Poslední aktualizace :
27/04/2026
Antibiotikas   Netilmicin sulfate  
Įpurškimas
Aerozolis
Tirpalų stabilumas Mišinių stabilumas Stabilumą lemiantys veiksniai Suderinamumas Leidimo būdai Bibliografija pdf
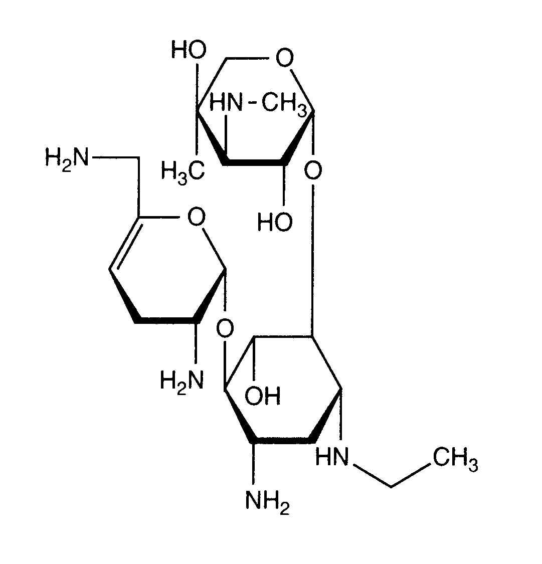
   Cheminė sandara  

Prekinis pavadinimas   Prekinis pavadinimas     

Trade names are indicative and excipients composition can be different depending on the country and manufacturers

Bactob Indija
Beltob Indija
Bramicil Italija
Brulamycin Vengrija
Eltol Indija
Fytobra Indija
Gernebcin Vokietija
Komitub Indija
Nebcin Australija, Didžioji Britanija, Egiptas, Graikija, Jungtiniai Arabų Emyratai, Naujojoje Zelandijoje, Saudo Arabija
Nebcina Danija, Marokas, Norvegija, Švedija
Nebcine Marokas
Nebicina Italija
Netilyn Suomija, Švedija
Netromicina Portugalija
Netromicine Prancūzija
Netromycine Graikija, Lenkija, rusų, Turkija
Nettacin Italija
Obracin Belgija, Liuksemburgas, Olandija, Šveicarija
Tobra Vokietija
Tobra Alex Egiptas
Tobra Day Naujojoje Zelandijoje
Tobra Gobens Ispanija
Tobracin Egiptas
Tobradistin Ispanija
Tobramicina Ispanija, Italija, Portugalija, Venesuela
Tobramina Brazilija
Tobramycin Airija, Australija, Didžioji Britanija, Jungtinės Amerikos Valstijos, Kanada, Norvegija, Saudo Arabija, Vokietija
Tobramycine Airija, Olandija, Prancūzija
Tobrasix Austrija
Tobrazid Vokietija
Tomycin Suomija
Zetamicin Italija
Suderinamumas   Įpurškimas   Suderinamumas : Netilmicin sulfate              
explication_incompatibilite_molecules
Molekulė Tirpiklis Nuorodos
Krituliai po 1 valandos Nesuderinamas
Įpurškimas Netilmicin sulfate 5 mg/ml
Įpurškimas Allopurinol sodium 3 mg/ml
Natrio chloridas 0,9% 307
Suderinamas
Įpurškimas Netilmicin sulfate 3 mg/ml
NaHCO3 1200
Suderinamas
Įpurškimas Netilmicin sulfate 5 mg/ml
Įpurškimas Amifostine 10 mg/ml
Gliukozė 5% 3
Suderinamas
Įpurškimas Netilmicin sulfate 3 mg/ml
Įpurškimas Aminocaproic acid 10 mg/ml
Natrio chloridas 0,9% 1200
Suderinamas
Įpurškimas Netilmicin sulfate 3 mg/ml
Įpurškimas Aminocaproic acid 10 mg/ml
Gliukozė 5% 1200
Suderinamas
Įpurškimas Netilmicin sulfate 5 mg/ml
Įpurškimas Aminophylline 0,8 mg/ml
NaCl 0,45% Gliukozė 5% 1236
Cheminis nestabilumas Nesuderinamas
Įpurškimas Netilmicin sulfate
Įpurškimas Amoxicillin sodium
3527
Nepatikslintas nesuderinamumas Nesuderinamas
Įpurškimas Netilmicin sulfate
