最新更新 :
27/01/2026
免疫抑制薬   Ciclosporin  
注射薬
点眼薬 経口液 軟膏薬
溶媒内の安定性 混合時の安定性 安定性に影響する因子 互換性 投与経路 引用文献 PDF
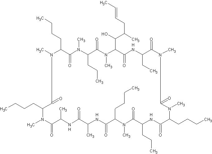
   化学構造  

商品名   商品名     

商品名、賦形剤は国、製薬会社ごとに異なることがあります

Cyclosporine アメリカ, カナダ
Graftin インド
Sandimmum アイスランド, アイルランド, アラブ首長国連邦, アルゼンチン, アーストラリア, イギリス, イタリア, イラン, オーストリア, ギリシア, コロンビア, サウジアラビア, スイス, スウェーデン, スペイン, チュニジア, チリ, デンマーク, トルコ, ドイツ, ニュージーランド, ノルウェー, ハンガリー, フィンランド, ベルギー, ペルー, ポルトガル, ポーランド, マレーシア, メキシコ, モロッコ, ルクセンブルグ
互換性   注射薬   互換性 : Ciclosporin              
This screen indicates the compatibilities or incompatibilities with, in this case, the type of incompatibility (precipitation, color change, modification of an emulsion, etc.). The compatibilities shown here are mostly physical only, with the chemical stability of each molecule rarely being assessed. The evaluation of these mixtures was studied to consider the possibility of Y-site administration to the patient. These data cannot be used for making mixtures in advance in bags or syringes. This type of information is available in the screen "Stability in mixture ».
化合物 溶媒 引用文献
対応
注射薬 Ciclosporin 2.5 mg/ml
非経口的栄養(二元混合物) 3948
対応
注射薬 Ciclosporin 5 mg/ml
注射薬 Ceftaroline fosamil 2,22 mg/ml
NaCl 0,9% 3249
対応
注射薬 Ciclosporin 5 mg/ml
注射薬 Ceftobiprole medocaril sodium 2 mg/ml
NaCl 0,9% 2269
対応
注射薬 Ciclosporin 5 mg/ml
注射薬 Doripenem 5 mg/ml
NaCl 0,9% 2262
対応
注射薬 Ciclosporin 1 mg/ml
注射薬 Insulin aspart 1 UI/ml
NaCl 0,9% 1508
対応
注射薬 Ciclosporin 2 mg/ml
注射薬 Magnesium sulfate 30 mg/ml
グルコース5% 291
即時降水 非互換
注射薬 Ciclosporin 5 mg/ml
非経口的栄養(脂肪含む) 1415
対応
注射薬 Ciclosporin 5 mg/ml
注射薬 Anidulafungin 0.5 mg/ml
グルコース5% 1982
すぐに濁り 非互換
注射薬 Ciclosporin 50 mg/ml
注射薬 Ketamine hydrochloride 50 mg/ml
2109
即時降水 非互換
注射薬 Ciclosporin 50 mg/ml
乳酸リンゲル 4603
濁度の喪失 非互換
注射薬 Ciclosporin 5 mg/ml
注射薬 Amphotericin B cholesteryl sulfate complex 0.83 mg/ml
グルコース5% 921
対応
注射薬 Ciclosporin 5 mg/ml
注射薬 Ceftaroline fosamil 2,22 mg/ml
グルコース5% 3249
対応
注射薬 Ciclosporin 5 mg/ml
注射薬 Ceftobiprole medocaril sodium 2 mg/ml
乳酸リンゲル 2269
すぐに濁り 非互換
注射薬 Ciclosporin 5 mg/ml
注射薬 Ceftolozane / tazobactam 10/5 mg/ml
NaCl 0,9% 3828
すぐに濁り 非互換
注射薬 Ciclosporin 5 mg/ml
注射薬 Ceftolozane / tazobactam 10/5 mg/ml
グルコース5% 3828
対応
注射薬 Ciclosporin 5 mg/ml
注射薬 Doripenem 5 mg/ml
グルコース5% 2262
対応
注射薬 Ciclosporin 1 mg/ml
注射薬 Insulin aspart 1 UI/ml
グルコース5% 1508
すぐに濁り 非互換
注射薬 Ciclosporin 5 mg/ml
注射薬 Isavuconazonium sulfate 1.5 mg/ml
グルコース5% 3829
すぐに濁り 非互換
注射薬 Ciclosporin 5 mg/ml
注射薬 Isavuconazonium sulfate 1.5 mg/ml
