zadnja posodobitev :
27/01/2026
Zdravilo za zaviranje imunske odzivnosti   Ciclosporin  
Brizgalka
Kapljice za oči Mazila Peroralna raztopina
Stabilnost raztopine Stabilnost mešanice Faktorji, ki vplivajo na stabilnost Kompatibilnost način aplikacije Viri pdf
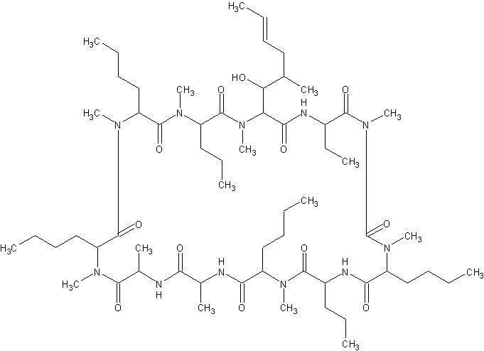
   Kemična formula  

Lastniško ime   Lastniško ime     

Sestava pomožnih snovi je med paralelami lahko različna

Cyclosporine Kanada, Združene države Amerike
Graftin Indija
Sandimmum Argentina, Avstralija, Avstrija, Belgija, Čile, Danska, Finska, Grčija, Iran, Irska, Islandija, Italija, Kolumbija, Luksemburg, Madžarska, Malezija, Maroko, Mehika, Nemčija, Norveška, nova Zelandija, Peru, Poljska, Portugalska, Savdska Arabija, Španija, Švedska, Švica, Tunizija, Turčija, Velika Britanija, Združeni arabski emirati
Kompatibilnost   Brizgalka   Kompatibilnost : Ciclosporin              
Ta zaslon prikazuje združljivost ali nezdružljivost s, v tem primeru, vrsto nezdružljivosti (padavine, sprememba barve, sprememba emulzije itd.). Tu prikazane združljivosti so večinoma samo fizične, pri čemer se kemijska stabilnost vsake molekule redko ocenjuje. Vrednotenje teh zmesi so preučevali, da bi preučili možnost pacientovega dajanja na mestu Y. Teh podatkov ni mogoče uporabiti za pripravo mešanic v vrečkah ali brizgah. Ta vrsta informacij je na voljo na zaslonu "Obstojnost v mešanici".
Sestava Topilo Viri
Združljivo
Brizgalka Ciclosporin 2.5 mg/ml
Parenteralna prehrana (binarno zmes) 3948
Združljivo
Brizgalka Ciclosporin 5 mg/ml
Brizgalka Ceftaroline fosamil 2,22 mg/ml
Natrijev klorid 0,9% 3249
Združljivo
Brizgalka Ciclosporin 5 mg/ml
Brizgalka Ceftobiprole medocaril sodium 2 mg/ml
Natrijev klorid 0,9% 2269
Združljivo
Brizgalka Ciclosporin 5 mg/ml
Brizgalka Doripenem 5 mg/ml
Natrijev klorid 0,9% 2262
Združljivo
Brizgalka Ciclosporin 1 mg/ml
Brizgalka Insulin aspart 1 UI/ml
Natrijev klorid 0,9% 1508
Združljivo
Brizgalka Ciclosporin 2 mg/ml
Brizgalka Magnesium sulfate 30 mg/ml
Glukoza 5% 291
Takoj padavine Nezdružljivo
Brizgalka Ciclosporin 5 mg/ml
Parenteralna prehrana (z lipidi) 1415
Združljivo
Brizgalka Ciclosporin 5 mg/ml
Brizgalka Anidulafungin 0.5 mg/ml
Glukoza 5% 1982
Takojšnja motnost Nezdružljivo
Brizgalka Ciclosporin 50 mg/ml
Brizgalka Ketamine hydrochloride 50 mg/ml
2109
Takoj padavine Nezdružljivo
Brizgalka Ciclosporin 50 mg/ml
