Ostatnia aktualizacja :
27/01/2026
Lek immunosupresyjny   Ciclosporin  
Injekcje
Krople oczne Maści Roztwór doustny
Trwałość roztworów Trwałość w mieszaninie Czynnik wpływający na trwałość Zgodność Sposób podania Bibliografia pdf
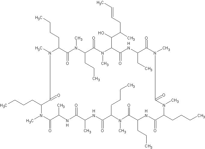
   Struktura chemiczna  

Nazwa handlowa   Nazwa handlowa     

Trade names are indicative and excipients composition can be different depending on the country and manufacturers

Cyclosporine Kanada, Stany Zjednoczone Ameryki
Graftin Indie
Sandimmum Arabia Saudyjska, Argentyna, Australia, Austria, Belgia, Chile, Dania, Finlandia, Grecja, Hiszpania, Iran, Irlandia, Islandia, KolumbiaKolumbia, Luksemburg, Malezja, Maroko, Meksyk, Niemcy, Norwegia, nowa Zelandia, Peru, Polska, Portugalia, Szwajcaria, Szwecja, Tunisie, Turcja, Węgry, Wielka Brytania, Włochy, Zjednoczone Emiraty Arabskie
Zgodność   Injekcje   Zgodność : Ciclosporin              
Ekran ten wskazuje na kompatybilności lub niezgodności z, w tym przypadku, rodzajem niezgodności (strącanie, zmiana koloru, modyfikacja emulsji, itp.). Przedstawione tutaj kompatybilności są głównie fizyczne, a stabilność chemiczna każdej cząsteczki jest rzadko oceniana. Ocenę tych mieszanin badano w celu rozważenia możliwości podania pacjentowi w miejscu Y. Dane te nie mogą być wykorzystywane do sporządzania mieszanin z wyprzedzeniem w workach lub strzykawkach. Tego typu informacje są dostępne na ekranie „Stabilność w mieszaninie”.
Związek Rozpuszczalnik Bibliografia
Zgodny
Injekcje Ciclosporin 2.5 mg/ml
Odżywianie pozajelitowe (mieszanina binarny) 3948
Zgodny
Injekcje Ciclosporin 5 mg/ml
Injekcje Ceftaroline fosamil 2,22 mg/ml
Chlorek sodu 0,9% 3249
Zgodny
Injekcje Ciclosporin 5 mg/ml
Injekcje Ceftobiprole medocaril sodium 2 mg/ml
Chlorek sodu 0,9% 2269
Zgodny
Injekcje Ciclosporin 5 mg/ml
Injekcje Doripenem 5 mg/ml
Chlorek sodu 0,9% 2262
Zgodny
Injekcje Ciclosporin 1 mg/ml
Injekcje Insulin aspart 1 UI/ml
Chlorek sodu 0,9% 1508
Zgodny
Injekcje Ciclosporin 2 mg/ml
Injekcje Magnesium sulfate 30 mg/ml
Glukoza 5% 291
Natychmiastowe opady Niekompatybilny
Injekcje Ciclosporin 5 mg/ml
Żywienie pozajelitowe (lipidami) 1415
Zgodny
Injekcje Ciclosporin 5 mg/ml
Injekcje Anidulafungin 0.5 mg/ml
Glukoza 5% 1982
Natychmiastowe zmętnienie Niekompatybilny
Injekcje Ciclosporin 50 mg/ml
Injekcje Ketamine hydrochloride 50 mg/ml
2109
Natychmiastowe opady Niekompatybilny
Injekcje Ciclosporin 50 mg/ml
Roztwór Ringera z mleczanem sodowym 4603
Utrata zmętnienia Niekompatybilny
Injekcje Ciclosporin 5 mg/ml
Injekcje Amphotericin B cholesteryl sulfate complex 0.83 mg/ml
Glukoza 5% 921
Zgodny
Injekcje Ciclosporin 5 mg/ml
Injekcje Ceftaroline fosamil 2,22 mg/ml
Glukoza 5% 3249
Zgodny
Injekcje Ciclosporin 5 mg/ml
Injekcje Ceftobiprole medocaril sodium 2 mg/ml
Roztwór Ringera z mleczanem sodowym 2269
Natychmiastowe zmętnienie Niekompatybilny
Injekcje Ciclosporin 5 mg/ml
Injekcje Ceftolozane / tazobactam 10/5 mg/ml
Chlorek sodu 0,9% 3828
Natychmiastowe zmętnienie Niekompatybilny
Injekcje Ciclosporin 5 mg/ml
Injekcje Ceftolozane / tazobactam 10/5 mg/ml
Glukoza 5% 3828
Zgodny
Injekcje Ciclosporin 5 mg/ml
Injekcje Doripenem 5 mg/ml
Glukoza 5% 2262
Zgodny
Injekcje Ciclosporin 1 mg/ml
Injekcje Insulin aspart 1 UI/ml
Glukoza 5% 1508
Natychmiastowe zmętnienie Niekompatybilny
Injekcje Ciclosporin 5 mg/ml
Injekcje Isavuconazonium sulfate 1.5 mg/ml
Glukoza 5% 3829
Natychmiastowe zmętnienie Niekompatybilny
Injekcje Ciclosporin 5 mg/ml
Injekcje Isavuconazonium sulfate 1.5 mg/ml
Chlorek sodu 0,9% 3829
Zgodny
Injekcje Ciclosporin 2,5 mg/ml
Żywienie pozajelitowe (lipidami) 2730