Įpurškimas Amoxicillin sodium / clavulanic acid
3545
Nedelsiant krituliai Nesuderinamas
Įpurškimas Netilmicin sulfate 5 mg/ml
Įpurškimas Amphotericin B cholesteryl sulfate complex 0,83 mg/ml
Gliukozė 5% 921
Suderinamas
Įpurškimas Netilmicin sulfate 3 mg/ml
Įpurškimas Atropine sulfate 0.04 mg/ml
Natrio chloridas 0,9% 1200
Suderinamas
Įpurškimas Netilmicin sulfate 3 mg/ml
Įpurškimas Atropine sulfate 0.04 mg/ml
Gliukozė 5% 1200
Suderinamas
Įpurškimas Netilmicin sulfate 5 mg/ml
Įpurškimas Aztreonam 40 mg/ml
Gliukozė 5% 99
Suderinamas
Įpurškimas Netilmicin sulfate 5 mg/ml
Įpurškimas Calcium gluconate 40 mg/ml
NaCl 0,45% Gliukozė 5% 1236
Nepatikslintas nesuderinamumas Nesuderinamas
Įpurškimas Netilmicin sulfate
Įpurškimas Calcium gluconate
3644
Nesuderinamas
Įpurškimas Netilmicin sulfate
Įpurškimas Calcium gluconate
4964
Nepatikslintas nesuderinamumas Nesuderinamas
Įpurškimas Netilmicin sulfate
Įpurškimas Cefamandole nafate
3546
Nepatikslintas nesuderinamumas Nesuderinamas
Įpurškimas Netilmicin sulfate
Įpurškimas Cefepime dihydrochloride
3548
Nepatikslintas nesuderinamumas Nesuderinamas
Įpurškimas Netilmicin sulfate
Įpurškimas Cefoperazone sodium
3544
Nepatikslintas nesuderinamumas Nesuderinamas
Įpurškimas Netilmicin sulfate
Įpurškimas Ceftazidime
3883
Nepatikslintas nesuderinamumas Nesuderinamas
Įpurškimas Netilmicin sulfate
Įpurškimas Ceftazidime
3543
Nepatikslintas nesuderinamumas Nesuderinamas
Įpurškimas Netilmicin sulfate
Įpurškimas Ceftriaxone disodium
3523
Nepatikslintas nesuderinamumas Nesuderinamas
Įpurškimas Netilmicin sulfate
Įpurškimas Cefuroxime sodium
3687
Suderinamas
Įpurškimas Netilmicin sulfate 3 mg/ml
Įpurškimas Chlorpromazine hydrochloride 0.1 mg/ml
Gliukozė 5% 1200
Suderinamas
Įpurškimas Netilmicin sulfate 3 mg/ml
Įpurškimas Chlorpromazine hydrochloride 0.1 mg/ml
Natrio chloridas 0,9% 1200
Suderinamas
Įpurškimas Netilmicin sulfate 2,5 mg/ml
Įpurškimas Ciprofloxacin lactate 2 mg/ml
Natrio chloridas 0,9% 289
Suderinamas
Įpurškimas Netilmicin sulfate 5 mg/ml
Įpurškimas Cisatracurium besylate 0.1 >> 5 mg/ml
Gliukozė 5% 299
Cheminis nestabilumas Nesuderinamas
Įpurškimas Netilmicin sulfate
Įpurškimas Cisplatin
3578
Suderinamas
Įpurškimas Netilmicin sulfate 3 mg/ml
Įpurškimas Clindamycin phosphate 9 mg/ml
Natrio chloridas 0,9% 421
Suderinamas
Įpurškimas Netilmicin sulfate 3 mg/ml
Įpurškimas Clindamycin phosphate 9 mg/ml
