Последно актуализиране :
27/01/2026
Имунопотискащ   Ciclosporin  
Инжекция/Инжекционен
Капки за очи Орален разтвор Унгвент/Унгвенти
Стабилност на разтвори Стабилност на смеси Фактори, повлияващи стабилността Съвместимост Път на въвеждане Библиография Pdf
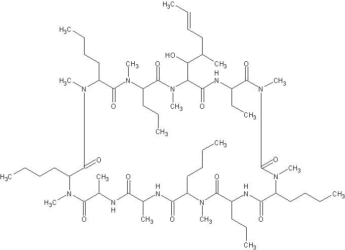
   Химична структура  

Търговско наименование   Търговско наименование     

Търговските имена са примерни и съставът на помощните вещества може да бъде различен в зависимост от държавата и лабораториите

Cyclosporine Канада, Съединени Американски щати / САЩ
Graftin Индия
Sandimmum Австралия, Австрия, Аржентина, Белгия, Великобритания, Германия, Гърция, Дания, Иран, Ирландия, Исландия, Испания, Италия, Колумбия, Люксенбург, Малайзия, Мароко, Мексико, нова Зеландия, Норвегия, Обединени арабски емирства, Перу, Полша, Португалия, Саудитска Арабия, Тунис, Турция, Унгария, Финландия, Чили, Швейцария, Швеция
Съвместимост   Инжекция/Инжекционен   Съвместимост : Ciclosporin              
Този екран показва съвместимостта или несъвместимостта с, в този случай, вида на несъвместимостта (утаяване, промяна на цвета, модификация на емулсия и др.). Показаните тук съвместимости са предимно физически, като рядко се оценява химическата стабилност на всяка молекула. Оценката на тези смеси беше проучена, за да се разгледа възможността за приложение на Y-място на пациента. Тези данни не могат да се използват за предварително приготвяне на смеси в торбички или спринцовки. Този тип информация е достъпна на екрана "Стабилност в сместа".
Състав / молекула Разтворител Библиография
съвместим
Инжекция/Инжекционен Ciclosporin 2.5 mg/ml
Парентерално хранене (липидите безплатно) 3948
съвместим
Инжекция/Инжекционен Ciclosporin 5 mg/ml
Инжекция/Инжекционен Ceftaroline fosamil 2,22 mg/ml
Sodium chloride 0,9% 3249
съвместим
Инжекция/Инжекционен Ciclosporin 5 mg/ml
Инжекция/Инжекционен Ceftobiprole medocaril sodium 2 mg/ml
Sodium chloride 0,9% 2269
съвместим
Инжекция/Инжекционен Ciclosporin 5 mg/ml
Инжекция/Инжекционен Doripenem 5 mg/ml
Sodium chloride 0,9% 2262
съвместим
Инжекция/Инжекционен Ciclosporin 1 mg/ml
Инжекция/Инжекционен Insulin aspart 1 UI/ml
Sodium chloride 0,9% 1508
съвместим
Инжекция/Инжекционен Ciclosporin 2 mg/ml
Инжекция/Инжекционен Magnesium sulfate 30 mg/ml
Glucose 5% 291
Незабавни валежи Несъвместим
Инжекция/Инжекционен Ciclosporin 5 mg/ml
Парентерално хранене (с липиди) 1415
съвместим
Инжекция/Инжекционен Ciclosporin 5 mg/ml
Инжекция/Инжекционен Anidulafungin 0.5 mg/ml
Glucose 5% 1982
Незабавна мътност Несъвместим
Инжекция/Инжекционен Ciclosporin 50 mg/ml
Инжекция/Инжекционен Ketamine hydrochloride 50 mg/ml
2109
Незабавни валежи Несъвместим
Инжекция/Инжекционен Ciclosporin 50 mg/ml
Ринтер лактат 4603
Загуба на мътност Несъвместим
