Ostatnia aktualizacja :
27/04/2026
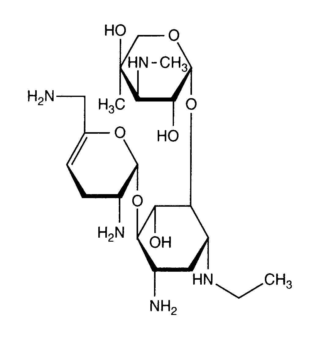
Antybiotyk   Netilmicin sulfate  
Injekcje
Aerozol
Trwałość roztworów Trwałość w mieszaninie Czynnik wpływający na trwałość Zgodność Sposób podania Bibliografia pdf
   Struktura chemiczna  

Nazwa handlowa   Nazwa handlowa     

Trade names are indicative and excipients composition can be different depending on the country and manufacturers

Bactob Indie
Beltob Indie
Bramicil Włochy
Brulamycin Węgry
Eltol Indie
Fytobra Indie
Gernebcin Niemcy
Komitub Indie
Nebcin Arabia Saudyjska, Australia, Egipt, Grecja, nowa Zelandia, Wielka Brytania, Zjednoczone Emiraty Arabskie
Nebcina Dania, Maroko, Norwegia, Szwecja
Nebcine Maroko
Nebicina Włochy
Netilyn Finlandia, Szwecja
Netromicina Portugalia
Netromicine Francja
Netromycine Grecja, Polska, rosyjski, Turcja
Nettacin Włochy
Obracin Belgia, Holandia, Luksemburg, Szwajcaria
Tobra Niemcy
Tobra Alex Egipt
Tobra Day nowa Zelandia
Tobra Gobens Hiszpania
Tobracin Egipt
Tobradistin Hiszpania
Tobramicina Hiszpania, Portugalia, Wenezuela, Włochy
Tobramina Brazylia
Tobramycin Arabia Saudyjska, Australia, Irlandia, Kanada, Niemcy, Norwegia, Stany Zjednoczone Ameryki, Wielka Brytania
Tobramycine Francja , Holandia, Irlandia
Tobrasix Austria
Tobrazid Niemcy
Tomycin Finlandia
Zetamicin Włochy
Zgodność   Injekcje   Zgodność : Netilmicin sulfate              
Ekran ten wskazuje na kompatybilności lub niezgodności z, w tym przypadku, rodzajem niezgodności (strącanie, zmiana koloru, modyfikacja emulsji, itp.). Przedstawione tutaj kompatybilności są głównie fizyczne, a stabilność chemiczna każdej cząsteczki jest rzadko oceniana. Ocenę tych mieszanin badano w celu rozważenia możliwości podania pacjentowi w miejscu Y. Dane te nie mogą być wykorzystywane do sporządzania mieszanin z wyprzedzeniem w workach lub strzykawkach. Tego typu informacje są dostępne na ekranie „Stabilność w mieszaninie”.
Związek Rozpuszczalnik Bibliografia
Opady po 1 godzinie Niekompatybilny
Injekcje Netilmicin sulfate 5 mg/ml
Injekcje Allopurinol sodium 3 mg/ml
Chlorek sodu 0,9% 307
Zgodny
Injekcje Netilmicin sulfate 3 mg/ml
NaHCO3 1200
Zgodny
Injekcje Netilmicin sulfate 5 mg/ml
Injekcje Amifostine 10 mg/ml
Glukoza 5% 3
Zgodny
Injekcje Netilmicin sulfate 3 mg/ml
Injekcje Aminocaproic acid 10 mg/ml
Chlorek sodu 0,9% 1200
Zgodny
Injekcje Netilmicin sulfate 3 mg/ml
Injekcje Aminocaproic acid 10 mg/ml
Glukoza 5% 1200
Zgodny
Injekcje Netilmicin sulfate 5 mg/ml
Injekcje Aminophylline 0,8 mg/ml
NaCl 0,45%  glukoza 5% 1236
Niestabilność chemiczna Niekompatybilny
Injekcje Netilmicin sulfate
Injekcje Amoxicillin sodium
3527
Nieokreślona niezgodność Niekompatybilny
Injekcje Netilmicin sulfate
Injekcje Amoxicillin sodium / clavulanic acid
3545
Natychmiastowe opady Niekompatybilny
Injekcje Netilmicin sulfate 5 mg/ml