Ringerjev laktat 4603
Izguba motnosti Nezdružljivo
Brizgalka Ciclosporin 5 mg/ml
Brizgalka Amphotericin B cholesteryl sulfate complex 0.83 mg/ml
Glukoza 5% 921
Združljivo
Brizgalka Ciclosporin 5 mg/ml
Brizgalka Ceftaroline fosamil 2,22 mg/ml
Glukoza 5% 3249
Združljivo
Brizgalka Ciclosporin 5 mg/ml
Brizgalka Ceftobiprole medocaril sodium 2 mg/ml
Ringerjev laktat 2269
Takojšnja motnost Nezdružljivo
Brizgalka Ciclosporin 5 mg/ml
Brizgalka Ceftolozane / tazobactam 10/5 mg/ml
Natrijev klorid 0,9% 3828
Takojšnja motnost Nezdružljivo
Brizgalka Ciclosporin 5 mg/ml
Brizgalka Ceftolozane / tazobactam 10/5 mg/ml
Glukoza 5% 3828
Združljivo
Brizgalka Ciclosporin 5 mg/ml
Brizgalka Doripenem 5 mg/ml
Glukoza 5% 2262
Združljivo
Brizgalka Ciclosporin 1 mg/ml
Brizgalka Insulin aspart 1 UI/ml
Glukoza 5% 1508
Takojšnja motnost Nezdružljivo
Brizgalka Ciclosporin 5 mg/ml
Brizgalka Isavuconazonium sulfate 1.5 mg/ml
Glukoza 5% 3829
Takojšnja motnost Nezdružljivo
Brizgalka Ciclosporin 5 mg/ml
Brizgalka Isavuconazonium sulfate 1.5 mg/ml
Natrijev klorid 0,9% 3829
Združljivo
Brizgalka Ciclosporin 2,5 mg/ml
Parenteralna prehrana (z lipidi) 2730
Takojšnja motnost Nezdružljivo
Brizgalka Ciclosporin 50 mg/ml
Brizgalka Amoxicillin sodium / clavulanic acid 100/10 mg/ml
3824
Združljivo
Brizgalka Ciclosporin 1.2 mg/ml
Brizgalka Cefmetazole sodium 100 mg/ml
Voda za injekcije 93
Združljivo
Brizgalka Ciclosporin 5 mg/ml
Brizgalka Ceftaroline fosamil 2,22 mg/ml
Ringerjev laktat 3249
Združljivo
Brizgalka Ciclosporin 5 mg/ml
Brizgalka Cloxacillin sodium 100 mg/ml
Voda za injekcije 3012
Združljivo
Brizgalka Ciclosporin
Brizgalka Dimenhydrinate
2087
Združljivo
Brizgalka Ciclosporin 50 mg/ml
Brizgalka Ketamine hydrochloride 50 mg/ml
4389
Združljivo
Brizgalka Ciclosporin 5 mg/ml
Brizgalka Linezolid 2 mg/ml
Nobeden 1925
Združljivo
Brizgalka Ciclosporin
Parenteralna prehrana (binarno zmes) 3985
Padavine po 4 urah Nezdružljivo
Brizgalka Ciclosporin 5 mg/ml
Parenteralna prehrana (binarno zmes) 301
Združljivo
Brizgalka Ciclosporin 2.5 mg/ml
Parenteralna prehrana (z lipidi) 3948
Takoj padavine Nezdružljivo
Brizgalka Ciclosporin 1 mg/ml
Brizgalka Aciclovir sodium 5 mg/ml
Natrijev klorid 0,9% 2335
Motnost v 4 urah Nezdružljivo
Brizgalka Ciclosporin 10 mg/ml
Brizgalka Atenolol 0,1 mg/ml
Natrijev klorid 0,9% 4698
Združljivo
Brizgalka Ciclosporin 5 mg/ml
Brizgalka Caspofungin acetate 0,7 mg/ml
