Utolsó frissítés :
27/01/2026
Immunszuppresszív szer   Ciclosporin  
Injekció
belsőleges oldat kenőcs Szemcsepp
Az oldatok stabilitása A keverékek stabilitása Stabilitást befolyásoló tényezők Kompatibilitás Az alkalmazás módja Irodalom pdf
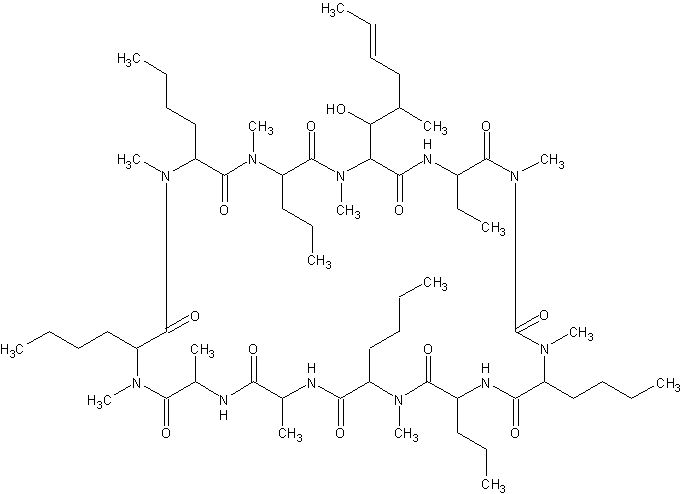
   Kémiai szerkezet   

Kereskedelmi név   Kereskedelmi név     

A kereskedelmi név meghatározó jelentőségű: a készítmények összetétele országonként, előállítóként eltérő lehet

Cyclosporine Amerikai Egyesült Államok, Kanada
Graftin India
Sandimmum Argentína, Ausztrália, Ausztria, Belgium, Chile, Colombia, Dánia, Egyesült Arab Emírségek, Finnország, Görögország, Irán, Írország, Izland, Lengyelország, Luxemburg, Magyarország, Malaysia, Marokkó, Mexikó, Nagy-Britannia, Németország, Norvégia, Olaszország, Peru, Portugália, Spanyolország, Svájc, Svédország, Szaúd-Arábiában, Törökország, Tunézia, új-Zéland
Kompatibilitás   Injekció   Kompatibilitás : Ciclosporin              
Ovdje su prikazane kompatibilnosti ili nekompatibilnosti s tipom nekompatibilnosti (taloženje, promjena boje, modifikacija emulzije itd.) u ovom slučaju. Kompatibilnosti prikazane ovdje najčešće su fizikalne dok se kemijska stabilnost molekule rijetko procjenjuje. Procjena ovih mikstura je proučavana kako bi se razmotrila mogućnost primjene lijeka putem Y-mjesta. Ovi se podaci ne smiju koristiti za pripremu mikstura unaprijed u vrećicama ili štrcaljkama. Ova vrsta informacije se može pronaći u odjeljku « stabilnost u miksturama ».