NaCl 0,9% 3829
対応
注射薬 Ciclosporin 2,5 mg/ml
非経口的栄養(脂肪含む) 2730
すぐに濁り 非互換
注射薬 Ciclosporin 50 mg/ml
注射薬 Amoxicillin sodium / clavulanic acid 100/10 mg/ml
3824
対応
注射薬 Ciclosporin 1.2 mg/ml
注射薬 Cefmetazole sodium 100 mg/ml
注射用水 93
対応
注射薬 Ciclosporin 5 mg/ml
注射薬 Ceftaroline fosamil 2,22 mg/ml
乳酸リンゲル 3249
対応
注射薬 Ciclosporin 5 mg/ml
注射薬 Cloxacillin sodium 100 mg/ml
注射用水 3012
対応
注射薬 Ciclosporin
注射薬 Dimenhydrinate
2087
対応
注射薬 Ciclosporin 50 mg/ml
注射薬 Ketamine hydrochloride 50 mg/ml
4389
対応
注射薬 Ciclosporin 5 mg/ml
注射薬 Linezolid 2 mg/ml
なし 1925
対応
注射薬 Ciclosporin
非経口的栄養(二元混合物) 3985
4時間後の降水 非互換
注射薬 Ciclosporin 5 mg/ml
非経口的栄養(二元混合物) 301
対応
注射薬 Ciclosporin 2.5 mg/ml
非経口的栄養(脂肪含む) 3948
即時降水 非互換
注射薬 Ciclosporin 1 mg/ml
注射薬 Aciclovir sodium 5 mg/ml
NaCl 0,9% 2335
4時間で濁り 非互換
注射薬 Ciclosporin 10 mg/ml
注射薬 Atenolol 0,1 mg/ml
NaCl 0,9% 4698
対応
注射薬 Ciclosporin 5 mg/ml
注射薬 Caspofungin acetate 0,7 mg/ml
NaCl 0,9% 2247
対応
注射薬 Ciclosporin 0,5 mg/ml
注射薬 Ciprofloxacin lactate 2 mg/ml
NaCl 0,9% 289
対応
注射薬 Ciclosporin 0,5 mg/ml
非経口的栄養(脂肪含む) 2730
対応
注射薬 Ciclosporin 1 mg/ml
非経口的栄養(脂肪含む) 2730
対応
注射薬 Ciclosporin 5 mg/ml
注射薬 Ceftobiprole medocaril sodium 2 mg/ml
グルコース5% 2269
対応
注射薬 Ciclosporin 1.27 mg/ml
注射薬 Defibrotide 8 mg/ml
NaCl 0,9% 3728
対応
注射薬 Ciclosporin 5 mg/ml
注射薬 Lansoprazole 0.55 mg/ml
NaCl 0,9% 1625
対応
注射薬 Ciclosporin 1 mg/ml
注射薬 Meropenem 10 mg/ml
グルコース5% 2335
すぐに濁り 非互換
注射薬 Ciclosporin 5 mg/ml
注射薬 Telavancin hydrochloride 7.5 mg/ml
乳酸リンゲル 3254
対応
注射薬 Ciclosporin
グルコース5% 3229
対応
注射薬 Ciclosporin 5 mg/ml
注射薬 Meropenem 50 mg/ml
注射用水 4319
気泡の生成 非互換
注射薬 Ciclosporin 1 mg/ml
注射薬 Mycophenolate mofetil 5,9 mg/ml
グルコース5% 2192
対応
注射薬 Ciclosporin 5 mg/ml
注射薬 Telavancin hydrochloride 7.5 mg/ml
グルコース5% 3254
対応
注射薬 Ciclosporin
NaCl 0,9% 3229
対応
注射薬 Ciclosporin 5 mg/ml
注射薬 Micafungin 1.5 mg/ml
NaCl 0,9% 2108
不特定の非互換性 非互換
注射薬 Ciclosporin 50 mg/ml
注射薬 N-acetylcysteine 200 mg/ml
なし 3766
即時降水 非互換
注射薬 Ciclosporin 50 mg/ml
注射薬 Naloxone hydrochloride 0.4 mg/ml
なし 3408
即時降水 非互換
注射薬 Ciclosporin
注射薬 Pantoprazole sodium
2090
対応
注射薬 Ciclosporin 5 mg/ml
注射薬 Propofol 10 mg/ml
なし 300
即時降水 非互換
注射薬 Ciclosporin 50 mg/ml
注射薬 Salbutamol sulfate 1 mg/ml
なし 3216
対応
注射薬 Ciclosporin 5 mg/ml
注射薬 Sargramostim 6 §15 µg/ml
NaCl 0,9% 891
すぐに濁り 非互換
注射薬 Ciclosporin 5 mg/ml
注射薬 Tedizolid phosphate 0.8 mg/ml
NaCl 0,9% 3827
すぐに濁り 非互換
注射薬 Ciclosporin 5 mg/ml
注射薬 Telavancin hydrochloride 7,5 mg/ml
NaCl 0,9% 3254
即時降水 非互換
注射薬 Ciclosporin 50 mg/ml
注射薬 Thiopental sodium 25 mg/ml
NaCl 0,9% 3767

  Mentions Légales