Injekcje Amphotericin B cholesteryl sulfate complex 0,83 mg/ml
Glukoza 5% 921
Zgodny
Injekcje Netilmicin sulfate 3 mg/ml
Injekcje Atropine sulfate 0.04 mg/ml
Chlorek sodu 0,9% 1200
Zgodny
Injekcje Netilmicin sulfate 3 mg/ml
Injekcje Atropine sulfate 0.04 mg/ml
Glukoza 5% 1200
Zgodny
Injekcje Netilmicin sulfate 5 mg/ml
Injekcje Aztreonam 40 mg/ml
Glukoza 5% 99
Zgodny
Injekcje Netilmicin sulfate 5 mg/ml
Injekcje Calcium gluconate 40 mg/ml
NaCl 0,45%  glukoza 5% 1236
Nieokreślona niezgodność Niekompatybilny
Injekcje Netilmicin sulfate
Injekcje Calcium gluconate
3644
Niekompatybilny
Injekcje Netilmicin sulfate
Injekcje Calcium gluconate
4964
Nieokreślona niezgodność Niekompatybilny
Injekcje Netilmicin sulfate
Injekcje Cefamandole nafate
3546
Nieokreślona niezgodność Niekompatybilny
Injekcje Netilmicin sulfate
Injekcje Cefepime dihydrochloride
3548
Nieokreślona niezgodność Niekompatybilny
Injekcje Netilmicin sulfate
Injekcje Cefoperazone sodium
3544
Nieokreślona niezgodność Niekompatybilny
Injekcje Netilmicin sulfate
Injekcje Ceftazidime
3883
Nieokreślona niezgodność Niekompatybilny
Injekcje Netilmicin sulfate
Injekcje Ceftazidime
3543
Nieokreślona niezgodność Niekompatybilny
Injekcje Netilmicin sulfate
Injekcje Ceftriaxone disodium
3523
Nieokreślona niezgodność Niekompatybilny
Injekcje Netilmicin sulfate
Injekcje Cefuroxime sodium
3687
Zgodny
Injekcje Netilmicin sulfate 3 mg/ml
Injekcje Chlorpromazine hydrochloride 0.1 mg/ml
Glukoza 5% 1200
Zgodny
Injekcje Netilmicin sulfate 3 mg/ml
Injekcje Chlorpromazine hydrochloride 0.1 mg/ml
Chlorek sodu 0,9% 1200
Zgodny
Injekcje Netilmicin sulfate 2,5 mg/ml
Injekcje Ciprofloxacin lactate 2 mg/ml
Chlorek sodu 0,9% 289
Zgodny
Injekcje Netilmicin sulfate 5 mg/ml
Injekcje Cisatracurium besylate 0.1 >> 5 mg/ml
Glukoza 5% 299
Niestabilność chemiczna Niekompatybilny
Injekcje Netilmicin sulfate
Injekcje Cisplatin
3578
Zgodny
Injekcje Netilmicin sulfate 3 mg/ml
Injekcje Clindamycin phosphate 9 mg/ml
Chlorek sodu 0,9% 421
Zgodny
Injekcje Netilmicin sulfate 3 mg/ml
Injekcje Clindamycin phosphate 9 mg/ml
Glukoza 5% 421
Zgodny
Injekcje Netilmicin sulfate
Injekcje Clindamycin phosphate
Glukoza 5% 3526
Zgodny
Injekcje Netilmicin sulfate
Injekcje Clindamycin phosphate
Chlorek sodu 0,9% 3526
Zgodny
Injekcje Netilmicin sulfate 3 mg/ml
Injekcje Dexamethasone sodium phosphate 0.08 mg/ml
Chlorek sodu 0,9% 1200
Zgodny
Injekcje Netilmicin sulfate 3 mg/ml
Injekcje Dexamethasone sodium phosphate 0.08 mg/ml
Glukoza 5% 1200
Zgodny
Injekcje Netilmicin sulfate 3 mg/ml
Injekcje Diazepam 0.04 mg/ml
Chlorek sodu 0,9% 1200
Zgodny
Injekcje Netilmicin sulfate 3 mg/ml
Injekcje Diphenhydramine hydrochloride 0.4 mg/ml
Chlorek sodu 0,9% 1200
Niekompatybilny
Injekcje Netilmicin sulfate
Glukoza 5% 421
Zgodny
Injekcje Netilmicin sulfate 3 mg/ml
Injekcje Diazepam 0.04 mg/ml
Glukoza 5% 1200