Gliukozė 5% 421
Suderinamas
Įpurškimas Netilmicin sulfate
Įpurškimas Clindamycin phosphate
Gliukozė 5% 3526
Suderinamas
Įpurškimas Netilmicin sulfate
Įpurškimas Clindamycin phosphate
Natrio chloridas 0,9% 3526
Suderinamas
Įpurškimas Netilmicin sulfate 3 mg/ml
Įpurškimas Dexamethasone sodium phosphate 0.08 mg/ml
Natrio chloridas 0,9% 1200
Suderinamas
Įpurškimas Netilmicin sulfate 3 mg/ml
Įpurškimas Dexamethasone sodium phosphate 0.08 mg/ml
Gliukozė 5% 1200
Suderinamas
Įpurškimas Netilmicin sulfate 3 mg/ml
Įpurškimas Diazepam 0.04 mg/ml
Natrio chloridas 0,9% 1200
Suderinamas
Įpurškimas Netilmicin sulfate 3 mg/ml
Įpurškimas Diphenhydramine hydrochloride 0.4 mg/ml
Natrio chloridas 0,9% 1200
Nesuderinamas
Įpurškimas Netilmicin sulfate
Gliukozė 5% 421
Suderinamas
Įpurškimas Netilmicin sulfate 3 mg/ml
Įpurškimas Diazepam 0.04 mg/ml
Gliukozė 5% 1200
Suderinamas
Įpurškimas Netilmicin sulfate 3 mg/ml
Įpurškimas Diphenhydramine hydrochloride 0.4 mg/ml
Gliukozė 5% 1200
Suderinamas
Įpurškimas Netilmicin sulfate 5 mg/ml
Įpurškimas Docetaxel 0.9 mg/ml
Gliukozė 5% 1754
Suderinamas
Įpurškimas Netilmicin sulfate 5 mg/ml
Įpurškimas Doxorubicin hydrochloride liposome peg 0.4 mg/ml
Gliukozė 5% 251
Nepatikslintas nesuderinamumas Nesuderinamas
Įpurškimas Netilmicin sulfate
Įpurškimas Erythromycin lactobionate
3674
Suderinamas
Įpurškimas Netilmicin sulfate 5 mg/ml
Įpurškimas Etoposide phosphate 5 mg/ml
Gliukozė 5% 1410
Suderinamas
Įpurškimas Netilmicin sulfate 5 mg/ml
Įpurškimas Filgrastim 30 µg/ml
Gliukozė 5% 244
Nedelsiant krituliai Nesuderinamas
Įpurškimas Netilmicin sulfate
Įpurškimas Flucloxacillin sodium
3522
Suderinamas
Įpurškimas Netilmicin sulfate 5 mg/ml
Įpurškimas Fludarabine phosphate 1 mg/ml
Gliukozė 5% 492
Nedelsiant krituliai Nesuderinamas
Įpurškimas Netilmicin sulfate 1,5 mg/ml
Įpurškimas Furosemide 0,4 mg/ml
Gliukozė 5% 367
Nedelsiant krituliai Nesuderinamas
Įpurškimas Netilmicin sulfate 1,5 mg/ml
Įpurškimas Furosemide 0,4 mg/ml
Natrio chloridas 0,9% 367
Suderinamas
Įpurškimas Netilmicin sulfate 5 mg/ml
Įpurškimas Gemcitabine hydrochloride 10 mg/ml
Natrio chloridas 0,9% 1423
Suderinamas
Įpurškimas Netilmicin sulfate 5 mg/ml
Įpurškimas Granisetron hydrochloride 0.05 mg/ml
Gliukozė 5% 182
Nedelsiant krituliai Nesuderinamas
Įpurškimas Netilmicin sulfate
Įpurškimas Heparin sodium
1022
Nepatikslintas nesuderinamumas Nesuderinamas