Vegyület Oldószer Irodalom
Összeegyeztethető
Injekció Ciclosporin 2.5 mg/ml
Parenterális táplálás (lipid-mentes) 3948
Összeegyeztethető
Injekció Ciclosporin 5 mg/ml
Injekció Ceftaroline fosamil 2,22 mg/ml
0,9% nátrium-klorid 3249
Összeegyeztethető
Injekció Ciclosporin 5 mg/ml
Injekció Ceftobiprole medocaril sodium 2 mg/ml
0,9% nátrium-klorid 2269
Összeegyeztethető
Injekció Ciclosporin 5 mg/ml
Injekció Doripenem 5 mg/ml
0,9% nátrium-klorid 2262
Összeegyeztethető
Injekció Ciclosporin 1 mg/ml
Injekció Insulin aspart 1 UI/ml
0,9% nátrium-klorid 1508
Összeegyeztethető
Injekció Ciclosporin 2 mg/ml
Injekció Magnesium sulfate 30 mg/ml
5% glükóz 291
Azonnali csapadék Összeegyeztethetetlen
Injekció Ciclosporin 5 mg/ml
Parenterális táplálás (lipid) 1415
Összeegyeztethető
Injekció Ciclosporin 5 mg/ml
Injekció Anidulafungin 0.5 mg/ml
5% glükóz 1982
Azonnali zavarosság Összeegyeztethetetlen
Injekció Ciclosporin 50 mg/ml
Injekció Ketamine hydrochloride 50 mg/ml
2109
Azonnali csapadék Összeegyeztethetetlen
Injekció Ciclosporin 50 mg/ml
Ringer-laktát oldat 4603
A zavarosság elvesztése Összeegyeztethetetlen
Injekció Ciclosporin 5 mg/ml
Injekció Amphotericin B cholesteryl sulfate complex 0.83 mg/ml
5% glükóz 921
Összeegyeztethető
Injekció Ciclosporin 5 mg/ml
Injekció Ceftaroline fosamil 2,22 mg/ml
5% glükóz 3249
Összeegyeztethető
Injekció Ciclosporin 5 mg/ml
Injekció Ceftobiprole medocaril sodium 2 mg/ml
Ringer-laktát oldat 2269
Azonnali zavarosság Összeegyeztethetetlen
Injekció Ciclosporin 5 mg/ml
Injekció Ceftolozane / tazobactam 10/5 mg/ml
0,9% nátrium-klorid 3828
Azonnali zavarosság Összeegyeztethetetlen
Injekció Ciclosporin 5 mg/ml
Injekció Ceftolozane / tazobactam 10/5 mg/ml
5% glükóz 3828
Összeegyeztethető
Injekció Ciclosporin 5 mg/ml
Injekció Doripenem 5 mg/ml
5% glükóz 2262
Összeegyeztethető
Injekció Ciclosporin 1 mg/ml
Injekció Insulin aspart 1 UI/ml
5% glükóz 1508
Azonnali zavarosság Összeegyeztethetetlen
Injekció Ciclosporin 5 mg/ml
Injekció Isavuconazonium sulfate 1.5 mg/ml
5% glükóz 3829
Azonnali zavarosság Összeegyeztethetetlen
Injekció Ciclosporin 5 mg/ml
Injekció Isavuconazonium sulfate 1.5 mg/ml
0,9% nátrium-klorid 3829
Összeegyeztethető
Injekció Ciclosporin 2,5 mg/ml
Parenterális táplálás (lipid) 2730
Azonnali zavarosság Összeegyeztethetetlen
Injekció Ciclosporin 50 mg/ml
Injekció Amoxicillin sodium / clavulanic acid 100/10 mg/ml
3824
Összeegyeztethető
Injekció Ciclosporin 1.2 mg/ml
Injekció Cefmetazole sodium 100 mg/ml
Injekcióhoz való víz 93
Összeegyeztethető
Injekció Ciclosporin 5 mg/ml
Injekció Ceftaroline fosamil 2,22 mg/ml
Ringer-laktát oldat 3249
Összeegyeztethető
Injekció Ciclosporin 5 mg/ml
Injekció Cloxacillin sodium 100 mg/ml
Injekcióhoz való víz 3012
Összeegyeztethető
Injekció Ciclosporin
Injekció Dimenhydrinate
2087
Összeegyeztethető
Injekció Ciclosporin 50 mg/ml
Injekció Ketamine hydrochloride 50 mg/ml
4389
Összeegyeztethető
Injekció Ciclosporin 5 mg/ml
Injekció Linezolid 2 mg/ml
Egy sem 1925
Összeegyeztethető
Injekció Ciclosporin
Parenterális táplálás (lipid-mentes) 3985
