Ultimele actualizari :
27/01/2026
Imunosupresor   Ciclosporin  
Injectabil
colir Soluţie orală Unguente
Stabilitatea in solutie Stabilitatea in amestec Factorii care influenteaza stabilitatea Compatibilitate Microunde Bibliografie pdf
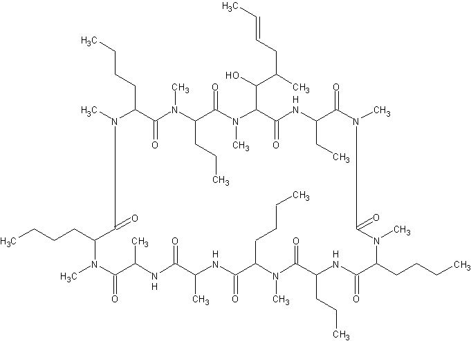
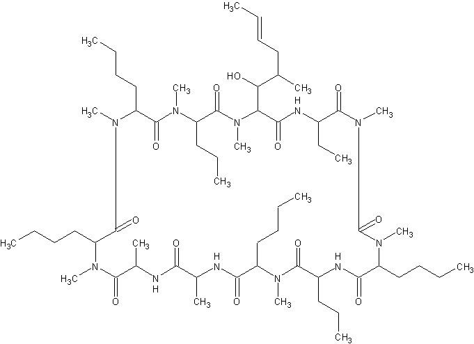
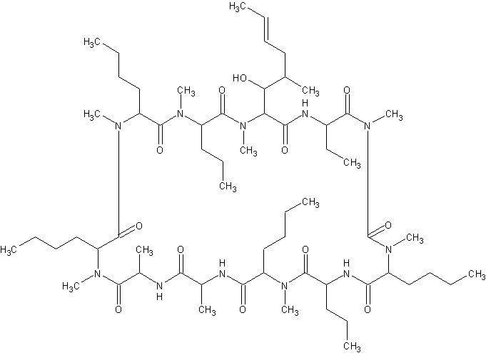
   Formula chimica  

Denumirea comerciala   Denumirea comerciala     

Trade names are indicative and excipients composition can be different depending on the country and manufacturers

Cyclosporine Canada, SUA
Graftin India
Sandimmum Arabia Saudita, Argentina, Australia, Austria, Belgia, Chilli, Columbia, Danemarca, Elvetia, Emiratele Arabe Unite, Finlanda, Germania, Grecia, Iran, Irlanda, Islanda, Italia, Luxemburg, Malaezia, Marea Britanie, Maroc, Mexic, Norvegia, noua Zeelandă, Peru, Polonia, Portugalia, Spania, Suedia, Tunisia, Turcia, Ungaria
Compatibilitate   Injectabil   Compatibilitate : Ciclosporin              
Acest ecran indică compatibilitățile sau incompatibilitățile cu, în acest caz, tipul de incompatibilitate (precipitații, schimbarea culorii, modificarea unei emulsii etc.). Compatibilitățile prezentate aici sunt în mare parte numai fizice, stabilitatea chimică a fiecărei molecule fiind rareori evaluată. Evaluarea acestor amestecuri a fost studiată pentru a lua în considerare posibilitatea administrării site-ului Y la pacient. Aceste date nu pot fi utilizate pentru prepararea în prealabil a amestecurilor în pungi sau seringi. Acest tip de informații este disponibil în ecranul „Stabilitate în amestec».