Zgodny
Injekcje Netilmicin sulfate 3 mg/ml
Injekcje Diphenhydramine hydrochloride 0.4 mg/ml
Glukoza 5% 1200
Zgodny
Injekcje Netilmicin sulfate 5 mg/ml
Injekcje Docetaxel 0.9 mg/ml
Glukoza 5% 1754
Zgodny
Injekcje Netilmicin sulfate 5 mg/ml
Injekcje Doxorubicin hydrochloride liposome peg 0.4 mg/ml
Glukoza 5% 251
Nieokreślona niezgodność Niekompatybilny
Injekcje Netilmicin sulfate
Injekcje Erythromycin lactobionate
3674
Zgodny
Injekcje Netilmicin sulfate 5 mg/ml
Injekcje Etoposide phosphate 5 mg/ml
Glukoza 5% 1410
Zgodny
Injekcje Netilmicin sulfate 5 mg/ml
Injekcje Filgrastim 30 µg/ml
Glukoza 5% 244
Natychmiastowe opady Niekompatybilny
Injekcje Netilmicin sulfate
Injekcje Flucloxacillin sodium
3522
Zgodny
Injekcje Netilmicin sulfate 5 mg/ml
Injekcje Fludarabine phosphate 1 mg/ml
Glukoza 5% 492
Natychmiastowe opady Niekompatybilny
Injekcje Netilmicin sulfate 1,5 mg/ml
Injekcje Furosemide 0,4 mg/ml
Glukoza 5% 367
Natychmiastowe opady Niekompatybilny
Injekcje Netilmicin sulfate 1,5 mg/ml
Injekcje Furosemide 0,4 mg/ml
Chlorek sodu 0,9% 367
Zgodny
Injekcje Netilmicin sulfate 5 mg/ml
Injekcje Gemcitabine hydrochloride 10 mg/ml
Chlorek sodu 0,9% 1423
Zgodny
Injekcje Netilmicin sulfate 5 mg/ml
Injekcje Granisetron hydrochloride 0.05 mg/ml
Glukoza 5% 182
Natychmiastowe opady Niekompatybilny
Injekcje Netilmicin sulfate
Injekcje Heparin sodium
1022
Nieokreślona niezgodność Niekompatybilny
Injekcje Netilmicin sulfate
Injekcje Heparin sodium
3540
Zgodny
Injekcje Netilmicin sulfate 3 mg/ml
Injekcje Hydrocortisone sodium succinate 0.8 mg/ml
Chlorek sodu 0,9% 1200
Zgodny
Injekcje Netilmicin sulfate 5 mg/ml
Odżywianie pozajelitowe (mieszanina binarny) 301
Zgodny
Injekcje Netilmicin sulfate 50 & 100 mg/ml
Odżywianie pozajelitowe (mieszanina binarny) 999
Zgodny
Injekcje Netilmicin sulfate 5 mg/ml
Żywienie pozajelitowe (lipidami) 1415
Zgodny
Injekcje Netilmicin sulfate
Roztwór Ringera z mleczanem sodowym 1200
Zgodny
Injekcje Netilmicin sulfate 3 mg/ml
Injekcje Hydrocortisone sodium succinate 0.8 mg/ml
Glukoza 5% 1200
Zgodny
Injekcje Netilmicin sulfate 3 mg/ml
Injekcje Iron dextran
Glukoza 5% 1200
Zgodny
Injekcje Netilmicin sulfate 3 mg/ml
Injekcje Iron dextran
Chlorek sodu 0,9% 1200
Zgodny
Injekcje Netilmicin sulfate 3 mg/ml
Injekcje Isoprenaline hydrochloride 0.4 mg/ml
Glukoza 5% 1200
Zgodny
Injekcje Netilmicin sulfate 3 mg/ml
Injekcje Isoprenaline hydrochloride 0.4 mg/ml
Chlorek sodu 0,9% 1200
Zgodny
Injekcje Netilmicin sulfate 5 mg/ml
Injekcje Linezolid 2 mg/ml
Żaden 1925
Zgodny
Injekcje Netilmicin sulfate 5 mg/ml
Injekcje Melphalan 0.1 mg/ml
Chlorek sodu 0,9% 169
Zgodny
Injekcje Netilmicin sulfate 1 mg/ml
Injekcje Metronidazole 5 mg/ml
Chlorek sodu 0,9% 958
Zgodny
Injekcje Netilmicin sulfate
Injekcje Metronidazole
3594
Zgodny
Injekcje Netilmicin sulfate 1.4 mg/ml
Injekcje Metronidazole 5 mg/ml
