Dernière mise à jour :
27/01/2026
Immunosuppresseur   Ciclosporin  
injectable
Collyre Forme dermique Solution buvable
Stabilité des solutions Stabilité en mélange Facteur influençant la stabilité Compatibilités Voie d’administration Bibliographie pdf
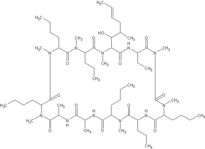
   Structure chimique  

Noms commerciaux   Noms commerciaux     

Les noms commerciaux sont donnés à titre indicatif et la composition en excipients peut être différente selon les pays et selon les laboratoires

Cyclosporine Canada, Etats Unis d’Amérique
Graftin Inde
Sandimmum Allemagne, Arabie Saoudite, Argentine, Australie, Autriche, Belgique, Chili, Colombie, Danemark, Emirats Arabes Unis , Espagne, Finlande, Grande Bretagne, Grèce, Hongrie, Iran, Irlande, Islande, Italie, Luxembourg, Malaisie, Maroc, Mexique, Norvège, Nouvelle Zélande, Pérou, Pologne, Portugal, Suède, Suisse, Tunisie, Turquie
Compatibilités   injectable   Compatibilités : Ciclosporin              
Cet écran indique les compatibilités ou incompatibilités avec, dans ce cas, le type d'incompatibilité (précipitation, changement de couleur, modification d'une émulsion, etc.). Les compatibilités présentées ici sont pour la plupart uniquement physiques, la stabilité chimique de chaque molécule étant rarement évaluée. L'évaluation de ces mélanges a été étudiée pour envisager la possibilité d'une administration en site Y au patient. Ces données ne peuvent pas être utilisées pour préparer des mélanges à l'avance dans des poches de perfusion ou des seringues. Ce type d'informations est disponible dans l'écran « Stabilité en mélange ».
Molécule Solvant Bibliographie
Compatible
injectable Ciclosporin 2.5 mg/ml
Nutrition parentérale (mélange binaire) 3948
Compatible
injectable Ciclosporin 5 mg/ml
injectable Ceftaroline fosamil 2,22 mg/ml
Chlorure de sodium 0,9% 3249
Compatible
injectable Ciclosporin 5 mg/ml
injectable Ceftobiprole medocaril sodium 2 mg/ml
Chlorure de sodium 0,9% 2269
Compatible
injectable Ciclosporin 5 mg/ml
injectable Doripenem 5 mg/ml
Chlorure de sodium 0,9% 2262
Compatible
injectable Ciclosporin 1 mg/ml
injectable Insulin aspart 1 UI/ml
Chlorure de sodium 0,9% 1508
Compatible
injectable Ciclosporin 2 mg/ml
injectable Magnesium sulfate 30 mg/ml
Glucose 5% 291
Précipitation immédiate Incompatible
injectable Ciclosporin 5 mg/ml
Nutrition parentérale (mélange ternaire) 1415
Compatible
injectable Ciclosporin 5 mg/ml
injectable Anidulafungin 0.5 mg/ml
Glucose 5% 1982
Turbidité immédiate Incompatible
injectable Ciclosporin 50 mg/ml
injectable Ketamine hydrochloride 50 mg/ml
2109
Précipitation immédiate Incompatible
injectable Ciclosporin 50 mg/ml
Ringer lactate 4603
Perte de turbidité Incompatible
injectable Ciclosporin 5 mg/ml
injectable Amphotericin B cholesteryl sulfate complex 0.83 mg/ml
Glucose 5% 921
Compatible
injectable Ciclosporin 5 mg/ml
injectable Ceftaroline fosamil 2,22 mg/ml
Glucose 5% 3249
Compatible
injectable Ciclosporin 5 mg/ml
injectable Ceftobiprole medocaril sodium 2 mg/ml
Ringer lactate 2269
Turbidité immédiate Incompatible
injectable Ciclosporin 5 mg/ml
injectable Ceftolozane / tazobactam 10/5 mg/ml
Chlorure de sodium 0,9% 3828
Turbidité immédiate Incompatible
injectable Ciclosporin 5 mg/ml
injectable Ceftolozane / tazobactam 10/5 mg/ml
Glucose 5% 3828
Compatible
injectable Ciclosporin 5 mg/ml
injectable Doripenem 5 mg/ml
Glucose 5% 2262
Compatible
injectable Ciclosporin 1 mg/ml
injectable Insulin aspart 1 UI/ml
Glucose 5% 1508
Turbidité immédiate Incompatible
injectable Ciclosporin 5 mg/ml
injectable Isavuconazonium sulfate 1.5 mg/ml
Glucose 5% 3829
Turbidité immédiate Incompatible
injectable Ciclosporin 5 mg/ml
injectable Isavuconazonium sulfate 1.5 mg/ml
Chlorure de sodium 0,9% 3829
Compatible
injectable Ciclosporin 2,5 mg/ml
Nutrition parentérale (mélange ternaire) 2730
