Laatste update :
27/01/2026
Antibioticum   Netilmicin sulfate  
injecteerbaar geneesmiddel
Aerosol
Stabiliteit in oplossing Stabiliteit in mengsels Factoren die de stabiliteit beïnvloeden Verenigbaarheden Toedieningswijze Literatuur pdf
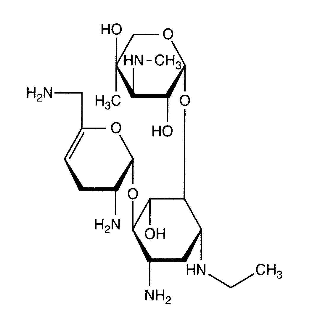
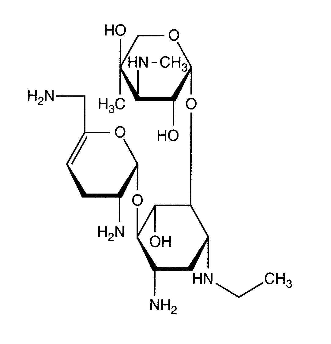
   Molecuulstructuur  

Merknamen in verschillende landen   Merknamen in verschillende landen     

Handelsnamen zijn slechts een indicatie; de samenstelling van hulpstoffen kan per land variëren afhankelijk van de fabrikant

Bactob Indië
Beltob Indië
Bramicil Italië
Brulamycin Hongarije
Eltol Indië
Fytobra Indië
Gernebcin Duitsland
Komitub Indië
Nebcin Australië, Egypte, Griekenland, Groot Britannië, nieuw Zeeland, Saudi-Arabië, Verenigde Arabische Emiraten
Nebcina Denemarken, Marokko, Noorwegen, Zweden
Nebcine Marokko
Nebicina Italië
Netilyn Finland, Zweden
Netromicina Portugal
Netromicine Frankrijk
Netromycine Griekenland, Polen, russisch, Turkije
Nettacin Italië
Obracin België, Luxemburg, Nederland, Zwitserland
Tobra Duitsland
Tobra Alex Egypte
Tobra Day nieuw Zeeland
Tobra Gobens Spanje
Tobracin Egypte
Tobradistin Spanje
Tobramicina Italië, Portugal, Spanje, Venezuela
Tobramina Brazilië
Tobramycin Australië, Canada, Duitsland, Groot Britannië, Ierland, Noorwegen, Saudi-Arabië, USA
Tobramycine Frankrijk, Ierland, Nederland
Tobrasix Oostenrijk
Tobrazid Duitsland
Tomycin Finland
Zetamicin Italië
Verenigbaarheden   injecteerbaar geneesmiddel   Verenigbaarheden : Netilmicin sulfate              
In dit scherm worden de verenigbaarheden en onverenigbaarheden weergegeven. In het geval van een onverenigbaarheid wordt ook het type (neerslag, kleurverandering, modificatie van een emulsie, etc) weergegeven. De weergegeven verenigbaarheden zijn meestal alleen op uiterlijk beoordeeld, er heeft zelden een chemische beoordeling van iedere component plaatsgevonden. De verenigbaarheden betreffen gelijktijdige toediening aan de patient middels de Y-site. De data kan niet gebruikt worden in de beoordeling van verenigbaarheden van componenten in infuuszakken of spuiten. Die informatie is te vinden onder ‘stabiliteit in mengsels’.
