viimane versioon :
27/01/2026
immunosupressant   Ciclosporin  
Süsteravim
salv Silmatilgad suukaudne lahus
Stabiilsus lahustes Stabiilsust mõjutavad tegurid stabiilsust mõjutavad faktorid Sobimatus Manustamis viis Viited pdf
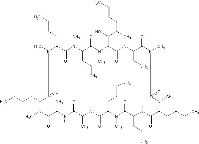
   keemiline struktuur  

Kaubanduslikud nimed erinevates maades   Kaubanduslikud nimed erinevates maades     

Preparaatide nimed on näitlikud ja abianete sisaldus võib erineda sõltuvalt riigist ja laborist

Cyclosporine Ameerika ühendriigid, Kanada
Graftin India
Sandimmum Araabia Ühendemiraadid, Argentiina, Austraalia, Austria, Belgia, Hispaania, Iirimaa, Iraan, Island, Itaalia, Kolumbia, Kreeka, Luksemburg, Malaisia, Maroko, Maroko, Mehhiko, Norra, Poola, Portugal, Rootsi, Saksamaa, Saudi Araabia, Soome, Suurbritannia, Sveits, Taani, Tšiili, Tuneesia, Türgi, Ungari, uus-Meremaa
Sobimatus   Süsteravim   Sobimatus : Ciclosporin              
Sellel lehel kuvatakse sobimatusi ja sobimatuse tüüpi (sadenemine, värvuse muutus, emulsiooni modifitseerumine jne). Enamasti on siin lehel kuvatud füüsikalised sobimatused, kuna molekulide keemilist stabiilsust hinnatakse harva. Hinnatud on segude sobivust Y-liinis. Antud infot ei saa kasutada ravimite sobivuse hindamiseks juhul, kui ravimid on segatud süstaldes või infusioonikottides. See info on lehel « stabiilsus segudes ».
ingredient lahusti Viited
Ühilduv
Süsteravim Ciclosporin 2.5 mg/ml
Parenteraalse toitmise (lipiide tasuta) 3948
Ühilduv
Süsteravim Ciclosporin 5 mg/ml
Süsteravim Ceftaroline fosamil 2,22 mg/ml
naatriumkloriid 0.9% 3249
Ühilduv
Süsteravim Ciclosporin 5 mg/ml
Süsteravim Ceftobiprole medocaril sodium 2 mg/ml
naatriumkloriid 0.9% 2269
Ühilduv
Süsteravim Ciclosporin 5 mg/ml
Süsteravim Doripenem 5 mg/ml
naatriumkloriid 0.9% 2262
Ühilduv
Süsteravim Ciclosporin 1 mg/ml
Süsteravim Insulin aspart 1 UI/ml
naatriumkloriid 0.9% 1508
Ühilduv
Süsteravim Ciclosporin 2 mg/ml
Süsteravim Magnesium sulfate 30 mg/ml
glükoos 5% 291
Kohene sade Sobimatu
Süsteravim Ciclosporin 5 mg/ml
Parenteraalse toitmise (lipiidide) 1415
Ühilduv
Süsteravim Ciclosporin 5 mg/ml
Süsteravim Anidulafungin 0.5 mg/ml
glükoos 5% 1982
Kohene hägusus Sobimatu
Süsteravim Ciclosporin 50 mg/ml
Süsteravim Ketamine hydrochloride 50 mg/ml
2109
Kohene sade Sobimatu
Süsteravim Ciclosporin 50 mg/ml
Ringer laktaat 4603
Hägususe kaotus Sobimatu
Süsteravim Ciclosporin 5 mg/ml
Süsteravim Amphotericin B cholesteryl sulfate complex 0.83 mg/ml
glükoos 5% 921
Ühilduv
Süsteravim Ciclosporin 5 mg/ml
Süsteravim Ceftaroline fosamil 2,22 mg/ml
glükoos 5% 3249
Ühilduv
Süsteravim Ciclosporin 5 mg/ml
Süsteravim Ceftobiprole medocaril sodium 2 mg/ml
Ringer laktaat 2269
Kohene hägusus Sobimatu
Süsteravim Ciclosporin 5 mg/ml
Süsteravim Ceftolozane / tazobactam 10/5 mg/ml
naatriumkloriid 0.9% 3828
Kohene hägusus Sobimatu
Süsteravim Ciclosporin 5 mg/ml
Süsteravim Ceftolozane / tazobactam 10/5 mg/ml
glükoos 5% 3828
Ühilduv
Süsteravim Ciclosporin 5 mg/ml
Süsteravim Doripenem 5 mg/ml
glükoos 5% 2262
Ühilduv
Süsteravim Ciclosporin 1 mg/ml
Süsteravim Insulin aspart 1 UI/ml
glükoos 5% 1508
Kohene hägusus Sobimatu
Süsteravim Ciclosporin 5 mg/ml
Süsteravim Isavuconazonium sulfate 1.5 mg/ml
glükoos 5% 3829
Kohene hägusus Sobimatu
Süsteravim Ciclosporin 5 mg/ml
Süsteravim Isavuconazonium sulfate 1.5 mg/ml
naatriumkloriid 0.9% 3829
Ühilduv
Süsteravim Ciclosporin 2,5 mg/ml
Parenteraalse toitmise (lipiidide) 2730
Kohene hägusus Sobimatu
Süsteravim Ciclosporin 50 mg/ml
