Última actualização :
17/12/2025
Inmunosupressor   Ciclosporin  
injetável
Pomadas solução oftálmica Solução Oral
Estabilidade em soluções simples Estabilidade em misturas Factores que afectam a sua estabilidade Compatibilidade Método de administração Bibliografía pdf
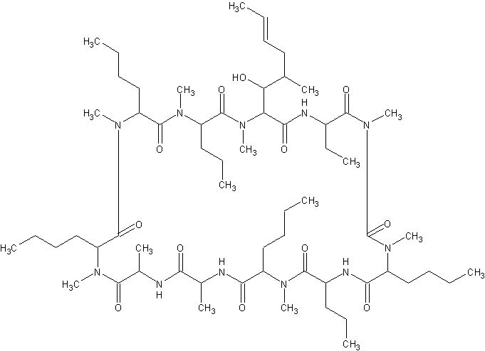
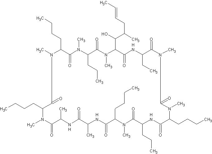
   estrutura química  

Nomes comerciais nos diversos países   Nomes comerciais nos diversos países     

OS NOMES COMERCIAIS SÃO INDICATIVOS E OS EXCIPIENTES DA FORMULAÇÃO PODEM SER DIFERENTES CONFORME O PAÍS E FABRICANTE.

Cyclosporine Canadá, Estados Unidos de América
Graftin Índia
Sandimmum Alemanha, Arábia Saudita, Argentina, Australia, Austria, Bélgica, Chilli, Colômbia, Dinamarca, Emirados Árabes Unidos, Espanha, Finlandia, Gran-bretanha, Grècia, Hungria, Irã, Irlanda, Islandia, Itália, Luxemburgo, Malásia, Marrocos, México, Noruega, nova Zelândia, Peru, Polonia, Portugal, Suècia, Suicia, Tunísia, Turquia

Factores que afectam a sua estabilidade   injetável   Factores que afectam a sua estabilidade : Ciclosporin        

  Mentions Légales