Poslední aktualizace :
27/01/2026
Imunosupresantas   Ciclosporin  
Įpurškimas
Akių lašai Geriamas tirpalas Tepalai
Tirpalų stabilumas Mišinių stabilumas Stabilumą lemiantys veiksniai Suderinamumas Leidimo būdai Bibliografija pdf
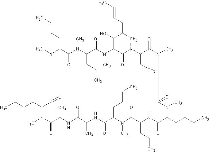
   Cheminė sandara  

Prekinis pavadinimas   Prekinis pavadinimas     

Trade names are indicative and excipients composition can be different depending on the country and manufacturers

Cyclosporine Jungtinės Amerikos Valstijos, Kanada
Graftin Indija
Sandimmum Airija, Argentina, Australija, Austrija, Belgija, Čilė, Danija, Didžioji Britanija, Graikija, Iranas, Islandija, Ispanija, Italija, Jungtiniai Arabų Emyratai, Kolumbija, Lenkija, Liuksemburgas, Malaizija, Marokas, Meksikas, Naujojoje Zelandijoje, Norvegija, Peru, Portugalija, Saudo Arabija, Suomija, Švedija, Šveicarija, Tunisas, Turkija, Vengrija, Vokietija
Suderinamumas   Įpurškimas   Suderinamumas : Ciclosporin              
explication_incompatibilite_molecules
Molekulė Tirpiklis Nuorodos
Suderinamas
Įpurškimas Ciclosporin 2.5 mg/ml
Parenterinis maitinimas (lipidų nemokamai) 3948
Suderinamas
Įpurškimas Ciclosporin 5 mg/ml
Įpurškimas Ceftaroline fosamil 2,22 mg/ml
Natrio chloridas 0,9% 3249
Suderinamas
Įpurškimas Ciclosporin 5 mg/ml
Įpurškimas Ceftobiprole medocaril sodium 2 mg/ml
Natrio chloridas 0,9% 2269
Suderinamas
Įpurškimas Ciclosporin 5 mg/ml
Įpurškimas Doripenem 5 mg/ml
Natrio chloridas 0,9% 2262
Suderinamas
Įpurškimas Ciclosporin 1 mg/ml
Įpurškimas Insulin aspart 1 UI/ml
Natrio chloridas 0,9% 1508
Suderinamas
Įpurškimas Ciclosporin 2 mg/ml
Įpurškimas Magnesium sulfate 30 mg/ml
Gliukozė 5% 291
Nedelsiant krituliai Nesuderinamas
Įpurškimas Ciclosporin 5 mg/ml
Parenteriniu būdu (su lipidų) 1415
Suderinamas
Įpurškimas Ciclosporin 5 mg/ml
Įpurškimas Anidulafungin 0.5 mg/ml
Gliukozė 5% 1982
Tiesioginis drumstumas Nesuderinamas
Įpurškimas Ciclosporin 50 mg/ml
Įpurškimas Ketamine hydrochloride 50 mg/ml
2109
Nedelsiant krituliai Nesuderinamas
Įpurškimas Ciclosporin 50 mg/ml
Ringerio laktato tirpalas 4603
Drumstumo praradimas Nesuderinamas
Įpurškimas Ciclosporin 5 mg/ml
Įpurškimas Amphotericin B cholesteryl sulfate complex 0.83 mg/ml
Gliukozė 5% 921
Suderinamas
Įpurškimas Ciclosporin 5 mg/ml
Įpurškimas Ceftaroline fosamil 2,22 mg/ml
Gliukozė 5% 3249
Suderinamas
Įpurškimas Ciclosporin 5 mg/ml
Įpurškimas Ceftobiprole medocaril sodium 2 mg/ml
Ringerio laktato tirpalas 2269
Tiesioginis drumstumas Nesuderinamas
Įpurškimas Ciclosporin 5 mg/ml
Įpurškimas Ceftolozane / tazobactam 10/5 mg/ml
Natrio chloridas 0,9% 3828
Tiesioginis drumstumas Nesuderinamas
Įpurškimas Ciclosporin 5 mg/ml
Įpurškimas Ceftolozane / tazobactam 10/5 mg/ml
Gliukozė 5% 3828
Suderinamas
Įpurškimas Ciclosporin 5 mg/ml
Įpurškimas Doripenem 5 mg/ml
Gliukozė 5% 2262
Suderinamas
Įpurškimas Ciclosporin 1 mg/ml
Įpurškimas Insulin aspart 1 UI/ml
Gliukozė 5% 1508
Tiesioginis drumstumas Nesuderinamas
Įpurškimas Ciclosporin 5 mg/ml
Įpurškimas Isavuconazonium sulfate 1.5 mg/ml
Gliukozė 5% 3829
Tiesioginis drumstumas Nesuderinamas
Įpurškimas Ciclosporin 5 mg/ml
Įpurškimas Isavuconazonium sulfate 1.5 mg/ml
Natrio chloridas 0,9% 3829
Suderinamas
Įpurškimas Ciclosporin 2,5 mg/ml
Parenteriniu būdu (su lipidų) 2730
Tiesioginis drumstumas Nesuderinamas
Įpurškimas Ciclosporin 50 mg/ml
Įpurškimas Amoxicillin sodium / clavulanic acid 100/10 mg/ml
3824
Suderinamas
Įpurškimas Ciclosporin 1.2 mg/ml
Įpurškimas Cefmetazole sodium 100 mg/ml
Vanduo injekcijoms 93
Suderinamas
Įpurškimas Ciclosporin 5 mg/ml