Molecula (substanta activa) Solvent Bibiografie
Compatibil
Injectabil Ciclosporin 2.5 mg/ml
Nutritie parenterala (amestec binar) 3948
Compatibil
Injectabil Ciclosporin 5 mg/ml
Injectabil Ceftaroline fosamil 2,22 mg/ml
clorura de sodiu 0,9% 3249
Compatibil
Injectabil Ciclosporin 5 mg/ml
Injectabil Ceftobiprole medocaril sodium 2 mg/ml
clorura de sodiu 0,9% 2269
Compatibil
Injectabil Ciclosporin 5 mg/ml
Injectabil Doripenem 5 mg/ml
clorura de sodiu 0,9% 2262
Compatibil
Injectabil Ciclosporin 1 mg/ml
Injectabil Insulin aspart 1 UI/ml
clorura de sodiu 0,9% 1508
Compatibil
Injectabil Ciclosporin 2 mg/ml
Injectabil Magnesium sulfate 30 mg/ml
Glucoza 5% 291
Precipitații imediate Incompatibil
Injectabil Ciclosporin 5 mg/ml
Nutriție parenterală (cu lipide) 1415
Compatibil
Injectabil Ciclosporin 5 mg/ml
Injectabil Anidulafungin 0.5 mg/ml
Glucoza 5% 1982
Turbiditate imediată Incompatibil
Injectabil Ciclosporin 50 mg/ml
Injectabil Ketamine hydrochloride 50 mg/ml
2109
Precipitații imediate Incompatibil
Injectabil Ciclosporin 50 mg/ml
Solutie Ringer lactat 4603
Pierderea turbidității Incompatibil
Injectabil Ciclosporin 5 mg/ml
Injectabil Amphotericin B cholesteryl sulfate complex 0.83 mg/ml
Glucoza 5% 921
Compatibil
Injectabil Ciclosporin 5 mg/ml
Injectabil Ceftaroline fosamil 2,22 mg/ml
Glucoza 5% 3249
Compatibil
Injectabil Ciclosporin 5 mg/ml
Injectabil Ceftobiprole medocaril sodium 2 mg/ml
Solutie Ringer lactat 2269
Turbiditate imediată Incompatibil
Injectabil Ciclosporin 5 mg/ml
Injectabil Ceftolozane / tazobactam 10/5 mg/ml
clorura de sodiu 0,9% 3828
Turbiditate imediată Incompatibil
Injectabil Ciclosporin 5 mg/ml
Injectabil Ceftolozane / tazobactam 10/5 mg/ml
Glucoza 5% 3828
Compatibil
Injectabil Ciclosporin 5 mg/ml
Injectabil Doripenem 5 mg/ml
Glucoza 5% 2262
Compatibil
Injectabil Ciclosporin 1 mg/ml
Injectabil Insulin aspart 1 UI/ml
Glucoza 5% 1508
Turbiditate imediată Incompatibil
Injectabil Ciclosporin 5 mg/ml
Injectabil Isavuconazonium sulfate 1.5 mg/ml
Glucoza 5% 3829
Turbiditate imediată Incompatibil
Injectabil Ciclosporin 5 mg/ml
Injectabil Isavuconazonium sulfate 1.5 mg/ml
clorura de sodiu 0,9% 3829
Compatibil
Injectabil Ciclosporin 2,5 mg/ml
Nutriție parenterală (cu lipide) 2730
Turbiditate imediată Incompatibil
Injectabil Ciclosporin 50 mg/ml
Injectabil Amoxicillin sodium / clavulanic acid 100/10 mg/ml
3824
Compatibil
Injectabil Ciclosporin 1.2 mg/ml
Injectabil Cefmetazole sodium 100 mg/ml
apa pentru preparate injectabile 93
Compatibil
Injectabil Ciclosporin 5 mg/ml
Injectabil Ceftaroline fosamil 2,22 mg/ml
Solutie Ringer lactat 3249
Compatibil
Injectabil Ciclosporin 5 mg/ml
Injectabil Cloxacillin sodium 100 mg/ml
apa pentru preparate injectabile 3012
Compatibil
Injectabil Ciclosporin
Injectabil Dimenhydrinate
2087
Compatibil
Injectabil Ciclosporin 50 mg/ml
Injectabil Ketamine hydrochloride 50 mg/ml
4389
Compatibil
Injectabil Ciclosporin 5 mg/ml
Injectabil Linezolid 2 mg/ml
fara 1925
Compatibil
Injectabil Ciclosporin
Nutritie parenterala (amestec binar) 3985
