Последно актуализиране :
16/12/2025
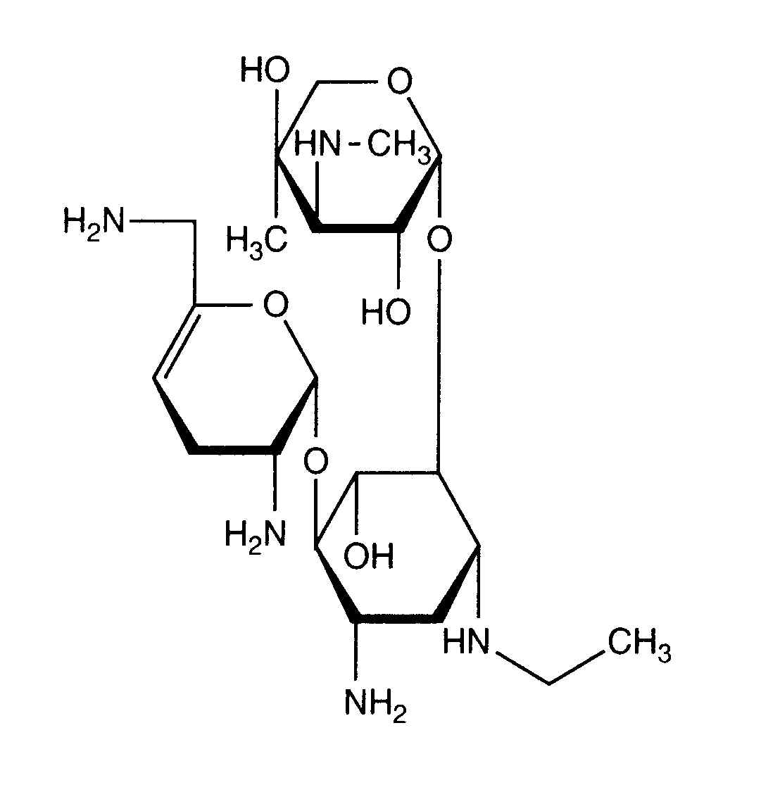
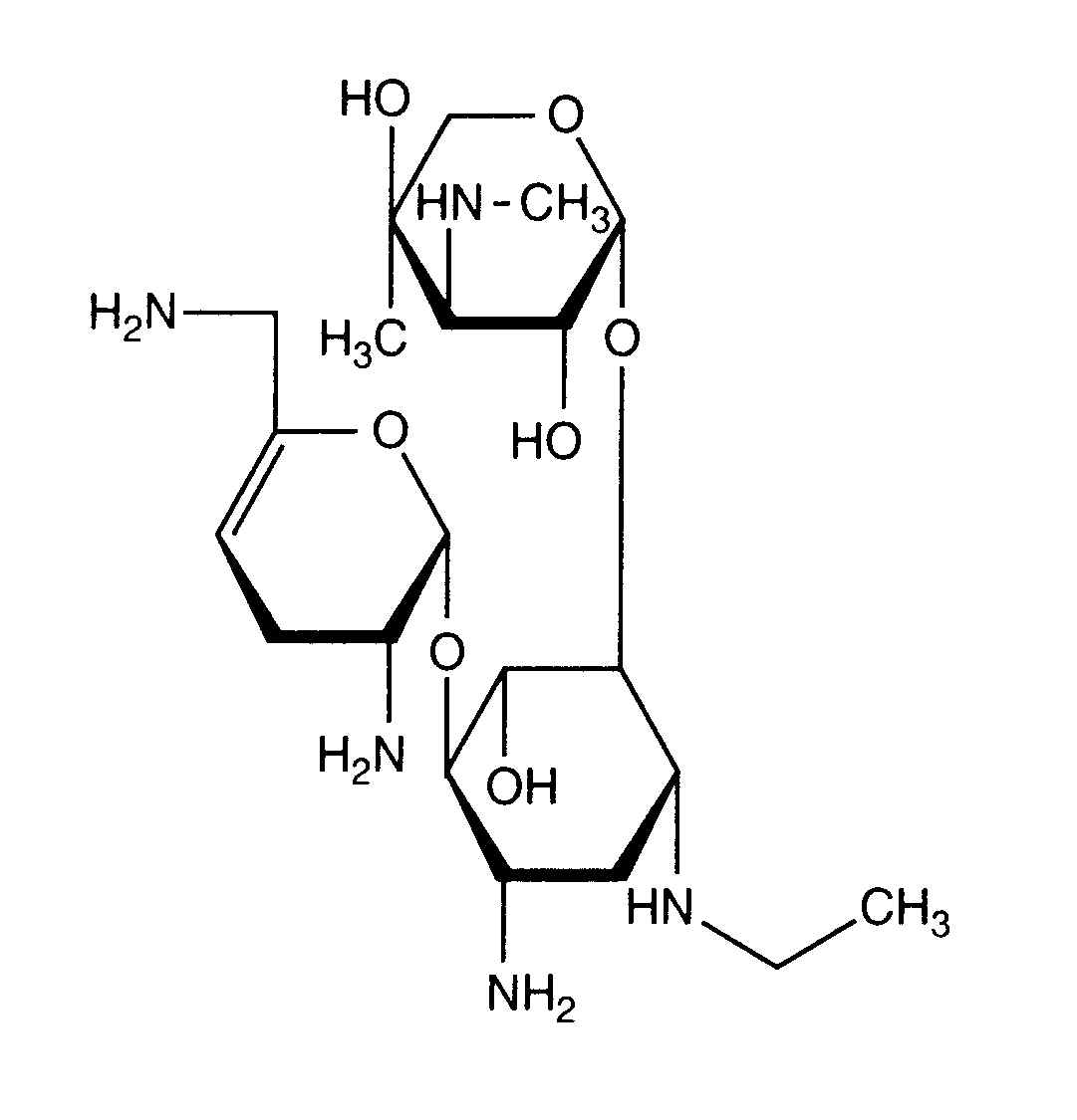
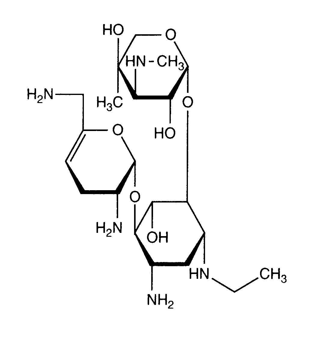
Антибиотик   Netilmicin sulfate  
Инжекция/Инжекционен
Аерозол
Стабилност на разтвори Стабилност на смеси Фактори, повлияващи стабилността Съвместимост Път на въвеждане Библиография Pdf
   Химична структура  