Įpurškimas Ceftaroline fosamil 2,22 mg/ml
Ringerio laktato tirpalas 3249
Suderinamas
Įpurškimas Ciclosporin 5 mg/ml
Įpurškimas Cloxacillin sodium 100 mg/ml
Vanduo injekcijoms 3012
Suderinamas
Įpurškimas Ciclosporin
Įpurškimas Dimenhydrinate
2087
Suderinamas
Įpurškimas Ciclosporin 50 mg/ml
Įpurškimas Ketamine hydrochloride 50 mg/ml
4389
Suderinamas
Įpurškimas Ciclosporin 5 mg/ml
Įpurškimas Linezolid 2 mg/ml
Nėra 1925
Suderinamas
Įpurškimas Ciclosporin
Parenterinis maitinimas (lipidų nemokamai) 3985
Krituliai po 4 valandų Nesuderinamas
Įpurškimas Ciclosporin 5 mg/ml
Parenterinis maitinimas (lipidų nemokamai) 301
Suderinamas
Įpurškimas Ciclosporin 2.5 mg/ml
Parenteriniu būdu (su lipidų) 3948
Nedelsiant krituliai Nesuderinamas
Įpurškimas Ciclosporin 1 mg/ml
Įpurškimas Aciclovir sodium 5 mg/ml
Natrio chloridas 0,9% 2335
Troebelheid in 4 uur Nesuderinamas
Įpurškimas Ciclosporin 10 mg/ml
Įpurškimas Atenolol 0,1 mg/ml
Natrio chloridas 0,9% 4698
Suderinamas
Įpurškimas Ciclosporin 5 mg/ml
Įpurškimas Caspofungin acetate 0,7 mg/ml
Natrio chloridas 0,9% 2247
Suderinamas
Įpurškimas Ciclosporin 0,5 mg/ml
Įpurškimas Ciprofloxacin lactate 2 mg/ml
Natrio chloridas 0,9% 289
Suderinamas
Įpurškimas Ciclosporin 0,5 mg/ml
Parenteriniu būdu (su lipidų) 2730
Suderinamas
Įpurškimas Ciclosporin 1 mg/ml
Parenteriniu būdu (su lipidų) 2730
Suderinamas
Įpurškimas Ciclosporin 5 mg/ml
Įpurškimas Ceftobiprole medocaril sodium 2 mg/ml
Gliukozė 5% 2269
Suderinamas
Įpurškimas Ciclosporin 1.27 mg/ml
Įpurškimas Defibrotide 8 mg/ml
Natrio chloridas 0,9% 3728
Suderinamas
Įpurškimas Ciclosporin 5 mg/ml
Įpurškimas Lansoprazole 0.55 mg/ml
Natrio chloridas 0,9% 1625
Suderinamas
Įpurškimas Ciclosporin 1 mg/ml
Įpurškimas Meropenem 10 mg/ml
Gliukozė 5% 2335
Tiesioginis drumstumas Nesuderinamas
Įpurškimas Ciclosporin 5 mg/ml
Įpurškimas Telavancin hydrochloride 7.5 mg/ml
Ringerio laktato tirpalas 3254
Suderinamas
Įpurškimas Ciclosporin
Gliukozė 5% 3229
Suderinamas
Įpurškimas Ciclosporin 5 mg/ml
Įpurškimas Meropenem 50 mg/ml
Vanduo injekcijoms 4319
Dujų burbulų susidarymas Nesuderinamas
Įpurškimas Ciclosporin 1 mg/ml
Įpurškimas Mycophenolate mofetil 5,9 mg/ml
Gliukozė 5% 2192
Suderinamas
Įpurškimas Ciclosporin 5 mg/ml
Įpurškimas Telavancin hydrochloride 7.5 mg/ml
Gliukozė 5% 3254
Suderinamas
Įpurškimas Ciclosporin
Natrio chloridas 0,9% 3229
Suderinamas
Įpurškimas Ciclosporin 5 mg/ml
Įpurškimas Micafungin 1.5 mg/ml
Natrio chloridas 0,9% 2108
Nepatikslintas nesuderinamumas Nesuderinamas
Įpurškimas Ciclosporin 50 mg/ml
Įpurškimas N-acetylcysteine 200 mg/ml
Nėra 3766
Nedelsiant krituliai Nesuderinamas
Įpurškimas Ciclosporin 50 mg/ml
Įpurškimas Naloxone hydrochloride 0.4 mg/ml
Nėra 3408
Nedelsiant krituliai Nesuderinamas
Įpurškimas Ciclosporin
Įpurškimas Pantoprazole sodium
2090
Suderinamas
Įpurškimas Ciclosporin 5 mg/ml
Įpurškimas Propofol 10 mg/ml
Nėra 300
Nedelsiant krituliai Nesuderinamas
Įpurškimas Ciclosporin 50 mg/ml
Įpurškimas Salbutamol sulfate 1 mg/ml
Nėra 3216
Suderinamas
Įpurškimas Ciclosporin 5 mg/ml
Įpurškimas Sargramostim 6 §15 µg/ml
Natrio chloridas 0,9% 891
Tiesioginis drumstumas Nesuderinamas
Įpurškimas Ciclosporin 5 mg/ml
Įpurškimas Tedizolid phosphate 0.8 mg/ml
Natrio chloridas 0,9% 3827
Tiesioginis drumstumas Nesuderinamas
Įpurškimas Ciclosporin 5 mg/ml
Įpurškimas Telavancin hydrochloride 7,5 mg/ml
Natrio chloridas 0,9% 3254
Nedelsiant krituliai Nesuderinamas
Įpurškimas Ciclosporin 50 mg/ml
Įpurškimas Thiopental sodium 25 mg/ml
Natrio chloridas 0,9% 3767

  Mentions Légales