Stof Oplosmiddel Literatuur
Neerslag na 1 uur Onverenigbaar
injecteerbaar geneesmiddel Netilmicin sulfate 5 mg/ml
injecteerbaar geneesmiddel Allopurinol sodium 3 mg/ml
Natriumchloride 0,9% 307
Verenigbaar
injecteerbaar geneesmiddel Netilmicin sulfate 3 mg/ml
NaHCO3 1200
Verenigbaar
injecteerbaar geneesmiddel Netilmicin sulfate 5 mg/ml
injecteerbaar geneesmiddel Amifostine 10 mg/ml
Glucose 5% 3
Verenigbaar
injecteerbaar geneesmiddel Netilmicin sulfate 3 mg/ml
injecteerbaar geneesmiddel Aminocaproic acid 10 mg/ml
Natriumchloride 0,9% 1200
Verenigbaar
injecteerbaar geneesmiddel Netilmicin sulfate 3 mg/ml
injecteerbaar geneesmiddel Aminocaproic acid 10 mg/ml
Glucose 5% 1200
Verenigbaar
injecteerbaar geneesmiddel Netilmicin sulfate 5 mg/ml
injecteerbaar geneesmiddel Aminophylline 0,8 mg/ml
NaCl 0,45% glucose 5% 1236
Chemische instabiliteit Onverenigbaar
injecteerbaar geneesmiddel Netilmicin sulfate
injecteerbaar geneesmiddel Amoxicillin sodium
3527
Niet-gespecificeerde incompatibiliteit Onverenigbaar
injecteerbaar geneesmiddel Netilmicin sulfate
injecteerbaar geneesmiddel Amoxicillin sodium / clavulanic acid
3545
Onmiddellijke neerslag Onverenigbaar
injecteerbaar geneesmiddel Netilmicin sulfate 5 mg/ml
injecteerbaar geneesmiddel Amphotericin B cholesteryl sulfate complex 0,83 mg/ml
Glucose 5% 921
Verenigbaar
injecteerbaar geneesmiddel Netilmicin sulfate 3 mg/ml
injecteerbaar geneesmiddel Atropine sulfate 0.04 mg/ml
Natriumchloride 0,9% 1200
Verenigbaar
injecteerbaar geneesmiddel Netilmicin sulfate 3 mg/ml
injecteerbaar geneesmiddel Atropine sulfate 0.04 mg/ml
Glucose 5% 1200
Verenigbaar
injecteerbaar geneesmiddel Netilmicin sulfate 5 mg/ml
injecteerbaar geneesmiddel Aztreonam 40 mg/ml
Glucose 5% 99
Verenigbaar
injecteerbaar geneesmiddel Netilmicin sulfate 5 mg/ml
injecteerbaar geneesmiddel Calcium gluconate 40 mg/ml
NaCl 0,45% glucose 5% 1236
Niet-gespecificeerde incompatibiliteit Onverenigbaar
injecteerbaar geneesmiddel Netilmicin sulfate
injecteerbaar geneesmiddel Calcium gluconate
3644
Onverenigbaar
injecteerbaar geneesmiddel Netilmicin sulfate
injecteerbaar geneesmiddel Calcium gluconate
4964
Niet-gespecificeerde incompatibiliteit Onverenigbaar
injecteerbaar geneesmiddel Netilmicin sulfate
injecteerbaar geneesmiddel Cefamandole nafate
3546
Niet-gespecificeerde incompatibiliteit Onverenigbaar
injecteerbaar geneesmiddel Netilmicin sulfate
injecteerbaar geneesmiddel Cefepime dihydrochloride
3548
Niet-gespecificeerde incompatibiliteit Onverenigbaar
injecteerbaar geneesmiddel Netilmicin sulfate
injecteerbaar geneesmiddel Cefoperazone sodium
3544
Niet-gespecificeerde incompatibiliteit Onverenigbaar
injecteerbaar geneesmiddel Netilmicin sulfate
injecteerbaar geneesmiddel Ceftazidime
3883
Niet-gespecificeerde incompatibiliteit Onverenigbaar
injecteerbaar geneesmiddel Netilmicin sulfate
injecteerbaar geneesmiddel Ceftazidime
3543
Niet-gespecificeerde incompatibiliteit Onverenigbaar
injecteerbaar geneesmiddel Netilmicin sulfate
injecteerbaar geneesmiddel Ceftriaxone disodium
3523
Niet-gespecificeerde incompatibiliteit Onverenigbaar
injecteerbaar geneesmiddel Netilmicin sulfate
injecteerbaar geneesmiddel Cefuroxime sodium
3687
Verenigbaar
injecteerbaar geneesmiddel Netilmicin sulfate 3 mg/ml
injecteerbaar geneesmiddel Chlorpromazine hydrochloride 0.1 mg/ml