Csapadék 4 óra után Összeegyeztethetetlen
Injekció Ciclosporin 5 mg/ml
Parenterális táplálás (lipid-mentes) 301
Összeegyeztethető
Injekció Ciclosporin 2.5 mg/ml
Parenterális táplálás (lipid) 3948
Azonnali csapadék Összeegyeztethetetlen
Injekció Ciclosporin 1 mg/ml
Injekció Aciclovir sodium 5 mg/ml
0,9% nátrium-klorid 2335
Zavarosság 4 óra alatt Összeegyeztethetetlen
Injekció Ciclosporin 10 mg/ml
Injekció Atenolol 0,1 mg/ml
0,9% nátrium-klorid 4698
Összeegyeztethető
Injekció Ciclosporin 5 mg/ml
Injekció Caspofungin acetate 0,7 mg/ml
0,9% nátrium-klorid 2247
Összeegyeztethető
Injekció Ciclosporin 0,5 mg/ml
Injekció Ciprofloxacin lactate 2 mg/ml
0,9% nátrium-klorid 289
Összeegyeztethető
Injekció Ciclosporin 0,5 mg/ml
Parenterális táplálás (lipid) 2730
Összeegyeztethető
Injekció Ciclosporin 1 mg/ml
Parenterális táplálás (lipid) 2730
Összeegyeztethető
Injekció Ciclosporin 5 mg/ml
Injekció Ceftobiprole medocaril sodium 2 mg/ml
5% glükóz 2269
Összeegyeztethető
Injekció Ciclosporin 1.27 mg/ml
Injekció Defibrotide 8 mg/ml
0,9% nátrium-klorid 3728
Összeegyeztethető
Injekció Ciclosporin 5 mg/ml
Injekció Lansoprazole 0.55 mg/ml
0,9% nátrium-klorid 1625
Összeegyeztethető
Injekció Ciclosporin 1 mg/ml
Injekció Meropenem 10 mg/ml
5% glükóz 2335
Azonnali zavarosság Összeegyeztethetetlen
Injekció Ciclosporin 5 mg/ml
Injekció Telavancin hydrochloride 7.5 mg/ml
Ringer-laktát oldat 3254
Összeegyeztethető
Injekció Ciclosporin
5% glükóz 3229
Összeegyeztethető
Injekció Ciclosporin 5 mg/ml
Injekció Meropenem 50 mg/ml
Injekcióhoz való víz 4319
Gázbuborékok előállítása Összeegyeztethetetlen
Injekció Ciclosporin 1 mg/ml
Injekció Mycophenolate mofetil 5,9 mg/ml
5% glükóz 2192
Összeegyeztethető
Injekció Ciclosporin 5 mg/ml
Injekció Telavancin hydrochloride 7.5 mg/ml
5% glükóz 3254
Összeegyeztethető
Injekció Ciclosporin
0,9% nátrium-klorid 3229
Összeegyeztethető
Injekció Ciclosporin 5 mg/ml
Injekció Micafungin 1.5 mg/ml
0,9% nátrium-klorid 2108
Meghatározatlan összeférhetetlenség Összeegyeztethetetlen
Injekció Ciclosporin 50 mg/ml
Injekció N-acetylcysteine 200 mg/ml
Egy sem 3766
Azonnali csapadék Összeegyeztethetetlen
Injekció Ciclosporin 50 mg/ml
Injekció Naloxone hydrochloride 0.4 mg/ml
Egy sem 3408
Azonnali csapadék Összeegyeztethetetlen
Injekció Ciclosporin
Injekció Pantoprazole sodium
2090
Összeegyeztethető
Injekció Ciclosporin 5 mg/ml
Injekció Propofol 10 mg/ml
Egy sem 300
Azonnali csapadék Összeegyeztethetetlen
Injekció Ciclosporin 50 mg/ml
Injekció Salbutamol sulfate 1 mg/ml
Egy sem 3216
Összeegyeztethető
Injekció Ciclosporin 5 mg/ml
Injekció Sargramostim 6 §15 µg/ml
0,9% nátrium-klorid 891
Azonnali zavarosság Összeegyeztethetetlen
Injekció Ciclosporin 5 mg/ml
Injekció Tedizolid phosphate 0.8 mg/ml
0,9% nátrium-klorid 3827
Azonnali zavarosság Összeegyeztethetetlen
Injekció Ciclosporin 5 mg/ml
Injekció Telavancin hydrochloride 7,5 mg/ml
0,9% nátrium-klorid 3254
Azonnali csapadék Összeegyeztethetetlen
Injekció Ciclosporin 50 mg/ml
Injekció Thiopental sodium 25 mg/ml
0,9% nátrium-klorid 3767

  Mentions Légales