Инжекция/Инжекционен Ciclosporin 5 mg/ml
Инжекция/Инжекционен Amphotericin B cholesteryl sulfate complex 0.83 mg/ml
Glucose 5% 921
съвместим
Инжекция/Инжекционен Ciclosporin 5 mg/ml
Инжекция/Инжекционен Ceftaroline fosamil 2,22 mg/ml
Glucose 5% 3249
съвместим
Инжекция/Инжекционен Ciclosporin 5 mg/ml
Инжекция/Инжекционен Ceftobiprole medocaril sodium 2 mg/ml
Ринтер лактат 2269
Незабавна мътност Несъвместим
Инжекция/Инжекционен Ciclosporin 5 mg/ml
Инжекция/Инжекционен Ceftolozane / tazobactam 10/5 mg/ml
Sodium chloride 0,9% 3828
Незабавна мътност Несъвместим
Инжекция/Инжекционен Ciclosporin 5 mg/ml
Инжекция/Инжекционен Ceftolozane / tazobactam 10/5 mg/ml
Glucose 5% 3828
съвместим
Инжекция/Инжекционен Ciclosporin 5 mg/ml
Инжекция/Инжекционен Doripenem 5 mg/ml
Glucose 5% 2262
съвместим
Инжекция/Инжекционен Ciclosporin 1 mg/ml
Инжекция/Инжекционен Insulin aspart 1 UI/ml
Glucose 5% 1508
Незабавна мътност Несъвместим
Инжекция/Инжекционен Ciclosporin 5 mg/ml
Инжекция/Инжекционен Isavuconazonium sulfate 1.5 mg/ml
Glucose 5% 3829
Незабавна мътност Несъвместим
Инжекция/Инжекционен Ciclosporin 5 mg/ml
Инжекция/Инжекционен Isavuconazonium sulfate 1.5 mg/ml
Sodium chloride 0,9% 3829
съвместим
Инжекция/Инжекционен Ciclosporin 2,5 mg/ml
Парентерално хранене (с липиди) 2730
Незабавна мътност Несъвместим
Инжекция/Инжекционен Ciclosporin 50 mg/ml
Инжекция/Инжекционен Amoxicillin sodium / clavulanic acid 100/10 mg/ml
3824
съвместим
Инжекция/Инжекционен Ciclosporin 1.2 mg/ml
Инжекция/Инжекционен Cefmetazole sodium 100 mg/ml
Вода за инжекции 93
съвместим
Инжекция/Инжекционен Ciclosporin 5 mg/ml
Инжекция/Инжекционен Ceftaroline fosamil 2,22 mg/ml
Ринтер лактат 3249
съвместим
Инжекция/Инжекционен Ciclosporin 5 mg/ml
Инжекция/Инжекционен Cloxacillin sodium 100 mg/ml
Вода за инжекции 3012
съвместим
Инжекция/Инжекционен Ciclosporin
Инжекция/Инжекционен Dimenhydrinate
2087
съвместим
Инжекция/Инжекционен Ciclosporin 50 mg/ml
Инжекция/Инжекционен Ketamine hydrochloride 50 mg/ml
4389
съвместим
Инжекция/Инжекционен Ciclosporin 5 mg/ml
Инжекция/Инжекционен Linezolid 2 mg/ml
Няма 1925
съвместим
Инжекция/Инжекционен Ciclosporin
Парентерално хранене (липидите безплатно) 3985
Валежи след 4 часа Несъвместим
Инжекция/Инжекционен Ciclosporin 5 mg/ml
Парентерално хранене (липидите безплатно) 301
съвместим
Инжекция/Инжекционен Ciclosporin 2.5 mg/ml
Парентерално хранене (с липиди) 3948
Незабавни валежи Несъвместим
Инжекция/Инжекционен Ciclosporin 1 mg/ml
Инжекция/Инжекционен Aciclovir sodium 5 mg/ml
Sodium chloride 0,9% 2335
Мътност за 4 часа Несъвместим
Инжекция/Инжекционен Ciclosporin 10 mg/ml
Инжекция/Инжекционен Atenolol 0,1 mg/ml
Sodium chloride 0,9% 4698
съвместим
Инжекция/Инжекционен Ciclosporin 5 mg/ml
Инжекция/Инжекционен Caspofungin acetate 0,7 mg/ml
Sodium chloride 0,9% 2247