Glucose 5% 1200
Verenigbaar
injecteerbaar geneesmiddel Netilmicin sulfate 3 mg/ml
injecteerbaar geneesmiddel Chlorpromazine hydrochloride 0.1 mg/ml
Natriumchloride 0,9% 1200
Verenigbaar
injecteerbaar geneesmiddel Netilmicin sulfate 2,5 mg/ml
injecteerbaar geneesmiddel Ciprofloxacin lactate 2 mg/ml
Natriumchloride 0,9% 289
Verenigbaar
injecteerbaar geneesmiddel Netilmicin sulfate 5 mg/ml
injecteerbaar geneesmiddel Cisatracurium besylate 0.1 >> 5 mg/ml
Glucose 5% 299
Chemische instabiliteit Onverenigbaar
injecteerbaar geneesmiddel Netilmicin sulfate
injecteerbaar geneesmiddel Cisplatin
3578
Verenigbaar
injecteerbaar geneesmiddel Netilmicin sulfate 3 mg/ml
injecteerbaar geneesmiddel Clindamycin phosphate 9 mg/ml
Natriumchloride 0,9% 421
Verenigbaar
injecteerbaar geneesmiddel Netilmicin sulfate 3 mg/ml
injecteerbaar geneesmiddel Clindamycin phosphate 9 mg/ml
Glucose 5% 421
Verenigbaar
injecteerbaar geneesmiddel Netilmicin sulfate
injecteerbaar geneesmiddel Clindamycin phosphate
Glucose 5% 3526
Verenigbaar
injecteerbaar geneesmiddel Netilmicin sulfate
injecteerbaar geneesmiddel Clindamycin phosphate
Natriumchloride 0,9% 3526
Verenigbaar
injecteerbaar geneesmiddel Netilmicin sulfate 3 mg/ml
injecteerbaar geneesmiddel Dexamethasone sodium phosphate 0.08 mg/ml
Natriumchloride 0,9% 1200
Verenigbaar
injecteerbaar geneesmiddel Netilmicin sulfate 3 mg/ml
injecteerbaar geneesmiddel Dexamethasone sodium phosphate 0.08 mg/ml
Glucose 5% 1200
Verenigbaar
injecteerbaar geneesmiddel Netilmicin sulfate 3 mg/ml
injecteerbaar geneesmiddel Diazepam 0.04 mg/ml
Natriumchloride 0,9% 1200
Verenigbaar
injecteerbaar geneesmiddel Netilmicin sulfate 3 mg/ml
injecteerbaar geneesmiddel Diphenhydramine hydrochloride 0.4 mg/ml
Natriumchloride 0,9% 1200
Onverenigbaar
injecteerbaar geneesmiddel Netilmicin sulfate
Glucose 5% 421
Verenigbaar
injecteerbaar geneesmiddel Netilmicin sulfate 3 mg/ml
injecteerbaar geneesmiddel Diazepam 0.04 mg/ml
Glucose 5% 1200
Verenigbaar
injecteerbaar geneesmiddel Netilmicin sulfate 3 mg/ml
injecteerbaar geneesmiddel Diphenhydramine hydrochloride 0.4 mg/ml
Glucose 5% 1200
Verenigbaar
injecteerbaar geneesmiddel Netilmicin sulfate 5 mg/ml
injecteerbaar geneesmiddel Docetaxel 0.9 mg/ml
Glucose 5% 1754
Verenigbaar
injecteerbaar geneesmiddel Netilmicin sulfate 5 mg/ml
injecteerbaar geneesmiddel Doxorubicin hydrochloride liposome peg 0.4 mg/ml
Glucose 5% 251
Niet-gespecificeerde incompatibiliteit Onverenigbaar
injecteerbaar geneesmiddel Netilmicin sulfate
injecteerbaar geneesmiddel Erythromycin lactobionate
3674
Verenigbaar
injecteerbaar geneesmiddel Netilmicin sulfate 5 mg/ml
injecteerbaar geneesmiddel Etoposide phosphate 5 mg/ml
Glucose 5% 1410
Verenigbaar
injecteerbaar geneesmiddel Netilmicin sulfate 5 mg/ml
injecteerbaar geneesmiddel Filgrastim 30 µg/ml
Glucose 5% 244
Onmiddellijke neerslag Onverenigbaar
injecteerbaar geneesmiddel Netilmicin sulfate
injecteerbaar geneesmiddel Flucloxacillin sodium
3522
Verenigbaar
injecteerbaar geneesmiddel Netilmicin sulfate 5 mg/ml
injecteerbaar geneesmiddel Fludarabine phosphate 1 mg/ml
Glucose 5% 492
Onmiddellijke neerslag Onverenigbaar
injecteerbaar geneesmiddel Netilmicin sulfate 1,5 mg/ml
injecteerbaar geneesmiddel Furosemide 0,4 mg/ml
Glucose 5% 367
Onmiddellijke neerslag Onverenigbaar
