Última actualización :
27/01/2026
Inmunosupresor   Ciclosporin  
Inyectables
Gotas oculares Preparaciones tópicas Solución Oral
Estabilidad en solucion Estabilidad en mezcla Factores que influyen sobre la estabilidad Compatibilidades método de inyección Bibliografía pdf
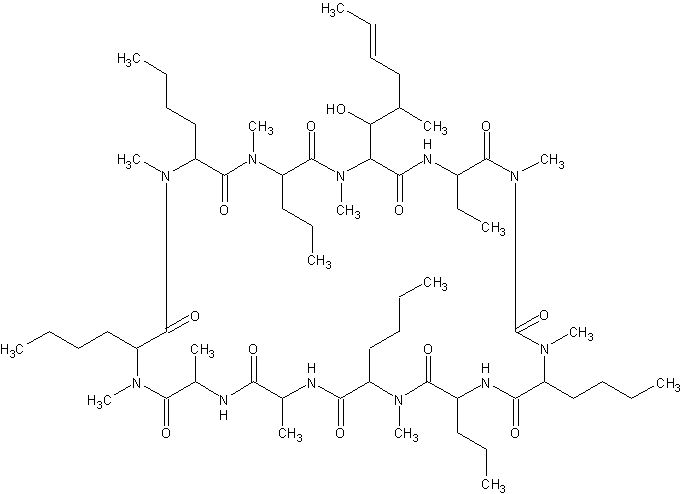
   Estructura química  

Nombre comercial   Nombre comercial     

Los nombres comerciales son orientativos y los excipientes de la formulación pueden ser distintos dependiendo del país y del laboratorio fabricante.

Cyclosporine Canadá, Estados Unidos de América
Graftin India
Sandimmum Alemania, Arabia Saudita, Argentina, Australia, Austria, Bélgica, Chile, Colombia, Dinamarca, Emiratos Árabes Unidos, España, Finlandia, Gran Bretaña, Grecia, Hungría, Irán, Irlanda, Islandia, Italia, Luxemburgo, Malasia, Marruecos, Marruecos, México, Noruega, Nueva Zelanda, Polonia, Portugal, Suecia, Suiza, Túnez, Turquía
Compatibilidades   Inyectables   Compatibilidades : Ciclosporin              
Esta pantalla muestra las compatibilidades o incompatibilidades, así como el tipo de incompatibilidad (precipitación, cambio de color, modificación de una emulsión, etc). Las compatibilidades que se recogen aquí son fundamentalmente físicas, mostrando raramente la estabilidad química de la molécula. La evaluación de estas mezclas se estudió con el fin de de comprobar la posibilidad de administración en Y al paciente. Estos datos no pueden utilizarse en el caso de la preparación de mezclas dentro de bolsas o jeringas. Este tipo de información está disponible en la pantalla “Estabilidad en mezcla”.
