Τελευταία ενημέρωση :
27/04/2026
Αντιβιοτικό   Netilmicin sulfate  
Ενέσιμο
Αεροζόλ
Σταθερότητα διαλυμάτων Σταθερότητα σε μίγματα Παράγοντας που επηρεάζει τη σταθερότητα Συμβατότητες Τρόπος χορήγησης Βιβλιογραφία pdf
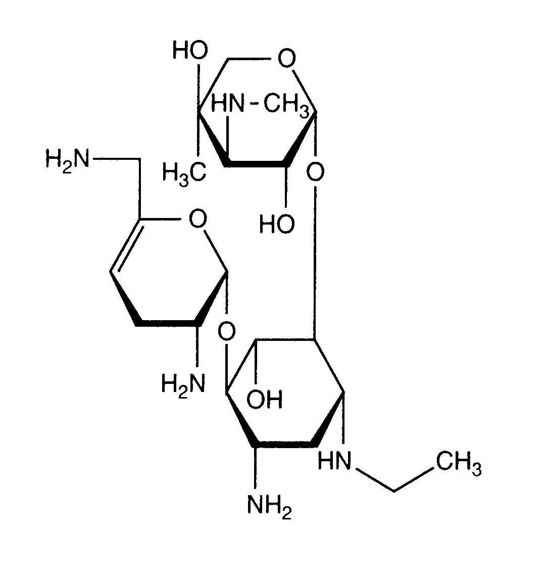
   χημική δομή  

Εμπορική ονομασία   Εμπορική ονομασία     

Οι εμπορικές ονομασίες είναι ενδεικτικές και η σύνθεση των εκδόχων μπορεί να διαφέρει ανάλογα με τη χώρα και τα εργαστήρια

Bactob Ινδία
Beltob Ινδία
Bramicil Ιταλία
Brulamycin Ουγγαρία
Eltol Ινδία
Fytobra Ινδία
Gernebcin Γερμανία
Komitub Ινδία
Nebcin Yhdistyneet arabiemiirikunnat, Αίγυπτος, Αυστραλία, Ελλάδα, Μεγάλη Βρετανία, νέα Ζηλανδία, Σαουδική Αραβία
Nebcina Δανία, Μαρόκο, Νορβηγία, Σουηδία
Nebcine Μαρόκο
Nebicina Ιταλία
Netilyn Σουηδία, Φινλανδία
Netromicina Πορτογαλία
Netromicine Γαλλία
Netromycine Ελλάδα, Πολωνία, Ρωσικά, Τουρκία
Nettacin Ιταλία
Obracin Βέλγιο, Ελβετία, Λουξεμβούργο, Ολλανδία
Tobra Γερμανία
Tobra Alex Αίγυπτος
Tobra Day νέα Ζηλανδία
Tobra Gobens Ισπανία
Tobracin Αίγυπτος
Tobradistin Ισπανία
Tobramicina Βενεζουέλα, Ισπανία, Ιταλία, Πορτογαλία
Tobramina Βραζιλία
Tobramycin Αυστραλία, Γερμανία, Η.Π.Α., Ιρλανδία, Καναδάς, Μεγάλη Βρετανία, Νορβηγία, Σαουδική Αραβία
Tobramycine Γαλλία, Ιρλανδία, Ολλανδία
Tobrasix Αυστρία
Tobrazid Γερμανία
Tomycin Φινλανδία
Zetamicin Ιταλία
Συμβατότητες    Ενέσιμο   Συμβατότητες : Netilmicin sulfate              
Σε αυτή την οθόνη εμφανίζονται οι συμβατότητες ή ασυμβατότητες. Σε αυτή την περίπτωση εμφανίζονται το είδος της ασυμβατότητας (ίζημα, αλλαγή χρώματος, μεταβολή γαλακτώματος, κλπ). Οι συμβατότητες που παρουσιάζονται εδώ είναι κυρίως φυσικές, ενώ η χημική σταθερότητα κάθε μορίου σπάνια περιλαμβάνεται. Η αξιολόγηση αυτών των μιγμάτων μελετήθηκε προκειμένου να εκτιμηθεί η πιθανότητα χορήγησης στον ασθενή στο Υ κέντρο. Τα δεδομένα αυτά δεν μπορούν να χρησιμοποιηθούν για την εκ των προτέρων δημιουργία μιγμάτων σε ασκούς ή σύριγγες. Αυτό το είδος πληροφορίας υπάρχει και μπορεί να αναζητηθεί στην οθόνη «Σταθερότητα σε μίγμα».