Natrijev klorid 0,9% 2247
Združljivo
Brizgalka Ciclosporin 0,5 mg/ml
Brizgalka Ciprofloxacin lactate 2 mg/ml
Natrijev klorid 0,9% 289
Združljivo
Brizgalka Ciclosporin 0,5 mg/ml
Parenteralna prehrana (z lipidi) 2730
Združljivo
Brizgalka Ciclosporin 1 mg/ml
Parenteralna prehrana (z lipidi) 2730
Združljivo
Brizgalka Ciclosporin 5 mg/ml
Brizgalka Ceftobiprole medocaril sodium 2 mg/ml
Glukoza 5% 2269
Združljivo
Brizgalka Ciclosporin 1.27 mg/ml
Brizgalka Defibrotide 8 mg/ml
Natrijev klorid 0,9% 3728
Združljivo
Brizgalka Ciclosporin 5 mg/ml
Brizgalka Lansoprazole 0.55 mg/ml
Natrijev klorid 0,9% 1625
Združljivo
Brizgalka Ciclosporin 1 mg/ml
Brizgalka Meropenem 10 mg/ml
Glukoza 5% 2335
Takojšnja motnost Nezdružljivo
Brizgalka Ciclosporin 5 mg/ml
Brizgalka Telavancin hydrochloride 7.5 mg/ml
Ringerjev laktat 3254
Združljivo
Brizgalka Ciclosporin
Glukoza 5% 3229
Združljivo
Brizgalka Ciclosporin 5 mg/ml
Brizgalka Meropenem 50 mg/ml
Voda za injekcije 4319
Proizvodnja plinskih mehurčkov Nezdružljivo
Brizgalka Ciclosporin 1 mg/ml
Brizgalka Mycophenolate mofetil 5,9 mg/ml
Glukoza 5% 2192
Združljivo
Brizgalka Ciclosporin 5 mg/ml
Brizgalka Telavancin hydrochloride 7.5 mg/ml
Glukoza 5% 3254
Združljivo
Brizgalka Ciclosporin
Natrijev klorid 0,9% 3229
Združljivo
Brizgalka Ciclosporin 5 mg/ml
Brizgalka Micafungin 1.5 mg/ml
Natrijev klorid 0,9% 2108
Nedoločena nezdružljivost Nezdružljivo
Brizgalka Ciclosporin 50 mg/ml
Brizgalka N-acetylcysteine 200 mg/ml
Nobeden 3766
Takoj padavine Nezdružljivo
Brizgalka Ciclosporin 50 mg/ml
Brizgalka Naloxone hydrochloride 0.4 mg/ml
Nobeden 3408
Takoj padavine Nezdružljivo
Brizgalka Ciclosporin
Brizgalka Pantoprazole sodium
2090
Združljivo
Brizgalka Ciclosporin 5 mg/ml
Brizgalka Propofol 10 mg/ml
Nobeden 300
Takoj padavine Nezdružljivo
Brizgalka Ciclosporin 50 mg/ml
Brizgalka Salbutamol sulfate 1 mg/ml
Nobeden 3216
Združljivo
Brizgalka Ciclosporin 5 mg/ml
Brizgalka Sargramostim 6 §15 µg/ml
Natrijev klorid 0,9% 891
Takojšnja motnost Nezdružljivo
Brizgalka Ciclosporin 5 mg/ml
Brizgalka Tedizolid phosphate 0.8 mg/ml
Natrijev klorid 0,9% 3827
Takojšnja motnost Nezdružljivo
Brizgalka Ciclosporin 5 mg/ml
Brizgalka Telavancin hydrochloride 7,5 mg/ml
Natrijev klorid 0,9% 3254
Takoj padavine Nezdružljivo
Brizgalka Ciclosporin 50 mg/ml
Brizgalka Thiopental sodium 25 mg/ml
Natrijev klorid 0,9% 3767

  Mentions Légales