Pēdējā atjaunošana :
27/01/2026
Imūnsupresors   Ciclosporin  
Injekcija
Acu pilieni Orāls šķīdums Ziedes
Šķīduma stabilitāte Maisījuma stabilitāte Stabilitāti ietekmējoši faktori Saderība Levadīšanas veids Literatūras saraksts pdf
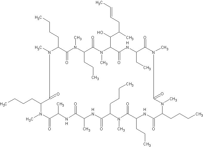
   Ķīmiskā uzbūve   

Oriģinālais nosaukums   Oriģinālais nosaukums     

Tirdzniecības nosaukumi ir apzīmējoši un palīgvielas var atšķirties dažādām valstīm un laboratorijām

Cyclosporine Amerikas Savienotās Valstis, Kanāda
Graftin Indija
Sandimmum Apvienotie Arābu Emirāti, Argentīna, Austrālija, Austrija, Beļģija, Čīle, Dānija, Grieķija, Irāna, Īrija, Islande, Itālija, Jaunzēlande, Kolumbija, Lielbritānija, Luksemburga, Malaizija, Maroka, Meksika, Norvēģija, Peru, Polija, Portugāle, Saūda Arābija, Somija, Spānija, Šveice, Tunisija, Turcija, Ungārija, Vācija, Zviedrija
Saderība   Injekcija   Saderība : Ciclosporin              
Šī tabula parāda zāļu saderību vai nesaderību, pēc iespējas arī nesaderības tipu (precipitācija, krāsas maiņa, emulsijas sadalīšanās utt). Parādītas šeit saderības ir pārsvarā tikai fizikālās, pēc iespējas tiek parādīta ķīmiskā stabilitāte katrai molekulai. Šo maisījumu analīze tikai veikta, lai izprastu iespējamību ievadīt zāles Y-savienojuma vietā sistēmā pacientam. Šie dati nevar tikt izmantoti, lai pagatavot zāļu maisījumus vēlākai lietošanai maisos vai šļircēs. Šī informācija ir pieejama sadaļā "Maisījuma stabilitāte".
Savienojums Šķīdinātājs Literatūras saraksts
Savietojams
Injekcija Ciclosporin 2.5 mg/ml
Parenterāla barošana (lipīdu-free) 3948
Savietojams
Injekcija Ciclosporin 5 mg/ml
Injekcija Ceftaroline fosamil 2,22 mg/ml
Nātrija hlorīds 0.9% 3249
Savietojams
Injekcija Ciclosporin 5 mg/ml
Injekcija Ceftobiprole medocaril sodium 2 mg/ml
Nātrija hlorīds 0.9% 2269
Savietojams
Injekcija Ciclosporin 5 mg/ml
Injekcija Doripenem 5 mg/ml
Nātrija hlorīds 0.9% 2262
Savietojams
Injekcija Ciclosporin 1 mg/ml
Injekcija Insulin aspart 1 UI/ml
Nātrija hlorīds 0.9% 1508
Savietojams
Injekcija Ciclosporin 2 mg/ml
Injekcija Magnesium sulfate 30 mg/ml
5% glikoze 291
Tūlītēji nokrišņi Nesavienojams
Injekcija Ciclosporin 5 mg/ml
Parenterāla barošana (ar lipīdiem) 1415
Savietojams
Injekcija Ciclosporin 5 mg/ml
Injekcija Anidulafungin 0.5 mg/ml
5% glikoze 1982
Tūlītēja duļķainība Nesavienojams
Injekcija Ciclosporin 50 mg/ml
Injekcija Ketamine hydrochloride 50 mg/ml
2109
Tūlītēji nokrišņi Nesavienojams
Injekcija Ciclosporin 50 mg/ml
Ringera laktāta šķīdums 4603
Duļķainības zudums Nesavienojams
Injekcija Ciclosporin 5 mg/ml
Injekcija Amphotericin B cholesteryl sulfate complex 0.83 mg/ml
5% glikoze 921
Savietojams
Injekcija Ciclosporin 5 mg/ml
Injekcija Ceftaroline fosamil 2,22 mg/ml
5% glikoze 3249
Savietojams
Injekcija Ciclosporin 5 mg/ml
Injekcija Ceftobiprole medocaril sodium 2 mg/ml
Ringera laktāta šķīdums 2269
Tūlītēja duļķainība Nesavienojams
Injekcija Ciclosporin 5 mg/ml
Injekcija Ceftolozane / tazobactam 10/5 mg/ml
Nātrija hlorīds 0.9% 3828
Tūlītēja duļķainība Nesavienojams
Injekcija Ciclosporin 5 mg/ml
Injekcija Ceftolozane / tazobactam 10/5 mg/ml
5% glikoze 3828
Savietojams
Injekcija Ciclosporin 5 mg/ml
Injekcija Doripenem 5 mg/ml
5% glikoze 2262
Savietojams
Injekcija Ciclosporin 1 mg/ml
Injekcija Insulin aspart 1 UI/ml
5% glikoze 1508
Tūlītēja duļķainība Nesavienojams
Injekcija Ciclosporin 5 mg/ml
Injekcija Isavuconazonium sulfate 1.5 mg/ml
5% glikoze 3829
Tūlītēja duļķainība Nesavienojams
Injekcija Ciclosporin 5 mg/ml
Injekcija Isavuconazonium sulfate 1.5 mg/ml
Nātrija hlorīds 0.9% 3829
Savietojams
Injekcija Ciclosporin 2,5 mg/ml
Parenterāla barošana (ar lipīdiem) 2730
Tūlītēja duļķainība Nesavienojams