Συστατικό Διαλυτικό Βιβλιογραφία
Καταβύθιση μετά από 1 ώρα Ασύμβατες
Ενέσιμο Netilmicin sulfate 5 mg/ml
Ενέσιμο Allopurinol sodium 3 mg/ml
Χλωριούχο νάτριο 0,9% 307
Σύμφωνος
Ενέσιμο Netilmicin sulfate 3 mg/ml
NaHCO3 1200
Σύμφωνος
Ενέσιμο Netilmicin sulfate 5 mg/ml
Ενέσιμο Amifostine 10 mg/ml
Γλυκόζη 5% 3
Σύμφωνος
Ενέσιμο Netilmicin sulfate 3 mg/ml
Ενέσιμο Aminocaproic acid 10 mg/ml
Χλωριούχο νάτριο 0,9% 1200
Σύμφωνος
Ενέσιμο Netilmicin sulfate 3 mg/ml
Ενέσιμο Aminocaproic acid 10 mg/ml
Γλυκόζη 5% 1200
Σύμφωνος
Ενέσιμο Netilmicin sulfate 5 mg/ml
Ενέσιμο Aminophylline 0,8 mg/ml
NaCl 0,45% Γλυκόζη 5% 1236
Χημική αστάθεια Ασύμβατες
Ενέσιμο Netilmicin sulfate
Ενέσιμο Amoxicillin sodium
3527
Απροσδιόριστη ασυμβατότητα Ασύμβατες
Ενέσιμο Netilmicin sulfate
Ενέσιμο Amoxicillin sodium / clavulanic acid
3545
Άμεση βροχόπτωση Ασύμβατες
Ενέσιμο Netilmicin sulfate 5 mg/ml
Ενέσιμο Amphotericin B cholesteryl sulfate complex 0,83 mg/ml
Γλυκόζη 5% 921
Σύμφωνος
Ενέσιμο Netilmicin sulfate 3 mg/ml
Ενέσιμο Atropine sulfate 0.04 mg/ml
Χλωριούχο νάτριο 0,9% 1200
Σύμφωνος
Ενέσιμο Netilmicin sulfate 3 mg/ml
Ενέσιμο Atropine sulfate 0.04 mg/ml
Γλυκόζη 5% 1200
Σύμφωνος
Ενέσιμο Netilmicin sulfate 5 mg/ml
Ενέσιμο Aztreonam 40 mg/ml
Γλυκόζη 5% 99
Σύμφωνος
Ενέσιμο Netilmicin sulfate 5 mg/ml
Ενέσιμο Calcium gluconate 40 mg/ml
NaCl 0,45% Γλυκόζη 5% 1236
Απροσδιόριστη ασυμβατότητα Ασύμβατες
Ενέσιμο Netilmicin sulfate
Ενέσιμο Calcium gluconate
3644
Ασύμβατες
Ενέσιμο Netilmicin sulfate
Ενέσιμο Calcium gluconate
4964
Απροσδιόριστη ασυμβατότητα Ασύμβατες
Ενέσιμο Netilmicin sulfate
Ενέσιμο Cefamandole nafate
3546
Απροσδιόριστη ασυμβατότητα Ασύμβατες
Ενέσιμο Netilmicin sulfate
Ενέσιμο Cefepime dihydrochloride
3548
Απροσδιόριστη ασυμβατότητα Ασύμβατες
Ενέσιμο Netilmicin sulfate
Ενέσιμο Cefoperazone sodium
3544
Απροσδιόριστη ασυμβατότητα Ασύμβατες
Ενέσιμο Netilmicin sulfate
Ενέσιμο Ceftazidime
3883
Απροσδιόριστη ασυμβατότητα Ασύμβατες
Ενέσιμο Netilmicin sulfate
Ενέσιμο Ceftazidime
3543
Απροσδιόριστη ασυμβατότητα Ασύμβατες
Ενέσιμο Netilmicin sulfate
Ενέσιμο Ceftriaxone disodium
3523
Απροσδιόριστη ασυμβατότητα Ασύμβατες
Ενέσιμο Netilmicin sulfate
Ενέσιμο Cefuroxime sodium
3687
Σύμφωνος
Ενέσιμο Netilmicin sulfate 3 mg/ml
Ενέσιμο Chlorpromazine hydrochloride 0.1 mg/ml
Γλυκόζη 5% 1200
Σύμφωνος
Ενέσιμο Netilmicin sulfate 3 mg/ml
