Última actualização :
27/01/2026
Inmunosupressor   Ciclosporin  
injetável
Pomadas solução oftálmica Solução Oral
Estabilidade em soluções simples Estabilidade em misturas Factores que afectam a sua estabilidade Compatibilidade Método de administração Bibliografía pdf
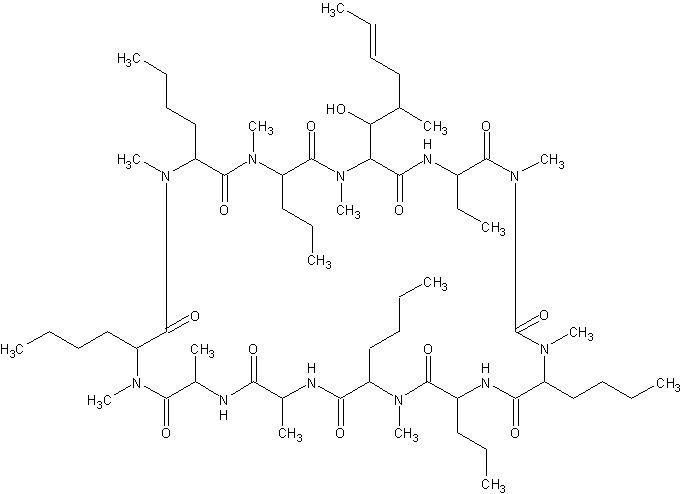
   estrutura química  

Nomes comerciais nos diversos países   Nomes comerciais nos diversos países     

OS NOMES COMERCIAIS SÃO INDICATIVOS E OS EXCIPIENTES DA FORMULAÇÃO PODEM SER DIFERENTES CONFORME O PAÍS E FABRICANTE.

