Last update :
27/01/2026
Immunosuppressant   Ciclosporin  
injection
Eye-drops Ointments Oral solution
Stability in solutions Stability of mixtures Factors which affect stability Compatibility Route of administration References pdf
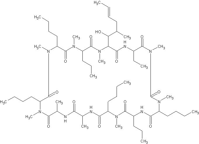
   Chemical structure  

Tradename   Tradename     

Trade names are indicative and excipients composition can be different depending on the country and manufacturers

Cyclosporine Canada, United States of America
Graftin India
Sandimmum Argentina, Australia, Austria, Belgium, Chile, Colombia, Denmark, Finland, Germany, Great Britain, Greece, Hungary, Iceland, Iran, Ireland, Italy, Luxembourg, Malaysia, Mexico, Morocco, New Zealand, Norway, Peru, Poland, Portugal, Saudi Arabia, Spain, Sweden, Switzerland, Tunisia, Turkey, United Arab Emirates
Compatibility   injection   Compatibility : Ciclosporin              
This screen indicates the compatibilities or incompatibilities with, in this case, the type of incompatibility (precipitation, color change, modification of an emulsion, etc.). The compatibilities shown here are mostly physical only, with the chemical stability of each molecule rarely being assessed. The evaluation of these mixtures was studied to consider the possibility of Y-site administration to the patient. These data cannot be used for making mixtures in advance in bags or syringes. This type of information is available in the screen "Stability in mixture ».
Compound Solvent References
Compatible
injection Ciclosporin 2.5 mg/ml
Parenteral nutrition (binary mixture) 3948
Compatible
injection Ciclosporin 5 mg/ml
injection Ceftaroline fosamil 2,22 mg/ml
Sodium chloride 0,9% 3249
Compatible
injection Ciclosporin 5 mg/ml
injection Ceftobiprole medocaril sodium 2 mg/ml
Sodium chloride 0,9% 2269
Compatible
injection Ciclosporin 5 mg/ml
injection Doripenem 5 mg/ml
Sodium chloride 0,9% 2262
Compatible
injection Ciclosporin 1 mg/ml
injection Insulin aspart 1 UI/ml
Sodium chloride 0,9% 1508
Compatible
injection Ciclosporin 2 mg/ml
injection Magnesium sulfate 30 mg/ml
Glucose 5% 291
Immediate precipitation Incompatible
injection Ciclosporin 5 mg/ml
Parenteral nutrition (with lipids) 1415
Compatible
injection Ciclosporin 5 mg/ml
injection Anidulafungin 0.5 mg/ml
Glucose 5% 1982
Immediate turbidity Incompatible
injection Ciclosporin 50 mg/ml
injection Ketamine hydrochloride 50 mg/ml
2109
Immediate precipitation Incompatible
injection Ciclosporin 50 mg/ml
Ringer’s lactate solution 4603
Loss of turbidity Incompatible
injection Ciclosporin 5 mg/ml
injection Amphotericin B cholesteryl sulfate complex 0.83 mg/ml
Glucose 5% 921
Compatible
injection Ciclosporin 5 mg/ml
injection Ceftaroline fosamil 2,22 mg/ml
Glucose 5% 3249
Compatible
injection Ciclosporin 5 mg/ml
injection Ceftobiprole medocaril sodium 2 mg/ml
Ringer’s lactate solution 2269
Immediate turbidity Incompatible
injection Ciclosporin 5 mg/ml
injection Ceftolozane / tazobactam 10/5 mg/ml
Sodium chloride 0,9% 3828
Immediate turbidity Incompatible
injection Ciclosporin 5 mg/ml
injection Ceftolozane / tazobactam 10/5 mg/ml
Glucose 5% 3828
Compatible
injection Ciclosporin 5 mg/ml
injection Doripenem 5 mg/ml
Glucose 5% 2262
Compatible
injection Ciclosporin 1 mg/ml
injection Insulin aspart 1 UI/ml
Glucose 5% 1508
Immediate turbidity Incompatible
injection Ciclosporin 5 mg/ml
injection Isavuconazonium sulfate 1.5 mg/ml
Glucose 5% 3829
Immediate turbidity Incompatible
injection Ciclosporin 5 mg/ml
injection Isavuconazonium sulfate 1.5 mg/ml
Sodium chloride 0,9% 3829
Compatible
injection Ciclosporin 2,5 mg/ml
Parenteral nutrition (with lipids) 2730
Immediate turbidity Incompatible