injecteerbaar geneesmiddel Netilmicin sulfate 1,5 mg/ml
injecteerbaar geneesmiddel Furosemide 0,4 mg/ml
Natriumchloride 0,9% 367
Verenigbaar
injecteerbaar geneesmiddel Netilmicin sulfate 5 mg/ml
injecteerbaar geneesmiddel Gemcitabine hydrochloride 10 mg/ml
Natriumchloride 0,9% 1423
Verenigbaar
injecteerbaar geneesmiddel Netilmicin sulfate 5 mg/ml
injecteerbaar geneesmiddel Granisetron hydrochloride 0.05 mg/ml
Glucose 5% 182
Onmiddellijke neerslag Onverenigbaar
injecteerbaar geneesmiddel Netilmicin sulfate
injecteerbaar geneesmiddel Heparin sodium
1022
Niet-gespecificeerde incompatibiliteit Onverenigbaar
injecteerbaar geneesmiddel Netilmicin sulfate
injecteerbaar geneesmiddel Heparin sodium
3540
Verenigbaar
injecteerbaar geneesmiddel Netilmicin sulfate 3 mg/ml
injecteerbaar geneesmiddel Hydrocortisone sodium succinate 0.8 mg/ml
Natriumchloride 0,9% 1200
Verenigbaar
injecteerbaar geneesmiddel Netilmicin sulfate 5 mg/ml
Parenterale voeding (zonder vet) 301
Verenigbaar
injecteerbaar geneesmiddel Netilmicin sulfate 50 & 100 mg/ml
Parenterale voeding (zonder vet) 999
Verenigbaar
injecteerbaar geneesmiddel Netilmicin sulfate 5 mg/ml
Parenterale voeding (met lipiden) 1415
Verenigbaar
injecteerbaar geneesmiddel Netilmicin sulfate
Ringer-lactaat 1200
Verenigbaar
injecteerbaar geneesmiddel Netilmicin sulfate 3 mg/ml
injecteerbaar geneesmiddel Hydrocortisone sodium succinate 0.8 mg/ml
Glucose 5% 1200
Verenigbaar
injecteerbaar geneesmiddel Netilmicin sulfate 3 mg/ml
injecteerbaar geneesmiddel Iron dextran
Glucose 5% 1200
Verenigbaar
injecteerbaar geneesmiddel Netilmicin sulfate 3 mg/ml
injecteerbaar geneesmiddel Iron dextran
Natriumchloride 0,9% 1200
Verenigbaar
injecteerbaar geneesmiddel Netilmicin sulfate 3 mg/ml
injecteerbaar geneesmiddel Isoprenaline hydrochloride 0.4 mg/ml
Glucose 5% 1200
Verenigbaar
injecteerbaar geneesmiddel Netilmicin sulfate 3 mg/ml
injecteerbaar geneesmiddel Isoprenaline hydrochloride 0.4 mg/ml
Natriumchloride 0,9% 1200
Verenigbaar
injecteerbaar geneesmiddel Netilmicin sulfate 5 mg/ml
injecteerbaar geneesmiddel Linezolid 2 mg/ml
Geen 1925
Verenigbaar
injecteerbaar geneesmiddel Netilmicin sulfate 5 mg/ml
injecteerbaar geneesmiddel Melphalan 0.1 mg/ml
Natriumchloride 0,9% 169
Verenigbaar
injecteerbaar geneesmiddel Netilmicin sulfate 1 mg/ml
injecteerbaar geneesmiddel Metronidazole 5 mg/ml
Natriumchloride 0,9% 958
Verenigbaar
injecteerbaar geneesmiddel Netilmicin sulfate
injecteerbaar geneesmiddel Metronidazole
3594
Verenigbaar
injecteerbaar geneesmiddel Netilmicin sulfate 1.4 mg/ml
injecteerbaar geneesmiddel Metronidazole 5 mg/ml
Geen 1035
Verenigbaar
injecteerbaar geneesmiddel Netilmicin sulfate 3 mg/ml
injecteerbaar geneesmiddel Neostigmine methylsulfate 0.04 mg/ml
Glucose 5% 1200
Verenigbaar
injecteerbaar geneesmiddel Netilmicin sulfate 3 mg/ml
injecteerbaar geneesmiddel Neostigmine methylsulfate 0.04 mg/ml
Natriumchloride 0,9% 1200
Verenigbaar
injecteerbaar geneesmiddel Netilmicin sulfate 3 mg/ml
injecteerbaar geneesmiddel Norepinephrine bitartrate 0.064 mg/ml
Natriumchloride 0,9% 1200
Verenigbaar
injecteerbaar geneesmiddel Netilmicin sulfate 3 mg/ml
injecteerbaar geneesmiddel Norepinephrine bitartrate 0.064 mg/ml
Glucose 5% 1200
Verenigbaar
injecteerbaar geneesmiddel Netilmicin sulfate 3 mg/ml
injecteerbaar geneesmiddel Oxytocin