Natychmiastowe zmętnienie Niekompatybilny
Injekcje Ciclosporin 50 mg/ml
Injekcje Amoxicillin sodium / clavulanic acid 100/10 mg/ml
3824
Zgodny
Injekcje Ciclosporin 1.2 mg/ml
Injekcje Cefmetazole sodium 100 mg/ml
Woda do wstrzyknięć 93
Zgodny
Injekcje Ciclosporin 5 mg/ml
Injekcje Ceftaroline fosamil 2,22 mg/ml
Roztwór Ringera z mleczanem sodowym 3249
Zgodny
Injekcje Ciclosporin 5 mg/ml
Injekcje Cloxacillin sodium 100 mg/ml
Woda do wstrzyknięć 3012
Zgodny
Injekcje Ciclosporin
Injekcje Dimenhydrinate
2087
Zgodny
Injekcje Ciclosporin 50 mg/ml
Injekcje Ketamine hydrochloride 50 mg/ml
4389
Zgodny
Injekcje Ciclosporin 5 mg/ml
Injekcje Linezolid 2 mg/ml
Żaden 1925
Zgodny
Injekcje Ciclosporin
Odżywianie pozajelitowe (mieszanina binarny) 3985
Opady po 4 godzinach Niekompatybilny
Injekcje Ciclosporin 5 mg/ml
Odżywianie pozajelitowe (mieszanina binarny) 301
Zgodny
Injekcje Ciclosporin 2.5 mg/ml
Żywienie pozajelitowe (lipidami) 3948
Natychmiastowe opady Niekompatybilny
Injekcje Ciclosporin 1 mg/ml
Injekcje Aciclovir sodium 5 mg/ml
Chlorek sodu 0,9% 2335
Zmętnienie w 4 godziny Niekompatybilny
Injekcje Ciclosporin 10 mg/ml
Injekcje Atenolol 0,1 mg/ml
Chlorek sodu 0,9% 4698
Zgodny
Injekcje Ciclosporin 5 mg/ml
Injekcje Caspofungin acetate 0,7 mg/ml
Chlorek sodu 0,9% 2247
Zgodny
Injekcje Ciclosporin 0,5 mg/ml
Injekcje Ciprofloxacin lactate 2 mg/ml
Chlorek sodu 0,9% 289
Zgodny
Injekcje Ciclosporin 0,5 mg/ml
Żywienie pozajelitowe (lipidami) 2730
Zgodny
Injekcje Ciclosporin 1 mg/ml
Żywienie pozajelitowe (lipidami) 2730
Zgodny
Injekcje Ciclosporin 5 mg/ml
Injekcje Ceftobiprole medocaril sodium 2 mg/ml
Glukoza 5% 2269
Zgodny
Injekcje Ciclosporin 1.27 mg/ml
Injekcje Defibrotide 8 mg/ml
Chlorek sodu 0,9% 3728
Zgodny
Injekcje Ciclosporin 5 mg/ml
Injekcje Lansoprazole 0.55 mg/ml
Chlorek sodu 0,9% 1625
Zgodny
Injekcje Ciclosporin 1 mg/ml
Injekcje Meropenem 10 mg/ml
Glukoza 5% 2335
Natychmiastowe zmętnienie Niekompatybilny
Injekcje Ciclosporin 5 mg/ml
Injekcje Telavancin hydrochloride 7.5 mg/ml
Roztwór Ringera z mleczanem sodowym 3254
Zgodny
Injekcje Ciclosporin
Glukoza 5% 3229
Zgodny
Injekcje Ciclosporin 5 mg/ml
Injekcje Meropenem 50 mg/ml
Woda do wstrzyknięć 4319
Produkcja pęcherzyków gazu Niekompatybilny
Injekcje Ciclosporin 1 mg/ml
Injekcje Mycophenolate mofetil 5,9 mg/ml
Glukoza 5% 2192
Zgodny
Injekcje Ciclosporin 5 mg/ml
Injekcje Telavancin hydrochloride 7.5 mg/ml
Glukoza 5% 3254
Zgodny
Injekcje Ciclosporin
Chlorek sodu 0,9% 3229
Zgodny
Injekcje Ciclosporin 5 mg/ml
Injekcje Micafungin 1.5 mg/ml
Chlorek sodu 0,9% 2108
Nieokreślona niezgodność Niekompatybilny
Injekcje Ciclosporin 50 mg/ml
Injekcje N-acetylcysteine 200 mg/ml
Żaden 3766
Natychmiastowe opady Niekompatybilny
Injekcje Ciclosporin 50 mg/ml
Injekcje Naloxone hydrochloride 0.4 mg/ml
Żaden 3408
Natychmiastowe opady Niekompatybilny
Injekcje Ciclosporin
Injekcje Pantoprazole sodium
2090
Zgodny
Injekcje Ciclosporin 5 mg/ml
Injekcje Propofol 10 mg/ml
Żaden 300
Natychmiastowe opady Niekompatybilny
Injekcje Ciclosporin 50 mg/ml
Injekcje Salbutamol sulfate 1 mg/ml
Żaden 3216
Zgodny
Injekcje Ciclosporin 5 mg/ml
Injekcje Sargramostim 6 §15 µg/ml
Chlorek sodu 0,9% 891
Natychmiastowe zmętnienie Niekompatybilny
Injekcje Ciclosporin 5 mg/ml
Injekcje Tedizolid phosphate 0.8 mg/ml
Chlorek sodu 0,9% 3827
Natychmiastowe zmętnienie Niekompatybilny
Injekcje Ciclosporin 5 mg/ml
Injekcje Telavancin hydrochloride 7,5 mg/ml
Chlorek sodu 0,9% 3254
Natychmiastowe opady Niekompatybilny
Injekcje Ciclosporin 50 mg/ml
Injekcje Thiopental sodium 25 mg/ml
Chlorek sodu 0,9% 3767

  Mentions Légales