Търговско наименование   Търговско наименование     

Търговските имена са примерни и съставът на помощните вещества може да бъде различен в зависимост от държавата и лабораториите

Bactob Индия
Beltob Индия
Bramicil Италия
Brulamycin Унгария
Eltol Индия
Fytobra Индия
Gernebcin Германия
Komitub Индия
Nebcin Австралия, Великобритания, Гърция, Египет, нова Зеландия, Обединени арабски емирства, Саудитска Арабия
Nebcina Дания, Мароко, Норвегия, Швеция
Nebcine Мароко
Nebicina Италия
Netilyn Финландия, Швеция
Netromicina Португалия
Netromicine Франция
Netromycine Гърция, Полша, Русия, Турция
Nettacin Италия
Obracin Белгия, Люксенбург, Холандия, Швейцария
Tobra Германия
Tobra Alex Египет
Tobra Day нова Зеландия
Tobra Gobens Испания
Tobracin Египет
Tobradistin Испания
Tobramicina Венецуела, Испания, Италия, Португалия
Tobramina Бразилия
Tobramycin Австралия, Великобритания, Германия, Ирландия, Канада, Норвегия, Саудитска Арабия, Съединени Американски щати / САЩ
Tobramycine Ирландия, Франция, Холандия
Tobrasix Австрия
Tobrazid Германия
Tomycin Финландия
Zetamicin Италия
Път на въвеждане   Път на въвеждане :Netilmicin sulfate     
Voie
Интравенозно
Интравенозна инфузия
Интрамускулно
Интратекално

  Mentions Légales