Letztes “update” :
27/01/2026
Immunsuppressivum   Ciclosporin  
Injektion
Augentropfen Lösung zum Einnehmen Salben
Stabilität der Lösung Gemengestabilität Stabilitätbeeinflussende Faktoren Kompatibilitäten Applikationsart Literaturverzeichnis pdf
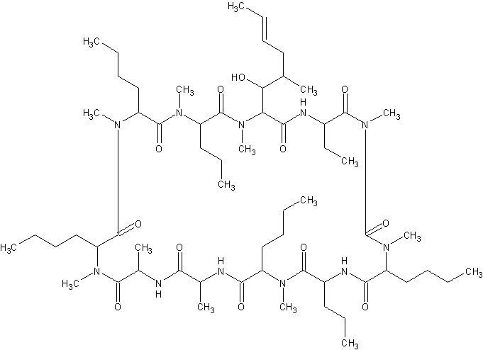
   Chemische Struktur  

Handelsmarke   Handelsmarke     

Handelsnamen sind als beispielhaft anzusehen. Sonstige Bestandteile können je nach Hersteller oder Land verschieden sein

Cyclosporine Kanada, Vereinigte Staaten von Amerika
Graftin Indien
Sandimmum Argentinien, Australien, Belgien, Chile, Dänemark, Deutschland, Finnland, Griechenland, Großbritannien, Iran, Irland, Island, Italien, Kolumbien, Luxemburg, Malaysia, Marokko, Mexiko, Neuseeland, Norwegen, Österreich, Peru, Polen, Portugal, Saudi-Arabien, Schweden, Schweiz, Spanien, Tunesien, Türkei, Ungarn, Vereinigte Arabische Emirate
Kompatibilitäten   Injektion   Kompatibilitäten : Ciclosporin              
Dieser Bildschirm zeigt die Kompatibilitäten oder Inkompatibilitäten mit der Art der Inkompatibilität (hier: Ausfällung, Farbänderung, Modifikation einer Emulsion usw.) an. Die hier gezeigten Kompatibilitäten sind meist nur physikalisch, wobei die chemische Stabilität jedes Moleküls selten bewertet wird. Die Bewertung dieser Gemische wurde untersucht, um die Möglichkeit einer Verabreichung über eine Y-Verbindung zu berücksichtigen. Diese Daten können daher nicht zur Herstellung von Mischungen im Voraus in Beuteln oder Spritzen verwendet werden. Sie finden diese Informationen auf dem Bildschirm "Stabilität in Mischung».
Molekül Lösungsmittel Literaturverzeichnis
kompatibel
Injektion Ciclosporin 2.5 mg/ml
Parenterale Ernährung (Lipid-frei) 3948
kompatibel
Injektion Ciclosporin 5 mg/ml
Injektion Ceftaroline fosamil 2,22 mg/ml
0,9% Natriumchlorid 3249
kompatibel
Injektion Ciclosporin 5 mg/ml
Injektion Ceftobiprole medocaril sodium 2 mg/ml
0,9% Natriumchlorid 2269
kompatibel
Injektion Ciclosporin 5 mg/ml
Injektion Doripenem 5 mg/ml
0,9% Natriumchlorid 2262
kompatibel
Injektion Ciclosporin 1 mg/ml
Injektion Insulin aspart 1 UI/ml
0,9% Natriumchlorid 1508
kompatibel
Injektion Ciclosporin 2 mg/ml
Injektion Magnesium sulfate 30 mg/ml
5% Glucose 291
Sofortiger Niederschlag nicht kompatibel
Injektion Ciclosporin 5 mg/ml
Parenterale Ernährung (mit Lipiden) 1415
kompatibel
Injektion Ciclosporin 5 mg/ml
Injektion Anidulafungin 0.5 mg/ml
5% Glucose 1982
Sofortige Trübung nicht kompatibel
Injektion Ciclosporin 50 mg/ml
Injektion Ketamine hydrochloride 50 mg/ml
2109
Sofortiger Niederschlag nicht kompatibel
Injektion Ciclosporin 50 mg/ml
Ringer Lactat - Lösung 4603
Trübungsverlust nicht kompatibel
Injektion Ciclosporin 5 mg/ml
Injektion Amphotericin B cholesteryl sulfate complex 0.83 mg/ml
5% Glucose 921
kompatibel
Injektion Ciclosporin 5 mg/ml
Injektion Ceftaroline fosamil 2,22 mg/ml
5% Glucose 3249
kompatibel
Injektion Ciclosporin 5 mg/ml
Injektion Ceftobiprole medocaril sodium 2 mg/ml
Ringer Lactat - Lösung 2269
Sofortige Trübung nicht kompatibel
Injektion Ciclosporin 5 mg/ml
Injektion Ceftolozane / tazobactam 10/5 mg/ml
0,9% Natriumchlorid 3828
Sofortige Trübung nicht kompatibel
Injektion Ciclosporin 5 mg/ml
Injektion Ceftolozane / tazobactam 10/5 mg/ml
5% Glucose 3828
kompatibel
Injektion Ciclosporin 5 mg/ml
Injektion Doripenem 5 mg/ml
5% Glucose 2262
kompatibel
Injektion Ciclosporin 1 mg/ml
Injektion Insulin aspart 1 UI/ml
5% Glucose 1508
Sofortige Trübung nicht kompatibel
Injektion Ciclosporin 5 mg/ml
Injektion Isavuconazonium sulfate 1.5 mg/ml
5% Glucose 3829
Sofortige Trübung nicht kompatibel
Injektion Ciclosporin 5 mg/ml
Injektion Isavuconazonium sulfate 1.5 mg/ml
0,9% Natriumchlorid 3829
kompatibel
Injektion Ciclosporin 2,5 mg/ml
Parenterale Ernährung (mit Lipiden) 2730