Glucose 5% 1200
Verenigbaar
injecteerbaar geneesmiddel Netilmicin sulfate 3 mg/ml
injecteerbaar geneesmiddel Oxytocin
Natriumchloride 0,9% 1200
Verenigbaar
injecteerbaar geneesmiddel Netilmicin sulfate 3 mg/ml
injecteerbaar geneesmiddel Phytomenadione 0.1 mg/ml
Natriumchloride 0,9% 1200
Verenigbaar
injecteerbaar geneesmiddel Netilmicin sulfate 3 mg/ml
injecteerbaar geneesmiddel Phytomenadione 0.1 mg/ml
Glucose 5% 1200
Chemische instabiliteit Onverenigbaar
injecteerbaar geneesmiddel Netilmicin sulfate
injecteerbaar geneesmiddel Piperacillin sodium / tazobactam
3586
Verenigbaar
injecteerbaar geneesmiddel Netilmicin sulfate 3 mg/ml
injecteerbaar geneesmiddel Potassium chloride
Glucose 5% 1200
Verenigbaar
injecteerbaar geneesmiddel Netilmicin sulfate 3 mg/ml
injecteerbaar geneesmiddel Potassium chloride
Natriumchloride 0,9% 1200
Verenigbaar
injecteerbaar geneesmiddel Netilmicin sulfate 3 mg/ml
injecteerbaar geneesmiddel Procainamide hydrochloride 4 mg/ml
Natriumchloride 0,9% 1200
Verenigbaar
injecteerbaar geneesmiddel Netilmicin sulfate 3 mg/ml
injecteerbaar geneesmiddel Procainamide hydrochloride 4 mg/ml
Glucose 5% 1200
Verenigbaar
injecteerbaar geneesmiddel Netilmicin sulfate 3 mg/ml
injecteerbaar geneesmiddel Promethazine hydrochloride 0.1 mg/ml
Glucose 5% 1200
Verenigbaar
injecteerbaar geneesmiddel Netilmicin sulfate 3 mg/ml
injecteerbaar geneesmiddel Promethazine hydrochloride 0.1 mg/ml
Natriumchloride 0,9% 1200
Onmiddellijke neerslag Onverenigbaar
injecteerbaar geneesmiddel Netilmicin sulfate 5 mg/ml
injecteerbaar geneesmiddel Propofol 10 mg/ml
Geen 300
Verenigbaar
injecteerbaar geneesmiddel Netilmicin sulfate 1 mg/ml
injecteerbaar geneesmiddel Ranitidine hydrochloride 0,5 mg/ml
Natriumchloride 0,9% 958
Verenigbaar
injecteerbaar geneesmiddel Netilmicin sulfate 5 mg/ml
injecteerbaar geneesmiddel Remifentanil hydrochloride 25 & 250 µg/ml
Natriumchloride 0,9% 59
Verenigbaar
injecteerbaar geneesmiddel Netilmicin sulfate 5 mg/ml
injecteerbaar geneesmiddel Sargramostim 10 µg/ml
Natriumchloride 0,9% 335
Verenigbaar
injecteerbaar geneesmiddel Netilmicin sulfate 5 mg/ml
injecteerbaar geneesmiddel Thiotepa 1 mg/ml
Glucose 5% 249
Verenigbaar
injecteerbaar geneesmiddel Netilmicin sulfate 3 mg/ml
injecteerbaar geneesmiddel Triflupromazine hydrochloride 0.4 mg/ml
Glucose 5% 1200
Verenigbaar
injecteerbaar geneesmiddel Netilmicin sulfate 5 mg/ml
injecteerbaar geneesmiddel Vinorelbine tartrate 1 mg/ml
Natriumchloride 0,9% 84
Verenigbaar
injecteerbaar geneesmiddel Netilmicin sulfate
Natriumchloride 0,9% 421
Niet-gespecificeerde incompatibiliteit Onverenigbaar
injecteerbaar geneesmiddel Netilmicin sulfate
injecteerbaar geneesmiddel Teicoplanine
3656
Niet-gespecificeerde incompatibiliteit Onverenigbaar
injecteerbaar geneesmiddel Netilmicin sulfate
injecteerbaar geneesmiddel Temocilline
2296
Verenigbaar
injecteerbaar geneesmiddel Netilmicin sulfate 5 mg/ml
injecteerbaar geneesmiddel Teniposide 0.1 mg/ml
Glucose 5% 905
Chemische instabiliteit Onverenigbaar
injecteerbaar geneesmiddel Netilmicin sulfate
injecteerbaar geneesmiddel Ticarcillin / clavulanic acid
3587
Verenigbaar
injecteerbaar geneesmiddel Netilmicin sulfate 3 mg/ml
injecteerbaar geneesmiddel Triflupromazine hydrochloride 0.4 mg/ml
Natriumchloride 0,9% 1200

  Mentions Légales