Süsteravim Amoxicillin sodium / clavulanic acid 100/10 mg/ml
3824
Ühilduv
Süsteravim Ciclosporin 1.2 mg/ml
Süsteravim Cefmetazole sodium 100 mg/ml
süstevesi 93
Ühilduv
Süsteravim Ciclosporin 5 mg/ml
Süsteravim Ceftaroline fosamil 2,22 mg/ml
Ringer laktaat 3249
Ühilduv
Süsteravim Ciclosporin 5 mg/ml
Süsteravim Cloxacillin sodium 100 mg/ml
süstevesi 3012
Ühilduv
Süsteravim Ciclosporin
Süsteravim Dimenhydrinate
2087
Ühilduv
Süsteravim Ciclosporin 50 mg/ml
Süsteravim Ketamine hydrochloride 50 mg/ml
4389
Ühilduv
Süsteravim Ciclosporin 5 mg/ml
Süsteravim Linezolid 2 mg/ml
mitte ükski 1925
Ühilduv
Süsteravim Ciclosporin
Parenteraalse toitmise (lipiide tasuta) 3985
Sade 4 tunni pärast Sobimatu
Süsteravim Ciclosporin 5 mg/ml
Parenteraalse toitmise (lipiide tasuta) 301
Ühilduv
Süsteravim Ciclosporin 2.5 mg/ml
Parenteraalse toitmise (lipiidide) 3948
Kohene sade Sobimatu
Süsteravim Ciclosporin 1 mg/ml
Süsteravim Aciclovir sodium 5 mg/ml
naatriumkloriid 0.9% 2335
Hägusus 4 tunniga Sobimatu
Süsteravim Ciclosporin 10 mg/ml
Süsteravim Atenolol 0,1 mg/ml
naatriumkloriid 0.9% 4698
Ühilduv
Süsteravim Ciclosporin 5 mg/ml
Süsteravim Caspofungin acetate 0,7 mg/ml
naatriumkloriid 0.9% 2247
Ühilduv
Süsteravim Ciclosporin 0,5 mg/ml
Süsteravim Ciprofloxacin lactate 2 mg/ml
naatriumkloriid 0.9% 289
Ühilduv
Süsteravim Ciclosporin 0,5 mg/ml
Parenteraalse toitmise (lipiidide) 2730
Ühilduv
Süsteravim Ciclosporin 1 mg/ml
Parenteraalse toitmise (lipiidide) 2730
Ühilduv
Süsteravim Ciclosporin 5 mg/ml
Süsteravim Ceftobiprole medocaril sodium 2 mg/ml
glükoos 5% 2269
Ühilduv
Süsteravim Ciclosporin 1.27 mg/ml
Süsteravim Defibrotide 8 mg/ml
naatriumkloriid 0.9% 3728
Ühilduv
Süsteravim Ciclosporin 5 mg/ml
Süsteravim Lansoprazole 0.55 mg/ml
naatriumkloriid 0.9% 1625
Ühilduv
Süsteravim Ciclosporin 1 mg/ml
Süsteravim Meropenem 10 mg/ml
glükoos 5% 2335
Kohene hägusus Sobimatu
Süsteravim Ciclosporin 5 mg/ml
Süsteravim Telavancin hydrochloride 7.5 mg/ml
Ringer laktaat 3254
Ühilduv
Süsteravim Ciclosporin
glükoos 5% 3229
Ühilduv
Süsteravim Ciclosporin 5 mg/ml
Süsteravim Meropenem 50 mg/ml
süstevesi 4319
Gaasimullide tootmine Sobimatu
Süsteravim Ciclosporin 1 mg/ml
Süsteravim Mycophenolate mofetil 5,9 mg/ml
glükoos 5% 2192
Ühilduv
Süsteravim Ciclosporin 5 mg/ml
Süsteravim Telavancin hydrochloride 7.5 mg/ml
glükoos 5% 3254
Ühilduv
Süsteravim Ciclosporin
naatriumkloriid 0.9% 3229
Ühilduv
Süsteravim Ciclosporin 5 mg/ml
Süsteravim Micafungin 1.5 mg/ml
naatriumkloriid 0.9% 2108
Täpsustamata sobimatus Sobimatu
Süsteravim Ciclosporin 50 mg/ml
Süsteravim N-acetylcysteine 200 mg/ml
mitte ükski 3766
Kohene sade Sobimatu
Süsteravim Ciclosporin 50 mg/ml
Süsteravim Naloxone hydrochloride 0.4 mg/ml
mitte ükski 3408
Kohene sade Sobimatu
Süsteravim Ciclosporin
Süsteravim Pantoprazole sodium
2090
Ühilduv
Süsteravim Ciclosporin 5 mg/ml
Süsteravim Propofol 10 mg/ml
mitte ükski 300
Kohene sade Sobimatu
Süsteravim Ciclosporin 50 mg/ml
Süsteravim Salbutamol sulfate 1 mg/ml
mitte ükski 3216
Ühilduv
Süsteravim Ciclosporin 5 mg/ml
Süsteravim Sargramostim 6 §15 µg/ml
naatriumkloriid 0.9% 891
Kohene hägusus Sobimatu
Süsteravim Ciclosporin 5 mg/ml
Süsteravim Tedizolid phosphate 0.8 mg/ml
naatriumkloriid 0.9% 3827
Kohene hägusus Sobimatu
Süsteravim Ciclosporin 5 mg/ml
Süsteravim Telavancin hydrochloride 7,5 mg/ml
naatriumkloriid 0.9% 3254
Kohene sade Sobimatu
Süsteravim Ciclosporin 50 mg/ml
Süsteravim Thiopental sodium 25 mg/ml
naatriumkloriid 0.9% 3767

  Mentions Légales