Cyclosporine Canadá, Estados Unidos de América
Graftin Índia
Sandimmum Alemanha, Arábia Saudita, Argentina, Australia, Austria, Bélgica, Chilli, Colômbia, Dinamarca, Emirados Árabes Unidos, Espanha, Finlandia, Gran-bretanha, Grècia, Hungria, Irã, Irlanda, Islandia, Itália, Luxemburgo, Malásia, Marrocos, México, Noruega, nova Zelândia, Peru, Polonia, Portugal, Suècia, Suicia, Tunísia, Turquia
Compatibilidade   injetável   Compatibilidade : Ciclosporin              
Este ecrã indica as compatibilidades ou incompatibilidades com, neste caso, o tipo de incompatibilidade (precipitação, mudança de cor, modificação de uma emulsão, etc.). As compatibilidades mostradas aqui são principalmente físicas, com a estabilidade química de cada molécula raramente sendo avaliada. A avaliação dessas misturas foi estudada para considerar a possibilidade de administração do local Y ao paciente. Estes dados não podem ser usados para fazer misturas antecipadamente em sacos ou seringas. Este tipo de informação está disponível na tela “Estabilidade na mistura».
molécula Solvente Bibliografia
Compatível
injetável Ciclosporin 2.5 mg/ml
Nutrição parenterica (mistura binária) 3948
Compatível
injetável Ciclosporin 5 mg/ml
injetável Ceftaroline fosamil 2,22 mg/ml
cloreto de sódio 0,9% 3249
Compatível
injetável Ciclosporin 5 mg/ml
injetável Ceftobiprole medocaril sodium 2 mg/ml
cloreto de sódio 0,9% 2269
Compatível
injetável Ciclosporin 5 mg/ml
injetável Doripenem 5 mg/ml
cloreto de sódio 0,9% 2262
Compatível
injetável Ciclosporin 1 mg/ml
injetável Insulin aspart 1 UI/ml
cloreto de sódio 0,9% 1508
Compatível
injetável Ciclosporin 2 mg/ml
injetável Magnesium sulfate 30 mg/ml
Glucose 5% 291
Precipitação imediata Incompatível
injetável Ciclosporin 5 mg/ml
Nutrição parenteral (com lípidos) 1415
Compatível
injetável Ciclosporin 5 mg/ml
injetável Anidulafungin 0.5 mg/ml
Glucose 5% 1982
Turvação imediata Incompatível
injetável Ciclosporin 50 mg/ml
injetável Ketamine hydrochloride 50 mg/ml
2109
Precipitação imediata Incompatível
injetável Ciclosporin 50 mg/ml
Ringer lactato 4603
Perda de turbidez Incompatível
injetável Ciclosporin 5 mg/ml
injetável Amphotericin B cholesteryl sulfate complex 0.83 mg/ml
Glucose 5% 921
Compatível
injetável Ciclosporin 5 mg/ml
injetável Ceftaroline fosamil 2,22 mg/ml
Glucose 5% 3249
Compatível
injetável Ciclosporin 5 mg/ml
injetável Ceftobiprole medocaril sodium 2 mg/ml
Ringer lactato 2269
Turvação imediata Incompatível
injetável Ciclosporin 5 mg/ml
injetável Ceftolozane / tazobactam 10/5 mg/ml
cloreto de sódio 0,9% 3828
Turvação imediata Incompatível
injetável Ciclosporin 5 mg/ml
injetável Ceftolozane / tazobactam 10/5 mg/ml
Glucose 5% 3828
Compatível
injetável Ciclosporin 5 mg/ml
injetável Doripenem 5 mg/ml
Glucose 5% 2262
Compatível
injetável Ciclosporin 1 mg/ml
injetável Insulin aspart 1 UI/ml
Glucose 5% 1508
Turvação imediata Incompatível
injetável Ciclosporin 5 mg/ml
injetável Isavuconazonium sulfate 1.5 mg/ml
Glucose 5% 3829
Turvação imediata Incompatível
injetável Ciclosporin 5 mg/ml
injetável Isavuconazonium sulfate 1.5 mg/ml
cloreto de sódio 0,9% 3829
Compatível
injetável Ciclosporin 2,5 mg/ml
Nutrição parenteral (com lípidos) 2730
Turvação imediata Incompatível
injetável Ciclosporin 50 mg/ml
injetável Amoxicillin sodium / clavulanic acid 100/10 mg/ml
3824
Compatível
injetável Ciclosporin 1.2 mg/ml
injetável Cefmetazole sodium 100 mg/ml
Agua para injectaveis 93
Compatível
injetável Ciclosporin 5 mg/ml
injetável Ceftaroline fosamil 2,22 mg/ml
Ringer lactato 3249
Compatível
injetável Ciclosporin 5 mg/ml
injetável Cloxacillin sodium 100 mg/ml
Agua para injectaveis 3012
Compatível
injetável Ciclosporin
injetável Dimenhydrinate
2087
Compatível
injetável Ciclosporin 50 mg/ml
injetável Ketamine hydrochloride 50 mg/ml
4389
Compatível
injetável Ciclosporin 5 mg/ml
injetável Linezolid 2 mg/ml
nenhum 1925
Compatível
injetável Ciclosporin
Nutrição parenterica (mistura binária) 3985
Precipitação após 4 horas Incompatível
injetável Ciclosporin 5 mg/ml
Nutrição parenterica (mistura binária) 301
Compatível
injetável Ciclosporin 2.5 mg/ml
Nutrição parenteral (com lípidos) 3948
Precipitação imediata Incompatível
injetável Ciclosporin 1 mg/ml
injetável Aciclovir sodium 5 mg/ml
cloreto de sódio 0,9% 2335
Turbidez em 4 horas Incompatível
injetável Ciclosporin 10 mg/ml
injetável Atenolol 0,1 mg/ml
cloreto de sódio 0,9% 4698
Compatível
injetável Ciclosporin 5 mg/ml
injetável Caspofungin acetate 0,7 mg/ml
cloreto de sódio 0,9% 2247
Compatível
injetável Ciclosporin 0,5 mg/ml
injetável Ciprofloxacin lactate 2 mg/ml
cloreto de sódio 0,9% 289
Compatível
injetável Ciclosporin 0,5 mg/ml
Nutrição parenteral (com lípidos) 2730
Compatível
injetável Ciclosporin 1 mg/ml
Nutrição parenteral (com lípidos) 2730
Compatível
injetável Ciclosporin 5 mg/ml
injetável Ceftobiprole medocaril sodium 2 mg/ml
Glucose 5% 2269
Compatível
injetável Ciclosporin 1.27 mg/ml
injetável Defibrotide 8 mg/ml
cloreto de sódio 0,9% 3728
Compatível
injetável Ciclosporin 5 mg/ml
injetável Lansoprazole 0.55 mg/ml
cloreto de sódio 0,9% 1625
Compatível
injetável Ciclosporin 1 mg/ml
injetável Meropenem 10 mg/ml
Glucose 5% 2335
Turvação imediata Incompatível
injetável Ciclosporin 5 mg/ml
injetável Telavancin hydrochloride 7.5 mg/ml
Ringer lactato 3254
Compatível
injetável Ciclosporin
Glucose 5% 3229
Compatível
injetável Ciclosporin 5 mg/ml
injetável Meropenem 50 mg/ml
Agua para injectaveis 4319
Produção de bolhas de gás Incompatível
injetável Ciclosporin 1 mg/ml
injetável Mycophenolate mofetil 5,9 mg/ml
Glucose 5% 2192
Compatível
injetável Ciclosporin 5 mg/ml
injetável Telavancin hydrochloride 7.5 mg/ml
Glucose 5% 3254
Compatível
injetável Ciclosporin
cloreto de sódio 0,9% 3229
Compatível
injetável Ciclosporin 5 mg/ml
injetável Micafungin 1.5 mg/ml
cloreto de sódio 0,9% 2108
Incompatibilidade não especificada Incompatível
injetável Ciclosporin 50 mg/ml
injetável N-acetylcysteine 200 mg/ml
nenhum 3766
Precipitação imediata Incompatível
injetável Ciclosporin 50 mg/ml
injetável Naloxone hydrochloride 0.4 mg/ml
nenhum 3408
Precipitação imediata Incompatível
injetável Ciclosporin
injetável Pantoprazole sodium
2090
Compatível
injetável Ciclosporin 5 mg/ml
injetável Propofol 10 mg/ml
nenhum 300
Precipitação imediata Incompatível
injetável Ciclosporin 50 mg/ml
injetável Salbutamol sulfate 1 mg/ml
nenhum 3216
Compatível
injetável Ciclosporin 5 mg/ml
injetável Sargramostim 6 §15 µg/ml
cloreto de sódio 0,9% 891
Turvação imediata Incompatível
injetável Ciclosporin 5 mg/ml
injetável Tedizolid phosphate 0.8 mg/ml
cloreto de sódio 0,9% 3827
Turvação imediata Incompatível
injetável Ciclosporin 5 mg/ml
injetável Telavancin hydrochloride 7,5 mg/ml
cloreto de sódio 0,9% 3254
Precipitação imediata Incompatível
injetável Ciclosporin 50 mg/ml
injetável Thiopental sodium 25 mg/ml
cloreto de sódio 0,9% 3767

  Mentions Légales