Turbidité immédiate Incompatible
injectable Ciclosporin 50 mg/ml
injectable Amoxicillin sodium / clavulanic acid 100/10 mg/ml
3824
Compatible
injectable Ciclosporin 1.2 mg/ml
injectable Cefmetazole sodium 100 mg/ml
Eau pour préparation injectable 93
Compatible
injectable Ciclosporin 5 mg/ml
injectable Ceftaroline fosamil 2,22 mg/ml
Ringer lactate 3249
Compatible
injectable Ciclosporin 5 mg/ml
injectable Cloxacillin sodium 100 mg/ml
Eau pour préparation injectable 3012
Compatible
injectable Ciclosporin
injectable Dimenhydrinate
2087
Compatible
injectable Ciclosporin 50 mg/ml
injectable Ketamine hydrochloride 50 mg/ml
4389
Compatible
injectable Ciclosporin 5 mg/ml
injectable Linezolid 2 mg/ml
Aucun 1925
Compatible
injectable Ciclosporin
Nutrition parentérale (mélange binaire) 3985
Précipitation en 4 heures Incompatible
injectable Ciclosporin 5 mg/ml
Nutrition parentérale (mélange binaire) 301
Compatible
injectable Ciclosporin 2.5 mg/ml
Nutrition parentérale (mélange ternaire) 3948
Précipitation immédiate Incompatible
injectable Ciclosporin 1 mg/ml
injectable Aciclovir sodium 5 mg/ml
Chlorure de sodium 0,9% 2335
Turbidité en 4 heures Incompatible
injectable Ciclosporin 10 mg/ml
injectable Atenolol 0,1 mg/ml
Chlorure de sodium 0,9% 4698
Compatible
injectable Ciclosporin 5 mg/ml
injectable Caspofungin acetate 0,7 mg/ml
Chlorure de sodium 0,9% 2247
Compatible
injectable Ciclosporin 0,5 mg/ml
injectable Ciprofloxacin lactate 2 mg/ml
Chlorure de sodium 0,9% 289
Compatible
injectable Ciclosporin 0,5 mg/ml
Nutrition parentérale (mélange ternaire) 2730
Compatible
injectable Ciclosporin 1 mg/ml
Nutrition parentérale (mélange ternaire) 2730
Compatible
injectable Ciclosporin 5 mg/ml
injectable Ceftobiprole medocaril sodium 2 mg/ml
Glucose 5% 2269
Compatible
injectable Ciclosporin 1.27 mg/ml
injectable Defibrotide 8 mg/ml
Chlorure de sodium 0,9% 3728
Compatible
injectable Ciclosporin 5 mg/ml
injectable Lansoprazole 0.55 mg/ml
Chlorure de sodium 0,9% 1625
Compatible
injectable Ciclosporin 1 mg/ml
injectable Meropenem 10 mg/ml
Glucose 5% 2335
Turbidité immédiate Incompatible
injectable Ciclosporin 5 mg/ml
injectable Telavancin hydrochloride 7.5 mg/ml
Ringer lactate 3254
Compatible
injectable Ciclosporin
Glucose 5% 3229
Compatible
injectable Ciclosporin 5 mg/ml
injectable Meropenem 50 mg/ml
Eau pour préparation injectable 4319
Dégagement gazeux Incompatible
injectable Ciclosporin 1 mg/ml
injectable Mycophenolate mofetil 5,9 mg/ml
Glucose 5% 2192
Compatible
injectable Ciclosporin 5 mg/ml
injectable Telavancin hydrochloride 7.5 mg/ml
Glucose 5% 3254
Compatible
injectable Ciclosporin
Chlorure de sodium 0,9% 3229
Compatible
injectable Ciclosporin 5 mg/ml
injectable Micafungin 1.5 mg/ml
Chlorure de sodium 0,9% 2108
Incompatibilité non précisée Incompatible
injectable Ciclosporin 50 mg/ml
injectable N-acetylcysteine 200 mg/ml
Aucun 3766
Précipitation immédiate Incompatible
injectable Ciclosporin 50 mg/ml
injectable Naloxone hydrochloride 0.4 mg/ml
Aucun 3408
Précipitation immédiate Incompatible
injectable Ciclosporin
injectable Pantoprazole sodium
2090
Compatible
injectable Ciclosporin 5 mg/ml
injectable Propofol 10 mg/ml
Aucun 300
Précipitation immédiate Incompatible
injectable Ciclosporin 50 mg/ml
injectable Salbutamol sulfate 1 mg/ml
Aucun 3216
Compatible
injectable Ciclosporin 5 mg/ml
injectable Sargramostim 6 §15 µg/ml
Chlorure de sodium 0,9% 891
Turbidité immédiate Incompatible
injectable Ciclosporin 5 mg/ml
injectable Tedizolid phosphate 0.8 mg/ml
Chlorure de sodium 0,9% 3827
Turbidité immédiate Incompatible
injectable Ciclosporin 5 mg/ml
injectable Telavancin hydrochloride 7,5 mg/ml
Chlorure de sodium 0,9% 3254
Précipitation immédiate Incompatible
injectable Ciclosporin 50 mg/ml
injectable Thiopental sodium 25 mg/ml
Chlorure de sodium 0,9% 3767

  Mentions Légales