Ενέσιμο Chlorpromazine hydrochloride 0.1 mg/ml
Χλωριούχο νάτριο 0,9% 1200
Σύμφωνος
Ενέσιμο Netilmicin sulfate 2,5 mg/ml
Ενέσιμο Ciprofloxacin lactate 2 mg/ml
Χλωριούχο νάτριο 0,9% 289
Σύμφωνος
Ενέσιμο Netilmicin sulfate 5 mg/ml
Ενέσιμο Cisatracurium besylate 0.1 >> 5 mg/ml
Γλυκόζη 5% 299
Χημική αστάθεια Ασύμβατες
Ενέσιμο Netilmicin sulfate
Ενέσιμο Cisplatin
3578
Σύμφωνος
Ενέσιμο Netilmicin sulfate 3 mg/ml
Ενέσιμο Clindamycin phosphate 9 mg/ml
Χλωριούχο νάτριο 0,9% 421
Σύμφωνος
Ενέσιμο Netilmicin sulfate 3 mg/ml
Ενέσιμο Clindamycin phosphate 9 mg/ml
Γλυκόζη 5% 421
Σύμφωνος
Ενέσιμο Netilmicin sulfate
Ενέσιμο Clindamycin phosphate
Γλυκόζη 5% 3526
Σύμφωνος
Ενέσιμο Netilmicin sulfate
Ενέσιμο Clindamycin phosphate
Χλωριούχο νάτριο 0,9% 3526
Σύμφωνος
Ενέσιμο Netilmicin sulfate 3 mg/ml
Ενέσιμο Dexamethasone sodium phosphate 0.08 mg/ml
Χλωριούχο νάτριο 0,9% 1200
Σύμφωνος
Ενέσιμο Netilmicin sulfate 3 mg/ml
Ενέσιμο Dexamethasone sodium phosphate 0.08 mg/ml
Γλυκόζη 5% 1200
Σύμφωνος
Ενέσιμο Netilmicin sulfate 3 mg/ml
Ενέσιμο Diazepam 0.04 mg/ml
Χλωριούχο νάτριο 0,9% 1200
Σύμφωνος
Ενέσιμο Netilmicin sulfate 3 mg/ml
Ενέσιμο Diphenhydramine hydrochloride 0.4 mg/ml
Χλωριούχο νάτριο 0,9% 1200
Ασύμβατες
Ενέσιμο Netilmicin sulfate
Γλυκόζη 5% 421
Σύμφωνος
Ενέσιμο Netilmicin sulfate 3 mg/ml
Ενέσιμο Diazepam 0.04 mg/ml
Γλυκόζη 5% 1200
Σύμφωνος
Ενέσιμο Netilmicin sulfate 3 mg/ml
Ενέσιμο Diphenhydramine hydrochloride 0.4 mg/ml
Γλυκόζη 5% 1200
Σύμφωνος
Ενέσιμο Netilmicin sulfate 5 mg/ml
Ενέσιμο Docetaxel 0.9 mg/ml
Γλυκόζη 5% 1754
Σύμφωνος
Ενέσιμο Netilmicin sulfate 5 mg/ml
Ενέσιμο Doxorubicin hydrochloride liposome peg 0.4 mg/ml
Γλυκόζη 5% 251
Απροσδιόριστη ασυμβατότητα Ασύμβατες
Ενέσιμο Netilmicin sulfate
Ενέσιμο Erythromycin lactobionate
3674
Σύμφωνος
Ενέσιμο Netilmicin sulfate 5 mg/ml
Ενέσιμο Etoposide phosphate 5 mg/ml
Γλυκόζη 5% 1410
Σύμφωνος
Ενέσιμο Netilmicin sulfate 5 mg/ml
Ενέσιμο Filgrastim 30 µg/ml
Γλυκόζη 5% 244
Άμεση βροχόπτωση Ασύμβατες
Ενέσιμο Netilmicin sulfate
Ενέσιμο Flucloxacillin sodium
3522
Σύμφωνος
Ενέσιμο Netilmicin sulfate 5 mg/ml
Ενέσιμο Fludarabine phosphate 1 mg/ml
Γλυκόζη 5% 492
Άμεση βροχόπτωση Ασύμβατες
Ενέσιμο Netilmicin sulfate 1,5 mg/ml
Ενέσιμο Furosemide 0,4 mg/ml
Γλυκόζη 5% 367
Άμεση βροχόπτωση Ασύμβατες
Ενέσιμο Netilmicin sulfate 1,5 mg/ml
Ενέσιμο Furosemide 0,4 mg/ml