Injekcija Ciclosporin 50 mg/ml
Injekcija Amoxicillin sodium / clavulanic acid 100/10 mg/ml
3824
Savietojams
Injekcija Ciclosporin 1.2 mg/ml
Injekcija Cefmetazole sodium 100 mg/ml
Ūdens injekcijām 93
Savietojams
Injekcija Ciclosporin 5 mg/ml
Injekcija Ceftaroline fosamil 2,22 mg/ml
Ringera laktāta šķīdums 3249
Savietojams
Injekcija Ciclosporin 5 mg/ml
Injekcija Cloxacillin sodium 100 mg/ml
Ūdens injekcijām 3012
Savietojams
Injekcija Ciclosporin
Injekcija Dimenhydrinate
2087
Savietojams
Injekcija Ciclosporin 50 mg/ml
Injekcija Ketamine hydrochloride 50 mg/ml
4389
Savietojams
Injekcija Ciclosporin 5 mg/ml
Injekcija Linezolid 2 mg/ml
Nekāds 1925
Savietojams
Injekcija Ciclosporin
Parenterāla barošana (lipīdu-free) 3985
Nokrišņi pēc 4 stundām Nesavienojams
Injekcija Ciclosporin 5 mg/ml
Parenterāla barošana (lipīdu-free) 301
Savietojams
Injekcija Ciclosporin 2.5 mg/ml
Parenterāla barošana (ar lipīdiem) 3948
Tūlītēji nokrišņi Nesavienojams
Injekcija Ciclosporin 1 mg/ml
Injekcija Aciclovir sodium 5 mg/ml
Nātrija hlorīds 0.9% 2335
Drumstumas per 4 valandas Nesavienojams
Injekcija Ciclosporin 10 mg/ml
Injekcija Atenolol 0,1 mg/ml
Nātrija hlorīds 0.9% 4698
Savietojams
Injekcija Ciclosporin 5 mg/ml
Injekcija Caspofungin acetate 0,7 mg/ml
Nātrija hlorīds 0.9% 2247
Savietojams
Injekcija Ciclosporin 0,5 mg/ml
Injekcija Ciprofloxacin lactate 2 mg/ml
Nātrija hlorīds 0.9% 289
Savietojams
Injekcija Ciclosporin 0,5 mg/ml
Parenterāla barošana (ar lipīdiem) 2730
Savietojams
Injekcija Ciclosporin 1 mg/ml
Parenterāla barošana (ar lipīdiem) 2730
Savietojams
Injekcija Ciclosporin 5 mg/ml
Injekcija Ceftobiprole medocaril sodium 2 mg/ml
5% glikoze 2269
Savietojams
Injekcija Ciclosporin 1.27 mg/ml
Injekcija Defibrotide 8 mg/ml
Nātrija hlorīds 0.9% 3728
Savietojams
Injekcija Ciclosporin 5 mg/ml
Injekcija Lansoprazole 0.55 mg/ml
Nātrija hlorīds 0.9% 1625
Savietojams
Injekcija Ciclosporin 1 mg/ml
Injekcija Meropenem 10 mg/ml
5% glikoze 2335
Tūlītēja duļķainība Nesavienojams
Injekcija Ciclosporin 5 mg/ml
Injekcija Telavancin hydrochloride 7.5 mg/ml
Ringera laktāta šķīdums 3254
Savietojams
Injekcija Ciclosporin
5% glikoze 3229
Savietojams
Injekcija Ciclosporin 5 mg/ml
Injekcija Meropenem 50 mg/ml
Ūdens injekcijām 4319
Gāzes burbuļu veidošanās Nesavienojams
Injekcija Ciclosporin 1 mg/ml
Injekcija Mycophenolate mofetil 5,9 mg/ml
5% glikoze 2192
Savietojams
Injekcija Ciclosporin 5 mg/ml
Injekcija Telavancin hydrochloride 7.5 mg/ml
5% glikoze 3254
Savietojams
Injekcija Ciclosporin
Nātrija hlorīds 0.9% 3229
Savietojams
Injekcija Ciclosporin 5 mg/ml
Injekcija Micafungin 1.5 mg/ml
Nātrija hlorīds 0.9% 2108
Neprecizēta nesaderība Nesavienojams
Injekcija Ciclosporin 50 mg/ml
Injekcija N-acetylcysteine 200 mg/ml
Nekāds 3766
Tūlītēji nokrišņi Nesavienojams
Injekcija Ciclosporin 50 mg/ml
Injekcija Naloxone hydrochloride 0.4 mg/ml
Nekāds 3408
Tūlītēji nokrišņi Nesavienojams
Injekcija Ciclosporin
Injekcija Pantoprazole sodium
2090
Savietojams
Injekcija Ciclosporin 5 mg/ml
Injekcija Propofol 10 mg/ml
Nekāds 300
Tūlītēji nokrišņi Nesavienojams
Injekcija Ciclosporin 50 mg/ml
Injekcija Salbutamol sulfate 1 mg/ml
Nekāds 3216
Savietojams
Injekcija Ciclosporin 5 mg/ml
Injekcija Sargramostim 6 §15 µg/ml
Nātrija hlorīds 0.9% 891
Tūlītēja duļķainība Nesavienojams
Injekcija Ciclosporin 5 mg/ml
Injekcija Tedizolid phosphate 0.8 mg/ml
Nātrija hlorīds 0.9% 3827
Tūlītēja duļķainība Nesavienojams
Injekcija Ciclosporin 5 mg/ml
Injekcija Telavancin hydrochloride 7,5 mg/ml
Nātrija hlorīds 0.9% 3254
Tūlītēji nokrišņi Nesavienojams
Injekcija Ciclosporin 50 mg/ml
Injekcija Thiopental sodium 25 mg/ml
Nātrija hlorīds 0.9% 3767

  Mentions Légales