Įpurškimas Netilmicin sulfate
Įpurškimas Heparin sodium
3540
Suderinamas
Įpurškimas Netilmicin sulfate 3 mg/ml
Įpurškimas Hydrocortisone sodium succinate 0.8 mg/ml
Natrio chloridas 0,9% 1200
Suderinamas
Įpurškimas Netilmicin sulfate 5 mg/ml
Parenterinis maitinimas (lipidų nemokamai) 301
Suderinamas
Įpurškimas Netilmicin sulfate 50 & 100 mg/ml
Parenterinis maitinimas (lipidų nemokamai) 999
Suderinamas
Įpurškimas Netilmicin sulfate 5 mg/ml
Parenteriniu būdu (su lipidų) 1415
Suderinamas
Įpurškimas Netilmicin sulfate
Ringerio laktato tirpalas 1200
Suderinamas
Įpurškimas Netilmicin sulfate 3 mg/ml
Įpurškimas Hydrocortisone sodium succinate 0.8 mg/ml
Gliukozė 5% 1200
Suderinamas
Įpurškimas Netilmicin sulfate 3 mg/ml
Įpurškimas Iron dextran
Gliukozė 5% 1200
Suderinamas
Įpurškimas Netilmicin sulfate 3 mg/ml
Įpurškimas Iron dextran
Natrio chloridas 0,9% 1200
Suderinamas
Įpurškimas Netilmicin sulfate 3 mg/ml
Įpurškimas Isoprenaline hydrochloride 0.4 mg/ml
Gliukozė 5% 1200
Suderinamas
Įpurškimas Netilmicin sulfate 3 mg/ml
Įpurškimas Isoprenaline hydrochloride 0.4 mg/ml
Natrio chloridas 0,9% 1200
Suderinamas
Įpurškimas Netilmicin sulfate 5 mg/ml
Įpurškimas Linezolid 2 mg/ml
Nėra 1925
Suderinamas
Įpurškimas Netilmicin sulfate 5 mg/ml
Įpurškimas Melphalan 0.1 mg/ml
Natrio chloridas 0,9% 169
Suderinamas
Įpurškimas Netilmicin sulfate 1 mg/ml
Įpurškimas Metronidazole 5 mg/ml
Natrio chloridas 0,9% 958
Suderinamas
Įpurškimas Netilmicin sulfate
Įpurškimas Metronidazole
3594
Suderinamas
Įpurškimas Netilmicin sulfate 1.4 mg/ml
Įpurškimas Metronidazole 5 mg/ml
Nėra 1035
Suderinamas
Įpurškimas Netilmicin sulfate 3 mg/ml
Įpurškimas Neostigmine methylsulfate 0.04 mg/ml
Gliukozė 5% 1200
Suderinamas
Įpurškimas Netilmicin sulfate 3 mg/ml
Įpurškimas Neostigmine methylsulfate 0.04 mg/ml
Natrio chloridas 0,9% 1200
Suderinamas
Įpurškimas Netilmicin sulfate 3 mg/ml
Įpurškimas Norepinephrine bitartrate 0.064 mg/ml
Natrio chloridas 0,9% 1200
Suderinamas
Įpurškimas Netilmicin sulfate 3 mg/ml
Įpurškimas Norepinephrine bitartrate 0.064 mg/ml
Gliukozė 5% 1200
Suderinamas
Įpurškimas Netilmicin sulfate 3 mg/ml
Įpurškimas Oxytocin
Gliukozė 5% 1200
Suderinamas
Įpurškimas Netilmicin sulfate 3 mg/ml
Įpurškimas Oxytocin
Natrio chloridas 0,9% 1200
Suderinamas
Įpurškimas Netilmicin sulfate 3 mg/ml
Įpurškimas Phytomenadione 0.1 mg/ml