Molécula Solvente Bibliografía
Compatible
Inyectables Ciclosporin 2.5 mg/ml
Nutrición parenteral (libre de lípidos) 3948
Compatible
Inyectables Ciclosporin 5 mg/ml
Inyectables Ceftaroline fosamil 2,22 mg/ml
Cloruro de sodio 0,9% 3249
Compatible
Inyectables Ciclosporin 5 mg/ml
Inyectables Ceftobiprole medocaril sodium 2 mg/ml
Cloruro de sodio 0,9% 2269
Compatible
Inyectables Ciclosporin 5 mg/ml
Inyectables Doripenem 5 mg/ml
Cloruro de sodio 0,9% 2262
Compatible
Inyectables Ciclosporin 1 mg/ml
Inyectables Insulin aspart 1 UI/ml
Cloruro de sodio 0,9% 1508
Compatible
Inyectables Ciclosporin 2 mg/ml
Inyectables Magnesium sulfate 30 mg/ml
Glucosa 5% 291
Precipitación inmediata Incompatible
Inyectables Ciclosporin 5 mg/ml
Nutrición parenteral (con lípidos) 1415
Compatible
Inyectables Ciclosporin 5 mg/ml
Inyectables Anidulafungin 0.5 mg/ml
Glucosa 5% 1982
Turbidez inmediata Incompatible
Inyectables Ciclosporin 50 mg/ml
Inyectables Ketamine hydrochloride 50 mg/ml
2109
Precipitación inmediata Incompatible
Inyectables Ciclosporin 50 mg/ml
Ringer lactato 4603
Pérdida de turbidez Incompatible
Inyectables Ciclosporin 5 mg/ml
Inyectables Amphotericin B cholesteryl sulfate complex 0.83 mg/ml
Glucosa 5% 921
Compatible
Inyectables Ciclosporin 5 mg/ml
Inyectables Ceftaroline fosamil 2,22 mg/ml
Glucosa 5% 3249
Compatible
Inyectables Ciclosporin 5 mg/ml
Inyectables Ceftobiprole medocaril sodium 2 mg/ml
Ringer lactato 2269
Turbidez inmediata Incompatible
Inyectables Ciclosporin 5 mg/ml
Inyectables Ceftolozane / tazobactam 10/5 mg/ml
Cloruro de sodio 0,9% 3828
Turbidez inmediata Incompatible
Inyectables Ciclosporin 5 mg/ml
Inyectables Ceftolozane / tazobactam 10/5 mg/ml
Glucosa 5% 3828
Compatible
Inyectables Ciclosporin 5 mg/ml
Inyectables Doripenem 5 mg/ml
Glucosa 5% 2262
Compatible
Inyectables Ciclosporin 1 mg/ml
Inyectables Insulin aspart 1 UI/ml
Glucosa 5% 1508
Turbidez inmediata Incompatible
Inyectables Ciclosporin 5 mg/ml
Inyectables Isavuconazonium sulfate 1.5 mg/ml
Glucosa 5% 3829
Turbidez inmediata Incompatible
Inyectables Ciclosporin 5 mg/ml
Inyectables Isavuconazonium sulfate 1.5 mg/ml
Cloruro de sodio 0,9% 3829
Compatible
Inyectables Ciclosporin 2,5 mg/ml
Nutrición parenteral (con lípidos) 2730
Turbidez inmediata Incompatible
Inyectables Ciclosporin 50 mg/ml
Inyectables Amoxicillin sodium / clavulanic acid 100/10 mg/ml
3824
Compatible
Inyectables Ciclosporin 1.2 mg/ml
Inyectables Cefmetazole sodium 100 mg/ml
Agua para preparación inyectable 93
Compatible
Inyectables Ciclosporin 5 mg/ml
Inyectables Ceftaroline fosamil 2,22 mg/ml
Ringer lactato 3249
Compatible
Inyectables Ciclosporin 5 mg/ml
Inyectables Cloxacillin sodium 100 mg/ml
Agua para preparación inyectable 3012
Compatible
Inyectables Ciclosporin
Inyectables Dimenhydrinate
2087
Compatible
Inyectables Ciclosporin 50 mg/ml
Inyectables Ketamine hydrochloride 50 mg/ml
4389
Compatible
Inyectables Ciclosporin 5 mg/ml
Inyectables Linezolid 2 mg/ml
Ninguno 1925
Compatible
Inyectables Ciclosporin
Nutrición parenteral (libre de lípidos) 3985