Precipitații după 4 ore Incompatibil
Injectabil Ciclosporin 5 mg/ml
Nutritie parenterala (amestec binar) 301
Compatibil
Injectabil Ciclosporin 2.5 mg/ml
Nutriție parenterală (cu lipide) 3948
Precipitații imediate Incompatibil
Injectabil Ciclosporin 1 mg/ml
Injectabil Aciclovir sodium 5 mg/ml
clorura de sodiu 0,9% 2335
Turbiditate în 4 ore Incompatibil
Injectabil Ciclosporin 10 mg/ml
Injectabil Atenolol 0,1 mg/ml
clorura de sodiu 0,9% 4698
Compatibil
Injectabil Ciclosporin 5 mg/ml
Injectabil Caspofungin acetate 0,7 mg/ml
clorura de sodiu 0,9% 2247
Compatibil
Injectabil Ciclosporin 0,5 mg/ml
Injectabil Ciprofloxacin lactate 2 mg/ml
clorura de sodiu 0,9% 289
Compatibil
Injectabil Ciclosporin 0,5 mg/ml
Nutriție parenterală (cu lipide) 2730
Compatibil
Injectabil Ciclosporin 1 mg/ml
Nutriție parenterală (cu lipide) 2730
Compatibil
Injectabil Ciclosporin 5 mg/ml
Injectabil Ceftobiprole medocaril sodium 2 mg/ml
Glucoza 5% 2269
Compatibil
Injectabil Ciclosporin 1.27 mg/ml
Injectabil Defibrotide 8 mg/ml
clorura de sodiu 0,9% 3728
Compatibil
Injectabil Ciclosporin 5 mg/ml
Injectabil Lansoprazole 0.55 mg/ml
clorura de sodiu 0,9% 1625
Compatibil
Injectabil Ciclosporin 1 mg/ml
Injectabil Meropenem 10 mg/ml
Glucoza 5% 2335
Turbiditate imediată Incompatibil
Injectabil Ciclosporin 5 mg/ml
Injectabil Telavancin hydrochloride 7.5 mg/ml
Solutie Ringer lactat 3254
Compatibil
Injectabil Ciclosporin
Glucoza 5% 3229
Compatibil
Injectabil Ciclosporin 5 mg/ml
Injectabil Meropenem 50 mg/ml
apa pentru preparate injectabile 4319
Producția de bule de gaz Incompatibil
Injectabil Ciclosporin 1 mg/ml
Injectabil Mycophenolate mofetil 5,9 mg/ml
Glucoza 5% 2192
Compatibil
Injectabil Ciclosporin 5 mg/ml
Injectabil Telavancin hydrochloride 7.5 mg/ml
Glucoza 5% 3254
Compatibil
Injectabil Ciclosporin
clorura de sodiu 0,9% 3229
Compatibil
Injectabil Ciclosporin 5 mg/ml
Injectabil Micafungin 1.5 mg/ml
clorura de sodiu 0,9% 2108
Incompatibilitate nespecificată Incompatibil
Injectabil Ciclosporin 50 mg/ml
Injectabil N-acetylcysteine 200 mg/ml
fara 3766
Precipitații imediate Incompatibil
Injectabil Ciclosporin 50 mg/ml
Injectabil Naloxone hydrochloride 0.4 mg/ml
fara 3408
Precipitații imediate Incompatibil
Injectabil Ciclosporin
Injectabil Pantoprazole sodium
2090
Compatibil
Injectabil Ciclosporin 5 mg/ml
Injectabil Propofol 10 mg/ml
fara 300
Precipitații imediate Incompatibil
Injectabil Ciclosporin 50 mg/ml
Injectabil Salbutamol sulfate 1 mg/ml
fara 3216
Compatibil
Injectabil Ciclosporin 5 mg/ml
Injectabil Sargramostim 6 §15 µg/ml
clorura de sodiu 0,9% 891
Turbiditate imediată Incompatibil
Injectabil Ciclosporin 5 mg/ml
Injectabil Tedizolid phosphate 0.8 mg/ml
clorura de sodiu 0,9% 3827
Turbiditate imediată Incompatibil
Injectabil Ciclosporin 5 mg/ml
Injectabil Telavancin hydrochloride 7,5 mg/ml
clorura de sodiu 0,9% 3254
Precipitații imediate Incompatibil
Injectabil Ciclosporin 50 mg/ml
Injectabil Thiopental sodium 25 mg/ml
clorura de sodiu 0,9% 3767

  Mentions Légales