Posledná aktualizácia :
16/12/2025
imunosupresívum   Ciclosporin  
Perorálny roztok
Dermálny prípravok Injekcia Očná instilácia
Stabilita farmaceutických prípravkov Stabilita v zmesiach Faktory ovplyvňujúce stabilitu Kompatibility Odkazy na literatúru PDF
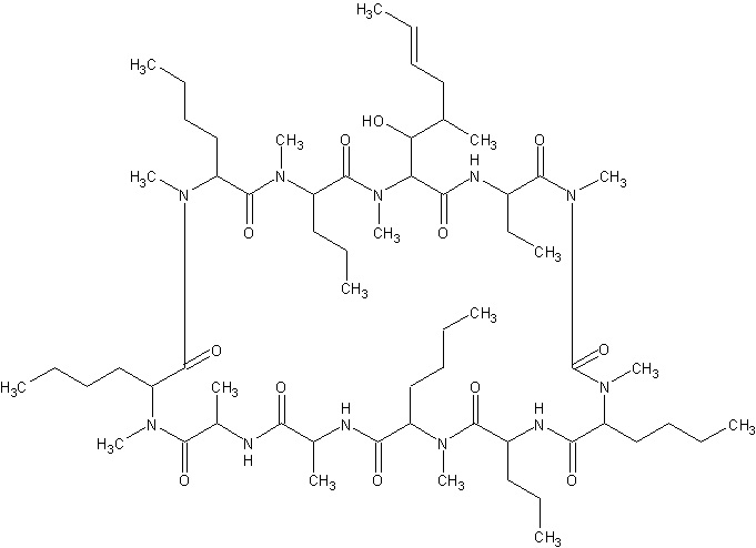
   Chemický vzorec  

Perorálny roztok
Stabilita farmaceutických prípravkov   Perorálny roztok   Stabilita farmaceutických prípravkov : Ciclosporin     
obal Pôvod Pomocná látka teplota uchovávanie Trvanie stability odkazy na lieteratúru
Sklo Prášok 2000 mg
® = ?
SyrSpend SF® >> 20 ml
25°C nešpecifikované
90 dní
4198

Sklo Prášok 2000 mg
® = ?
SyrSpend SF® >> 20 ml
4°C nešpecifikované
90 dní
4198

Injekčná striekačka polypropylén Injekčná liekovka 100 mg/ml
Sandimmune®
Žiadne
25°C Za svetla alebo chránené pred svetlom
28 dní
453


  Mentions Légales