съвместим
Инжекция/Инжекционен Ciclosporin 0,5 mg/ml
Инжекция/Инжекционен Ciprofloxacin lactate 2 mg/ml
Sodium chloride 0,9% 289
съвместим
Инжекция/Инжекционен Ciclosporin 0,5 mg/ml
Парентерално хранене (с липиди) 2730
съвместим
Инжекция/Инжекционен Ciclosporin 1 mg/ml
Парентерално хранене (с липиди) 2730
съвместим
Инжекция/Инжекционен Ciclosporin 5 mg/ml
Инжекция/Инжекционен Ceftobiprole medocaril sodium 2 mg/ml
Glucose 5% 2269
съвместим
Инжекция/Инжекционен Ciclosporin 1.27 mg/ml
Инжекция/Инжекционен Defibrotide 8 mg/ml
Sodium chloride 0,9% 3728
съвместим
Инжекция/Инжекционен Ciclosporin 5 mg/ml
Инжекция/Инжекционен Lansoprazole 0.55 mg/ml
Sodium chloride 0,9% 1625
съвместим
Инжекция/Инжекционен Ciclosporin 1 mg/ml
Инжекция/Инжекционен Meropenem 10 mg/ml
Glucose 5% 2335
Незабавна мътност Несъвместим
Инжекция/Инжекционен Ciclosporin 5 mg/ml
Инжекция/Инжекционен Telavancin hydrochloride 7.5 mg/ml
Ринтер лактат 3254
съвместим
Инжекция/Инжекционен Ciclosporin
Glucose 5% 3229
съвместим
Инжекция/Инжекционен Ciclosporin 5 mg/ml
Инжекция/Инжекционен Meropenem 50 mg/ml
Вода за инжекции 4319
Производство на газови мехурчета Несъвместим
Инжекция/Инжекционен Ciclosporin 1 mg/ml
Инжекция/Инжекционен Mycophenolate mofetil 5,9 mg/ml
Glucose 5% 2192
съвместим
Инжекция/Инжекционен Ciclosporin 5 mg/ml
Инжекция/Инжекционен Telavancin hydrochloride 7.5 mg/ml
Glucose 5% 3254
съвместим
Инжекция/Инжекционен Ciclosporin
Sodium chloride 0,9% 3229
съвместим
Инжекция/Инжекционен Ciclosporin 5 mg/ml
Инжекция/Инжекционен Micafungin 1.5 mg/ml
Sodium chloride 0,9% 2108
Неопределена несъвместимост Несъвместим
Инжекция/Инжекционен Ciclosporin 50 mg/ml
Инжекция/Инжекционен N-acetylcysteine 200 mg/ml
Няма 3766
Незабавни валежи Несъвместим
Инжекция/Инжекционен Ciclosporin 50 mg/ml
Инжекция/Инжекционен Naloxone hydrochloride 0.4 mg/ml
Няма 3408
Незабавни валежи Несъвместим
Инжекция/Инжекционен Ciclosporin
Инжекция/Инжекционен Pantoprazole sodium
2090
съвместим
Инжекция/Инжекционен Ciclosporin 5 mg/ml
Инжекция/Инжекционен Propofol 10 mg/ml
Няма 300
Незабавни валежи Несъвместим
Инжекция/Инжекционен Ciclosporin 50 mg/ml
Инжекция/Инжекционен Salbutamol sulfate 1 mg/ml
Няма 3216
съвместим
Инжекция/Инжекционен Ciclosporin 5 mg/ml
Инжекция/Инжекционен Sargramostim 6 §15 µg/ml
Sodium chloride 0,9% 891
Незабавна мътност Несъвместим
Инжекция/Инжекционен Ciclosporin 5 mg/ml
Инжекция/Инжекционен Tedizolid phosphate 0.8 mg/ml
Sodium chloride 0,9% 3827
Незабавна мътност Несъвместим
Инжекция/Инжекционен Ciclosporin 5 mg/ml
Инжекция/Инжекционен Telavancin hydrochloride 7,5 mg/ml
Sodium chloride 0,9% 3254
Незабавни валежи Несъвместим
Инжекция/Инжекционен Ciclosporin 50 mg/ml
Инжекция/Инжекционен Thiopental sodium 25 mg/ml
Sodium chloride 0,9% 3767

  Mentions Légales