Χλωριούχο νάτριο 0,9% 367
Σύμφωνος
Ενέσιμο Netilmicin sulfate 5 mg/ml
Ενέσιμο Gemcitabine hydrochloride 10 mg/ml
Χλωριούχο νάτριο 0,9% 1423
Σύμφωνος
Ενέσιμο Netilmicin sulfate 5 mg/ml
Ενέσιμο Granisetron hydrochloride 0.05 mg/ml
Γλυκόζη 5% 182
Άμεση βροχόπτωση Ασύμβατες
Ενέσιμο Netilmicin sulfate
Ενέσιμο Heparin sodium
1022
Απροσδιόριστη ασυμβατότητα Ασύμβατες
Ενέσιμο Netilmicin sulfate
Ενέσιμο Heparin sodium
3540
Σύμφωνος
Ενέσιμο Netilmicin sulfate 3 mg/ml
Ενέσιμο Hydrocortisone sodium succinate 0.8 mg/ml
Χλωριούχο νάτριο 0,9% 1200
Σύμφωνος
Ενέσιμο Netilmicin sulfate 5 mg/ml
Παρεντερική  θρέψη (ελεύθερο λιπιδίων) 301
Σύμφωνος
Ενέσιμο Netilmicin sulfate 50 & 100 mg/ml
Παρεντερική  θρέψη (ελεύθερο λιπιδίων) 999
Σύμφωνος
Ενέσιμο Netilmicin sulfate 5 mg/ml
Παρεντερική διατροφή (με λιπίδια) 1415
Σύμφωνος
Ενέσιμο Netilmicin sulfate
Γαλακτικό διάλυμα Ringer 1200
Σύμφωνος
Ενέσιμο Netilmicin sulfate 3 mg/ml
Ενέσιμο Hydrocortisone sodium succinate 0.8 mg/ml
Γλυκόζη 5% 1200
Σύμφωνος
Ενέσιμο Netilmicin sulfate 3 mg/ml
Ενέσιμο Iron dextran
Γλυκόζη 5% 1200
Σύμφωνος
Ενέσιμο Netilmicin sulfate 3 mg/ml
Ενέσιμο Iron dextran
Χλωριούχο νάτριο 0,9% 1200
Σύμφωνος
Ενέσιμο Netilmicin sulfate 3 mg/ml
Ενέσιμο Isoprenaline hydrochloride 0.4 mg/ml
Γλυκόζη 5% 1200
Σύμφωνος
Ενέσιμο Netilmicin sulfate 3 mg/ml
Ενέσιμο Isoprenaline hydrochloride 0.4 mg/ml
Χλωριούχο νάτριο 0,9% 1200
Σύμφωνος
Ενέσιμο Netilmicin sulfate 5 mg/ml
Ενέσιμο Linezolid 2 mg/ml
Ουδέν 1925
Σύμφωνος
Ενέσιμο Netilmicin sulfate 5 mg/ml
Ενέσιμο Melphalan 0.1 mg/ml
Χλωριούχο νάτριο 0,9% 169
Σύμφωνος
Ενέσιμο Netilmicin sulfate 1 mg/ml
Ενέσιμο Metronidazole 5 mg/ml
Χλωριούχο νάτριο 0,9% 958
Σύμφωνος
Ενέσιμο Netilmicin sulfate
Ενέσιμο Metronidazole
3594
Σύμφωνος
Ενέσιμο Netilmicin sulfate 1.4 mg/ml
Ενέσιμο Metronidazole 5 mg/ml
Ουδέν 1035
Σύμφωνος
Ενέσιμο Netilmicin sulfate 3 mg/ml
Ενέσιμο Neostigmine methylsulfate 0.04 mg/ml
Γλυκόζη 5% 1200
Σύμφωνος
Ενέσιμο Netilmicin sulfate 3 mg/ml
Ενέσιμο Neostigmine methylsulfate 0.04 mg/ml
Χλωριούχο νάτριο 0,9% 1200
Σύμφωνος
Ενέσιμο Netilmicin sulfate 3 mg/ml
Ενέσιμο Norepinephrine bitartrate 0.064 mg/ml
Χλωριούχο νάτριο 0,9% 1200
Σύμφωνος
Ενέσιμο Netilmicin sulfate 3 mg/ml
Ενέσιμο Norepinephrine bitartrate 0.064 mg/ml
Γλυκόζη 5% 1200
Σύμφωνος
Ενέσιμο Netilmicin sulfate 3 mg/ml
Ενέσιμο Oxytocin
