Ostatnia aktualizacja :
27/04/2026
Lek immunosupresyjny   Ciclosporin  
Injekcje
Krople oczne Maści Roztwór doustny
Trwałość roztworów Trwałość w mieszaninie Czynnik wpływający na trwałość Zgodność Sposób podania Bibliografia pdf
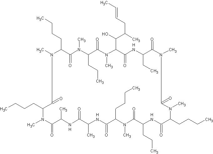
   Struktura chemiczna  

Nazwa handlowa   Nazwa handlowa     

Trade names are indicative and excipients composition can be different depending on the country and manufacturers

Cyclosporine Kanada, Stany Zjednoczone Ameryki
Graftin Indie
Sandimmum Arabia Saudyjska, Argentyna, Australia, Austria, Belgia, Chile, Dania, Finlandia, Grecja, Hiszpania, Iran, Irlandia, Islandia, KolumbiaKolumbia, Luksemburg, Malezja, Maroko, Meksyk, Niemcy, Norwegia, nowa Zelandia, Peru, Polska, Portugalia, Szwajcaria, Szwecja, Tunisie, Turcja, Węgry, Wielka Brytania, Włochy, Zjednoczone Emiraty Arabskie
Trwałość roztworów   Injekcje   Trwałość roztworów : Ciclosporin     
Pojemnik Rozpuszczalnik Stężenie Temperatura Przechowywanie Czas trwania stabilności Bibliografia
Szkło Chlorek sodu 0,9% 2 mg/ml 24°C Przy świetle lub w ciemności
12 Godzina
454
Poziom wiarygodności D

Szkło Glukoza 5% 2 mg/ml 24°C światło
48 Godzina
471
Poziom wiarygodności D

Szkło Glukoza 5% 2 mg/ml 24°C Przy świetle lub w ciemności
24 Godzina
454
Poziom wiarygodności D

Szkło Glukoza 5% 2 mg/ml 6°C Chronić od światła
48 Godzina
471
Poziom wiarygodności D

Poliolefina Chlorek sodu 0,9% 0,2 mg/ml 23-27°C Nie wyszczególniony
14 Dzień
3229
Poziom wiarygodności A+

Poliolefina Chlorek sodu 0,9% 2,5 mg/ml 23-27°C Nie wyszczególniony
14 Dzień
3229
Poziom wiarygodności A+

Poliolefina Glukoza 5% 0,2 mg/ml 23-27°C Nie wyszczególniony
14 Dzień
3229
Poziom wiarygodności A+

Poliolefina Glukoza 5% 2,5 mg/ml 23-27°C Nie wyszczególniony
14 Dzień
3229
Poziom wiarygodności A+

Etylen/octan winylu Chlorek sodu 0,9% 0,2 mg/ml 25°C Nie wyszczególniony
7 Dzień
3476
Poziom wiarygodności B+

Etylen/octan winylu Chlorek sodu 0,9% 2,5 mg/ml 25°C Nie wyszczególniony
14 Dzień
3476
Poziom wiarygodności B+

Etylen/octan winylu Glukoza 5% 0,2 mg/ml 25°C Nie wyszczególniony
7 Dzień
3476
Poziom wiarygodności B+

Etylen/octan winylu Glukoza 5% 2,5 mg/ml 25°C Nie wyszczególniony
14 Dzień
3476
Poziom wiarygodności B+


  Mentions Légales