Precipitación después de 4 horas. Incompatible
Inyectables Ciclosporin 5 mg/ml
Nutrición parenteral (libre de lípidos) 301
Compatible
Inyectables Ciclosporin 2.5 mg/ml
Nutrición parenteral (con lípidos) 3948
Precipitación inmediata Incompatible
Inyectables Ciclosporin 1 mg/ml
Inyectables Aciclovir sodium 5 mg/ml
Cloruro de sodio 0,9% 2335
Turbidez en 4 horas Incompatible
Inyectables Ciclosporin 10 mg/ml
Inyectables Atenolol 0,1 mg/ml
Cloruro de sodio 0,9% 4698
Compatible
Inyectables Ciclosporin 5 mg/ml
Inyectables Caspofungin acetate 0,7 mg/ml
Cloruro de sodio 0,9% 2247
Compatible
Inyectables Ciclosporin 0,5 mg/ml
Inyectables Ciprofloxacin lactate 2 mg/ml
Cloruro de sodio 0,9% 289
Compatible
Inyectables Ciclosporin 0,5 mg/ml
Nutrición parenteral (con lípidos) 2730
Compatible
Inyectables Ciclosporin 1 mg/ml
Nutrición parenteral (con lípidos) 2730
Compatible
Inyectables Ciclosporin 5 mg/ml
Inyectables Ceftobiprole medocaril sodium 2 mg/ml
Glucosa 5% 2269
Compatible
Inyectables Ciclosporin 1.27 mg/ml
Inyectables Defibrotide 8 mg/ml
Cloruro de sodio 0,9% 3728
Compatible
Inyectables Ciclosporin 5 mg/ml
Inyectables Lansoprazole 0.55 mg/ml
Cloruro de sodio 0,9% 1625
Compatible
Inyectables Ciclosporin 1 mg/ml
Inyectables Meropenem 10 mg/ml
Glucosa 5% 2335
Turbidez inmediata Incompatible
Inyectables Ciclosporin 5 mg/ml
Inyectables Telavancin hydrochloride 7.5 mg/ml
Ringer lactato 3254
Compatible
Inyectables Ciclosporin
Glucosa 5% 3229
Compatible
Inyectables Ciclosporin 5 mg/ml
Inyectables Meropenem 50 mg/ml
Agua para preparación inyectable 4319
Producción de burbujas de gas. Incompatible
Inyectables Ciclosporin 1 mg/ml
Inyectables Mycophenolate mofetil 5,9 mg/ml
Glucosa 5% 2192
Compatible
Inyectables Ciclosporin 5 mg/ml
Inyectables Telavancin hydrochloride 7.5 mg/ml
Glucosa 5% 3254
Compatible
Inyectables Ciclosporin
Cloruro de sodio 0,9% 3229
Compatible
Inyectables Ciclosporin 5 mg/ml
Inyectables Micafungin 1.5 mg/ml
Cloruro de sodio 0,9% 2108
Incompatibilidad no especificada Incompatible
Inyectables Ciclosporin 50 mg/ml
Inyectables N-acetylcysteine 200 mg/ml
Ninguno 3766
Precipitación inmediata Incompatible
Inyectables Ciclosporin 50 mg/ml
Inyectables Naloxone hydrochloride 0.4 mg/ml
Ninguno 3408
Precipitación inmediata Incompatible
Inyectables Ciclosporin
Inyectables Pantoprazole sodium
2090
Compatible
Inyectables Ciclosporin 5 mg/ml
Inyectables Propofol 10 mg/ml
Ninguno 300
Precipitación inmediata Incompatible
Inyectables Ciclosporin 50 mg/ml
Inyectables Salbutamol sulfate 1 mg/ml
Ninguno 3216
Compatible
Inyectables Ciclosporin 5 mg/ml
Inyectables Sargramostim 6 §15 µg/ml
Cloruro de sodio 0,9% 891
Turbidez inmediata Incompatible
Inyectables Ciclosporin 5 mg/ml
Inyectables Tedizolid phosphate 0.8 mg/ml
Cloruro de sodio 0,9% 3827
Turbidez inmediata Incompatible
Inyectables Ciclosporin 5 mg/ml
Inyectables Telavancin hydrochloride 7,5 mg/ml
Cloruro de sodio 0,9% 3254
Precipitación inmediata Incompatible
Inyectables Ciclosporin 50 mg/ml
Inyectables Thiopental sodium 25 mg/ml
Cloruro de sodio 0,9% 3767

  Mentions Légales