3829
Välitön sameus yhteensopimaton
Injektioneste Ciclosporin 5 mg/ml
Injektioneste Isavuconazonium sulfate 1.5 mg/ml
Natriumkloridi 0,9% 3829
Yhteensopiva
Injektioneste Ciclosporin 2,5 mg/ml
Parenteraalinen (lipidien) 2730
Välitön sameus yhteensopimaton
Injektioneste Ciclosporin 50 mg/ml
Injektioneste Amoxicillin sodium / clavulanic acid 100/10 mg/ml
3824
Yhteensopiva
Injektioneste Ciclosporin 1.2 mg/ml
Injektioneste Cefmetazole sodium 100 mg/ml
Injektionesteisiin käytettävä vesi 93
Yhteensopiva
Injektioneste Ciclosporin 5 mg/ml
Injektioneste Ceftaroline fosamil 2,22 mg/ml
Ringerlaktaattiliuos 3249
Yhteensopiva
Injektioneste Ciclosporin 5 mg/ml
Injektioneste Cloxacillin sodium 100 mg/ml
Injektionesteisiin käytettävä vesi 3012
Yhteensopiva
Injektioneste Ciclosporin
Injektioneste Dimenhydrinate
2087
Yhteensopiva
Injektioneste Ciclosporin 50 mg/ml
Injektioneste Ketamine hydrochloride 50 mg/ml
4389
Yhteensopiva
Injektioneste Ciclosporin 5 mg/ml
Injektioneste Linezolid 2 mg/ml
Ei mikään 1925
Yhteensopiva
Injektioneste Ciclosporin
Parenteraalisesti (rasva-free) 3985
Sade 4 tunnin kuluttua yhteensopimaton
Injektioneste Ciclosporin 5 mg/ml
Parenteraalisesti (rasva-free) 301
Yhteensopiva
Injektioneste Ciclosporin 2.5 mg/ml
Parenteraalinen (lipidien) 3948
Välittömät sateet yhteensopimaton
Injektioneste Ciclosporin 1 mg/ml
Injektioneste Aciclovir sodium 5 mg/ml
Natriumkloridi 0,9% 2335
Sameus 4 tunnissa yhteensopimaton
Injektioneste Ciclosporin 10 mg/ml
Injektioneste Atenolol 0,1 mg/ml
Natriumkloridi 0,9% 4698
Yhteensopiva
Injektioneste Ciclosporin 5 mg/ml
Injektioneste Caspofungin acetate 0,7 mg/ml
Natriumkloridi 0,9% 2247
Yhteensopiva
Injektioneste Ciclosporin 0,5 mg/ml
Injektioneste Ciprofloxacin lactate 2 mg/ml
Natriumkloridi 0,9% 289
Yhteensopiva
Injektioneste Ciclosporin 0,5 mg/ml
Parenteraalinen (lipidien) 2730
Yhteensopiva
Injektioneste Ciclosporin 1 mg/ml
Parenteraalinen (lipidien) 2730
Yhteensopiva
Injektioneste Ciclosporin 5 mg/ml
Injektioneste Ceftobiprole medocaril sodium 2 mg/ml
Glukoosi 5% 2269
Yhteensopiva
Injektioneste Ciclosporin 1.27 mg/ml
Injektioneste Defibrotide 8 mg/ml
Natriumkloridi 0,9% 3728
Yhteensopiva
Injektioneste Ciclosporin 5 mg/ml
Injektioneste Lansoprazole 0.55 mg/ml
Natriumkloridi 0,9% 1625
Yhteensopiva
Injektioneste Ciclosporin 1 mg/ml
Injektioneste Meropenem 10 mg/ml
Glukoosi 5% 2335
Välitön sameus yhteensopimaton
Injektioneste Ciclosporin 5 mg/ml
Injektioneste Telavancin hydrochloride 7.5 mg/ml
Ringerlaktaattiliuos 3254
Yhteensopiva
Injektioneste Ciclosporin
Glukoosi 5% 3229
Yhteensopiva
Injektioneste Ciclosporin 5 mg/ml
Injektioneste Meropenem 50 mg/ml
Injektionesteisiin käytettävä vesi 4319
Kaasukuplien tuotanto yhteensopimaton
Injektioneste Ciclosporin 1 mg/ml
Injektioneste Mycophenolate mofetil 5,9 mg/ml
Glukoosi 5% 2192
Yhteensopiva
Injektioneste Ciclosporin 5 mg/ml
Injektioneste Telavancin hydrochloride 7.5 mg/ml
Glukoosi 5% 3254
Yhteensopiva
Injektioneste Ciclosporin
Natriumkloridi 0,9% 3229
Yhteensopiva
Injektioneste Ciclosporin 5 mg/ml
Injektioneste Micafungin 1.5 mg/ml
Natriumkloridi 0,9% 2108
Määrittelemätön yhteensopimattomuus yhteensopimaton
Injektioneste Ciclosporin 50 mg/ml
Injektioneste N-acetylcysteine 200 mg/ml
Ei mikään 3766
Välittömät sateet yhteensopimaton
Injektioneste Ciclosporin 50 mg/ml
Injektioneste Naloxone hydrochloride 0.4 mg/ml
Ei mikään 3408
Välittömät sateet yhteensopimaton
Injektioneste Ciclosporin
Injektioneste Pantoprazole sodium
2090
Yhteensopiva
Injektioneste Ciclosporin 5 mg/ml
Injektioneste Propofol 10 mg/ml
Ei mikään 300
Välittömät sateet yhteensopimaton
Injektioneste Ciclosporin 50 mg/ml
Injektioneste Salbutamol sulfate 1 mg/ml
Ei mikään 3216
Yhteensopiva
Injektioneste Ciclosporin 5 mg/ml
Injektioneste Sargramostim 6 §15 µg/ml
Natriumkloridi 0,9% 891
Välitön sameus yhteensopimaton
Injektioneste Ciclosporin 5 mg/ml
Injektioneste Tedizolid phosphate 0.8 mg/ml
Natriumkloridi 0,9% 3827
Välitön sameus yhteensopimaton
Injektioneste Ciclosporin 5 mg/ml
Injektioneste Telavancin hydrochloride 7,5 mg/ml
Natriumkloridi 0,9% 3254
Välittömät sateet yhteensopimaton
Injektioneste Ciclosporin 50 mg/ml
Injektioneste Thiopental sodium 25 mg/ml
Natriumkloridi 0,9% 3767

  Mentions Légales