Sofortige Trübung nicht kompatibel
Injektion Ciclosporin 50 mg/ml
Injektion Amoxicillin sodium / clavulanic acid 100/10 mg/ml
3824
kompatibel
Injektion Ciclosporin 1.2 mg/ml
Injektion Cefmetazole sodium 100 mg/ml
Wasser für injektable präparate 93
kompatibel
Injektion Ciclosporin 5 mg/ml
Injektion Ceftaroline fosamil 2,22 mg/ml
Ringer Lactat - Lösung 3249
kompatibel
Injektion Ciclosporin 5 mg/ml
Injektion Cloxacillin sodium 100 mg/ml
Wasser für injektable präparate 3012
kompatibel
Injektion Ciclosporin
Injektion Dimenhydrinate
2087
kompatibel
Injektion Ciclosporin 50 mg/ml
Injektion Ketamine hydrochloride 50 mg/ml
4389
kompatibel
Injektion Ciclosporin 5 mg/ml
Injektion Linezolid 2 mg/ml
Kein 1925
kompatibel
Injektion Ciclosporin
Parenterale Ernährung (Lipid-frei) 3985
Niederschlag nach 4 Stunden nicht kompatibel
Injektion Ciclosporin 5 mg/ml
Parenterale Ernährung (Lipid-frei) 301
kompatibel
Injektion Ciclosporin 2.5 mg/ml
Parenterale Ernährung (mit Lipiden) 3948
Sofortiger Niederschlag nicht kompatibel
Injektion Ciclosporin 1 mg/ml
Injektion Aciclovir sodium 5 mg/ml
0,9% Natriumchlorid 2335
Trübung in 4 Stunden nicht kompatibel
Injektion Ciclosporin 10 mg/ml
Injektion Atenolol 0,1 mg/ml
0,9% Natriumchlorid 4698
kompatibel
Injektion Ciclosporin 5 mg/ml
Injektion Caspofungin acetate 0,7 mg/ml
0,9% Natriumchlorid 2247
kompatibel
Injektion Ciclosporin 0,5 mg/ml
Injektion Ciprofloxacin lactate 2 mg/ml
0,9% Natriumchlorid 289
kompatibel
Injektion Ciclosporin 0,5 mg/ml
Parenterale Ernährung (mit Lipiden) 2730
kompatibel
Injektion Ciclosporin 1 mg/ml
Parenterale Ernährung (mit Lipiden) 2730
kompatibel
Injektion Ciclosporin 5 mg/ml
Injektion Ceftobiprole medocaril sodium 2 mg/ml
5% Glucose 2269
kompatibel
Injektion Ciclosporin 1.27 mg/ml
Injektion Defibrotide 8 mg/ml
0,9% Natriumchlorid 3728
kompatibel
Injektion Ciclosporin 5 mg/ml
Injektion Lansoprazole 0.55 mg/ml
0,9% Natriumchlorid 1625
kompatibel
Injektion Ciclosporin 1 mg/ml
Injektion Meropenem 10 mg/ml
5% Glucose 2335
Sofortige Trübung nicht kompatibel
Injektion Ciclosporin 5 mg/ml
Injektion Telavancin hydrochloride 7.5 mg/ml
Ringer Lactat - Lösung 3254
kompatibel
Injektion Ciclosporin
5% Glucose 3229
kompatibel
Injektion Ciclosporin 5 mg/ml
Injektion Meropenem 50 mg/ml
Wasser für injektable präparate 4319
Produktion von Gasblasen nicht kompatibel
Injektion Ciclosporin 1 mg/ml
Injektion Mycophenolate mofetil 5,9 mg/ml
5% Glucose 2192
kompatibel
Injektion Ciclosporin 5 mg/ml
Injektion Telavancin hydrochloride 7.5 mg/ml
5% Glucose 3254
kompatibel
Injektion Ciclosporin
0,9% Natriumchlorid 3229
kompatibel
Injektion Ciclosporin 5 mg/ml
Injektion Micafungin 1.5 mg/ml
0,9% Natriumchlorid 2108
Nicht spezifizierte Inkompatibilität nicht kompatibel
Injektion Ciclosporin 50 mg/ml
Injektion N-acetylcysteine 200 mg/ml
Kein 3766
Sofortiger Niederschlag nicht kompatibel
Injektion Ciclosporin 50 mg/ml
Injektion Naloxone hydrochloride 0.4 mg/ml
Kein 3408
Sofortiger Niederschlag nicht kompatibel
Injektion Ciclosporin
Injektion Pantoprazole sodium
2090
kompatibel
Injektion Ciclosporin 5 mg/ml
Injektion Propofol 10 mg/ml
Kein 300
Sofortiger Niederschlag nicht kompatibel
Injektion Ciclosporin 50 mg/ml
Injektion Salbutamol sulfate 1 mg/ml
Kein 3216
kompatibel
Injektion Ciclosporin 5 mg/ml
Injektion Sargramostim 6 §15 µg/ml
0,9% Natriumchlorid 891
Sofortige Trübung nicht kompatibel
Injektion Ciclosporin 5 mg/ml
Injektion Tedizolid phosphate 0.8 mg/ml
0,9% Natriumchlorid 3827
Sofortige Trübung nicht kompatibel
Injektion Ciclosporin 5 mg/ml
Injektion Telavancin hydrochloride 7,5 mg/ml
0,9% Natriumchlorid 3254
Sofortiger Niederschlag nicht kompatibel
Injektion Ciclosporin 50 mg/ml
Injektion Thiopental sodium 25 mg/ml
0,9% Natriumchlorid 3767

  Mentions Légales