Γλυκόζη 5% 1200
Σύμφωνος
Ενέσιμο Netilmicin sulfate 3 mg/ml
Ενέσιμο Oxytocin
Χλωριούχο νάτριο 0,9% 1200
Σύμφωνος
Ενέσιμο Netilmicin sulfate 3 mg/ml
Ενέσιμο Phytomenadione 0.1 mg/ml
Χλωριούχο νάτριο 0,9% 1200
Σύμφωνος
Ενέσιμο Netilmicin sulfate 3 mg/ml
Ενέσιμο Phytomenadione 0.1 mg/ml
Γλυκόζη 5% 1200
Χημική αστάθεια Ασύμβατες
Ενέσιμο Netilmicin sulfate
Ενέσιμο Piperacillin sodium / tazobactam
3586
Σύμφωνος
Ενέσιμο Netilmicin sulfate 3 mg/ml
Ενέσιμο Potassium chloride
Γλυκόζη 5% 1200
Σύμφωνος
Ενέσιμο Netilmicin sulfate 3 mg/ml
Ενέσιμο Potassium chloride
Χλωριούχο νάτριο 0,9% 1200
Σύμφωνος
Ενέσιμο Netilmicin sulfate 3 mg/ml
Ενέσιμο Procainamide hydrochloride 4 mg/ml
Χλωριούχο νάτριο 0,9% 1200
Σύμφωνος
Ενέσιμο Netilmicin sulfate 3 mg/ml
Ενέσιμο Procainamide hydrochloride 4 mg/ml
Γλυκόζη 5% 1200
Σύμφωνος
Ενέσιμο Netilmicin sulfate 3 mg/ml
Ενέσιμο Promethazine hydrochloride 0.1 mg/ml
Γλυκόζη 5% 1200
Σύμφωνος
Ενέσιμο Netilmicin sulfate 3 mg/ml
Ενέσιμο Promethazine hydrochloride 0.1 mg/ml
Χλωριούχο νάτριο 0,9% 1200
Άμεση βροχόπτωση Ασύμβατες
Ενέσιμο Netilmicin sulfate 5 mg/ml
Ενέσιμο Propofol 10 mg/ml
Ουδέν 300
Σύμφωνος
Ενέσιμο Netilmicin sulfate 1 mg/ml
Ενέσιμο Ranitidine hydrochloride 0,5 mg/ml
Χλωριούχο νάτριο 0,9% 958
Σύμφωνος
Ενέσιμο Netilmicin sulfate 5 mg/ml
Ενέσιμο Remifentanil hydrochloride 25 & 250 µg/ml
Χλωριούχο νάτριο 0,9% 59
Σύμφωνος
Ενέσιμο Netilmicin sulfate 5 mg/ml
Ενέσιμο Sargramostim 10 µg/ml
Χλωριούχο νάτριο 0,9% 335
Σύμφωνος
Ενέσιμο Netilmicin sulfate 5 mg/ml
Ενέσιμο Thiotepa 1 mg/ml
Γλυκόζη 5% 249
Σύμφωνος
Ενέσιμο Netilmicin sulfate 3 mg/ml
Ενέσιμο Triflupromazine hydrochloride 0.4 mg/ml
Γλυκόζη 5% 1200
Σύμφωνος
Ενέσιμο Netilmicin sulfate 5 mg/ml
Ενέσιμο Vinorelbine tartrate 1 mg/ml
Χλωριούχο νάτριο 0,9% 84
Σύμφωνος
Ενέσιμο Netilmicin sulfate
Χλωριούχο νάτριο 0,9% 421
Απροσδιόριστη ασυμβατότητα Ασύμβατες
Ενέσιμο Netilmicin sulfate
Ενέσιμο Teicoplanine
3656
Απροσδιόριστη ασυμβατότητα Ασύμβατες
Ενέσιμο Netilmicin sulfate
Ενέσιμο Temocilline
2296
Σύμφωνος
Ενέσιμο Netilmicin sulfate 5 mg/ml
Ενέσιμο Teniposide 0.1 mg/ml
Γλυκόζη 5% 905
Χημική αστάθεια Ασύμβατες
Ενέσιμο Netilmicin sulfate
Ενέσιμο Ticarcillin / clavulanic acid
3587
Σύμφωνος
Ενέσιμο Netilmicin sulfate 3 mg/ml
Ενέσιμο Triflupromazine hydrochloride 0.4 mg/ml
Χλωριούχο νάτριο 0,9% 1200

  Mentions Légales