Żaden 1035
Zgodny
Injekcje Netilmicin sulfate 3 mg/ml
Injekcje Neostigmine methylsulfate 0.04 mg/ml
Glukoza 5% 1200
Zgodny
Injekcje Netilmicin sulfate 3 mg/ml
Injekcje Neostigmine methylsulfate 0.04 mg/ml
Chlorek sodu 0,9% 1200
Zgodny
Injekcje Netilmicin sulfate 3 mg/ml
Injekcje Norepinephrine bitartrate 0.064 mg/ml
Chlorek sodu 0,9% 1200
Zgodny
Injekcje Netilmicin sulfate 3 mg/ml
Injekcje Norepinephrine bitartrate 0.064 mg/ml
Glukoza 5% 1200
Zgodny
Injekcje Netilmicin sulfate 3 mg/ml
Injekcje Oxytocin
Glukoza 5% 1200
Zgodny
Injekcje Netilmicin sulfate 3 mg/ml
Injekcje Oxytocin
Chlorek sodu 0,9% 1200
Zgodny
Injekcje Netilmicin sulfate 3 mg/ml
Injekcje Phytomenadione 0.1 mg/ml
Chlorek sodu 0,9% 1200
Zgodny
Injekcje Netilmicin sulfate 3 mg/ml
Injekcje Phytomenadione 0.1 mg/ml
Glukoza 5% 1200
Niestabilność chemiczna Niekompatybilny
Injekcje Netilmicin sulfate
Injekcje Piperacillin sodium / tazobactam
3586
Zgodny
Injekcje Netilmicin sulfate 3 mg/ml
Injekcje Potassium chloride
Glukoza 5% 1200
Zgodny
Injekcje Netilmicin sulfate 3 mg/ml
Injekcje Potassium chloride
Chlorek sodu 0,9% 1200
Zgodny
Injekcje Netilmicin sulfate 3 mg/ml
Injekcje Procainamide hydrochloride 4 mg/ml
Chlorek sodu 0,9% 1200
Zgodny
Injekcje Netilmicin sulfate 3 mg/ml
Injekcje Procainamide hydrochloride 4 mg/ml
Glukoza 5% 1200
Zgodny
Injekcje Netilmicin sulfate 3 mg/ml
Injekcje Promethazine hydrochloride 0.1 mg/ml
Glukoza 5% 1200
Zgodny
Injekcje Netilmicin sulfate 3 mg/ml
Injekcje Promethazine hydrochloride 0.1 mg/ml
Chlorek sodu 0,9% 1200
Natychmiastowe opady Niekompatybilny
Injekcje Netilmicin sulfate 5 mg/ml
Injekcje Propofol 10 mg/ml
Żaden 300
Zgodny
Injekcje Netilmicin sulfate 1 mg/ml
Injekcje Ranitidine hydrochloride 0,5 mg/ml
Chlorek sodu 0,9% 958
Zgodny
Injekcje Netilmicin sulfate 5 mg/ml
Injekcje Remifentanil hydrochloride 25 & 250 µg/ml
Chlorek sodu 0,9% 59
Zgodny
Injekcje Netilmicin sulfate 5 mg/ml
Injekcje Sargramostim 10 µg/ml
Chlorek sodu 0,9% 335
Zgodny
Injekcje Netilmicin sulfate 5 mg/ml
Injekcje Thiotepa 1 mg/ml
Glukoza 5% 249
Zgodny
Injekcje Netilmicin sulfate 3 mg/ml
Injekcje Triflupromazine hydrochloride 0.4 mg/ml
Glukoza 5% 1200
Zgodny
Injekcje Netilmicin sulfate 5 mg/ml
Injekcje Vinorelbine tartrate 1 mg/ml
Chlorek sodu 0,9% 84
Zgodny
Injekcje Netilmicin sulfate
Chlorek sodu 0,9% 421
Nieokreślona niezgodność Niekompatybilny
Injekcje Netilmicin sulfate
Injekcje Teicoplanine
3656
Nieokreślona niezgodność Niekompatybilny
Injekcje Netilmicin sulfate
Injekcje Temocilline
2296
Zgodny
Injekcje Netilmicin sulfate 5 mg/ml
Injekcje Teniposide 0.1 mg/ml
Glukoza 5% 905
Niestabilność chemiczna Niekompatybilny
Injekcje Netilmicin sulfate
Injekcje Ticarcillin / clavulanic acid
3587
Zgodny
Injekcje Netilmicin sulfate 3 mg/ml
Injekcje Triflupromazine hydrochloride 0.4 mg/ml
Chlorek sodu 0,9% 1200

  Mentions Légales