injection Ciclosporin 50 mg/ml
injection Amoxicillin sodium / clavulanic acid 100/10 mg/ml
3824
Compatible
injection Ciclosporin 1.2 mg/ml
injection Cefmetazole sodium 100 mg/ml
Water for Injection 93
Compatible
injection Ciclosporin 5 mg/ml
injection Ceftaroline fosamil 2,22 mg/ml
Ringer’s lactate solution 3249
Compatible
injection Ciclosporin 5 mg/ml
injection Cloxacillin sodium 100 mg/ml
Water for Injection 3012
Compatible
injection Ciclosporin
injection Dimenhydrinate
2087
Compatible
injection Ciclosporin 50 mg/ml
injection Ketamine hydrochloride 50 mg/ml
4389
Compatible
injection Ciclosporin 5 mg/ml
injection Linezolid 2 mg/ml
None 1925
Compatible
injection Ciclosporin
Parenteral nutrition (binary mixture) 3985
Precipitation after 4 hours Incompatible
injection Ciclosporin 5 mg/ml
Parenteral nutrition (binary mixture) 301
Compatible
injection Ciclosporin 2.5 mg/ml
Parenteral nutrition (with lipids) 3948
Immediate precipitation Incompatible
injection Ciclosporin 1 mg/ml
injection Aciclovir sodium 5 mg/ml
Sodium chloride 0,9% 2335
Turbidity in 4 hours Incompatible
injection Ciclosporin 10 mg/ml
injection Atenolol 0,1 mg/ml
Sodium chloride 0,9% 4698
Compatible
injection Ciclosporin 5 mg/ml
injection Caspofungin acetate 0,7 mg/ml
Sodium chloride 0,9% 2247
Compatible
injection Ciclosporin 0,5 mg/ml
injection Ciprofloxacin lactate 2 mg/ml
Sodium chloride 0,9% 289
Compatible
injection Ciclosporin 0,5 mg/ml
Parenteral nutrition (with lipids) 2730
Compatible
injection Ciclosporin 1 mg/ml
Parenteral nutrition (with lipids) 2730
Compatible
injection Ciclosporin 5 mg/ml
injection Ceftobiprole medocaril sodium 2 mg/ml
Glucose 5% 2269
Compatible
injection Ciclosporin 1.27 mg/ml
injection Defibrotide 8 mg/ml
Sodium chloride 0,9% 3728
Compatible
injection Ciclosporin 5 mg/ml
injection Lansoprazole 0.55 mg/ml
Sodium chloride 0,9% 1625
Compatible
injection Ciclosporin 1 mg/ml
injection Meropenem 10 mg/ml
Glucose 5% 2335
Immediate turbidity Incompatible
injection Ciclosporin 5 mg/ml
injection Telavancin hydrochloride 7.5 mg/ml
Ringer’s lactate solution 3254
Compatible
injection Ciclosporin
Glucose 5% 3229
Compatible
injection Ciclosporin 5 mg/ml
injection Meropenem 50 mg/ml
Water for Injection 4319
Production of gas bubbles Incompatible
injection Ciclosporin 1 mg/ml
injection Mycophenolate mofetil 5,9 mg/ml
Glucose 5% 2192
Compatible
injection Ciclosporin 5 mg/ml
injection Telavancin hydrochloride 7.5 mg/ml
Glucose 5% 3254
Compatible
injection Ciclosporin
Sodium chloride 0,9% 3229
Compatible
injection Ciclosporin 5 mg/ml
injection Micafungin 1.5 mg/ml
Sodium chloride 0,9% 2108
Unspecified incompatibility Incompatible
injection Ciclosporin 50 mg/ml
injection N-acetylcysteine 200 mg/ml
None 3766
Immediate precipitation Incompatible
injection Ciclosporin 50 mg/ml
injection Naloxone hydrochloride 0.4 mg/ml
None 3408
Immediate precipitation Incompatible
injection Ciclosporin
injection Pantoprazole sodium
2090
Compatible
injection Ciclosporin 5 mg/ml
injection Propofol 10 mg/ml
None 300
Immediate precipitation Incompatible
injection Ciclosporin 50 mg/ml
injection Salbutamol sulfate 1 mg/ml
None 3216
Compatible
injection Ciclosporin 5 mg/ml
injection Sargramostim 6 §15 µg/ml
Sodium chloride 0,9% 891
Immediate turbidity Incompatible
injection Ciclosporin 5 mg/ml
injection Tedizolid phosphate 0.8 mg/ml
Sodium chloride 0,9% 3827
Immediate turbidity Incompatible
injection Ciclosporin 5 mg/ml
injection Telavancin hydrochloride 7,5 mg/ml
Sodium chloride 0,9% 3254
Immediate precipitation Incompatible
injection Ciclosporin 50 mg/ml
injection Thiopental sodium 25 mg/ml
Sodium chloride 0,9% 3767

  Mentions Légales