Natrio chloridas 0,9% 1200
Suderinamas
Įpurškimas Netilmicin sulfate 3 mg/ml
Įpurškimas Phytomenadione 0.1 mg/ml
Gliukozė 5% 1200
Cheminis nestabilumas Nesuderinamas
Įpurškimas Netilmicin sulfate
Įpurškimas Piperacillin sodium / tazobactam
3586
Suderinamas
Įpurškimas Netilmicin sulfate 3 mg/ml
Įpurškimas Potassium chloride
Gliukozė 5% 1200
Suderinamas
Įpurškimas Netilmicin sulfate 3 mg/ml
Įpurškimas Potassium chloride
Natrio chloridas 0,9% 1200
Suderinamas
Įpurškimas Netilmicin sulfate 3 mg/ml
Įpurškimas Procainamide hydrochloride 4 mg/ml
Natrio chloridas 0,9% 1200
Suderinamas
Įpurškimas Netilmicin sulfate 3 mg/ml
Įpurškimas Procainamide hydrochloride 4 mg/ml
Gliukozė 5% 1200
Suderinamas
Įpurškimas Netilmicin sulfate 3 mg/ml
Įpurškimas Promethazine hydrochloride 0.1 mg/ml
Gliukozė 5% 1200
Suderinamas
Įpurškimas Netilmicin sulfate 3 mg/ml
Įpurškimas Promethazine hydrochloride 0.1 mg/ml
Natrio chloridas 0,9% 1200
Nedelsiant krituliai Nesuderinamas
Įpurškimas Netilmicin sulfate 5 mg/ml
Įpurškimas Propofol 10 mg/ml
Nėra 300
Suderinamas
Įpurškimas Netilmicin sulfate 1 mg/ml
Įpurškimas Ranitidine hydrochloride 0,5 mg/ml
Natrio chloridas 0,9% 958
Suderinamas
Įpurškimas Netilmicin sulfate 5 mg/ml
Įpurškimas Remifentanil hydrochloride 25 & 250 µg/ml
Natrio chloridas 0,9% 59
Suderinamas
Įpurškimas Netilmicin sulfate 5 mg/ml
Įpurškimas Sargramostim 10 µg/ml
Natrio chloridas 0,9% 335
Suderinamas
Įpurškimas Netilmicin sulfate 5 mg/ml
Įpurškimas Thiotepa 1 mg/ml
Gliukozė 5% 249
Suderinamas
Įpurškimas Netilmicin sulfate 3 mg/ml
Įpurškimas Triflupromazine hydrochloride 0.4 mg/ml
Gliukozė 5% 1200
Suderinamas
Įpurškimas Netilmicin sulfate 5 mg/ml
Įpurškimas Vinorelbine tartrate 1 mg/ml
Natrio chloridas 0,9% 84
Suderinamas
Įpurškimas Netilmicin sulfate
Natrio chloridas 0,9% 421
Nepatikslintas nesuderinamumas Nesuderinamas
Įpurškimas Netilmicin sulfate
Įpurškimas Teicoplanine
3656
Nepatikslintas nesuderinamumas Nesuderinamas
Įpurškimas Netilmicin sulfate
Įpurškimas Temocilline
2296
Suderinamas
Įpurškimas Netilmicin sulfate 5 mg/ml
Įpurškimas Teniposide 0.1 mg/ml
Gliukozė 5% 905
Cheminis nestabilumas Nesuderinamas
Įpurškimas Netilmicin sulfate
Įpurškimas Ticarcillin / clavulanic acid
3587
Suderinamas
Įpurškimas Netilmicin sulfate 3 mg/ml
Įpurškimas Triflupromazine hydrochloride 0.4 mg/ml
Natrio chloridas 0,9% 1200

  Mentions Légales