最新更新 :
27/04/2026
抗菌薬   Netilmicin sulfate  
注射薬
エアロゾル
溶媒内の安定性 混合時の安定性 安定性に影響する因子 互換性 投与経路 引用文献 PDF
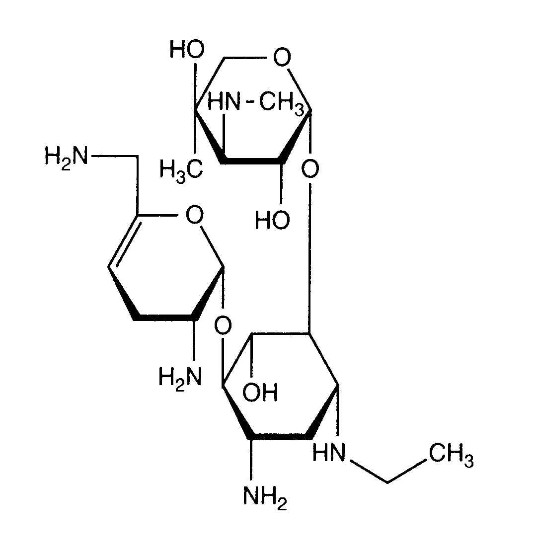
   化学構造  

商品名   商品名     

商品名、賦形剤は国、製薬会社ごとに異なることがあります

Bactob インド
Beltob インド
Bramicil イタリア
Brulamycin ハンガリー
Eltol インド
Fytobra インド
Gernebcin ドイツ
Komitub インド
Nebcin アラブ首長国連邦, アーストラリア, イギリス, エジプト, ギリシア, サウジアラビア, ニュージーランド
Nebcina スウェーデン, デンマーク, ノルウェー, モロッコ
Nebcine モロッコ
Nebicina イタリア
Netilyn スウェーデン, フィンランド
Netromicina ポルトガル
Netromicine フランス
Netromycine ギリシア, トルコ, ポーランド, ロシア
Nettacin イタリア
Obracin オランダ, スイス, ベルギー, ルクセンブルグ
Tobra ドイツ
Tobra Alex エジプト
Tobra Day ニュージーランド
Tobra Gobens スペイン
Tobracin エジプト
Tobradistin スペイン
Tobramicina イタリア, スペイン, ベネズエラ, ポルトガル
Tobramina ブラジル
Tobramycin アイルランド, アメリカ, アーストラリア, イギリス, カナダ, サウジアラビア, ドイツ, ノルウェー
Tobramycine アイルランド, オランダ, フランス
Tobrasix オーストリア
Tobrazid ドイツ
Tomycin フィンランド
Zetamicin イタリア
互換性   注射薬   互換性 : Netilmicin sulfate              
This screen indicates the compatibilities or incompatibilities with, in this case, the type of incompatibility (precipitation, color change, modification of an emulsion, etc.). The compatibilities shown here are mostly physical only, with the chemical stability of each molecule rarely being assessed. The evaluation of these mixtures was studied to consider the possibility of Y-site administration to the patient. These data cannot be used for making mixtures in advance in bags or syringes. This type of information is available in the screen "Stability in mixture ».
化合物 溶媒 引用文献
1時間後の降水 非互換
注射薬 Netilmicin sulfate 5 mg/ml
注射薬 Allopurinol sodium 3 mg/ml
NaCl 0,9% 307
対応
注射薬 Netilmicin sulfate 3 mg/ml
NaHCO3 1200
対応
注射薬 Netilmicin sulfate 5 mg/ml
注射薬 Amifostine 10 mg/ml
グルコース5% 3
対応
注射薬 Netilmicin sulfate 3 mg/ml
注射薬 Aminocaproic acid 10 mg/ml
NaCl 0,9% 1200
対応
注射薬 Netilmicin sulfate 3 mg/ml
注射薬 Aminocaproic acid 10 mg/ml
グルコース5% 1200
対応
注射薬 Netilmicin sulfate 5 mg/ml
注射薬 Aminophylline 0,8 mg/ml
NaCl 0,45% Glucose 5% 1236
化学的不安定性 非互換
注射薬 Netilmicin sulfate
注射薬 Amoxicillin sodium
3527
不特定の非互換性 非互換
注射薬 Netilmicin sulfate
注射薬 Amoxicillin sodium / clavulanic acid
3545
即時降水 非互換
注射薬 Netilmicin sulfate 5 mg/ml
注射薬 Amphotericin B cholesteryl sulfate complex 0,83 mg/ml
グルコース5% 921
対応
注射薬 Netilmicin sulfate 3 mg/ml
注射薬 Atropine sulfate 0.04 mg/ml
NaCl 0,9% 1200
対応
注射薬 Netilmicin sulfate 3 mg/ml
注射薬 Atropine sulfate 0.04 mg/ml
グルコース5% 1200
対応
注射薬 Netilmicin sulfate 5 mg/ml
注射薬 Aztreonam 40 mg/ml
グルコース5% 99
対応
注射薬 Netilmicin sulfate 5 mg/ml
注射薬 Calcium gluconate 40 mg/ml
NaCl 0,45% Glucose 5% 1236
不特定の非互換性 非互換
注射薬 Netilmicin sulfate
注射薬 Calcium gluconate
3644
非互換
注射薬 Netilmicin sulfate
注射薬 Calcium gluconate
4964
不特定の非互換性 非互換
注射薬 Netilmicin sulfate
注射薬 Cefamandole nafate
3546
不特定の非互換性 非互換
注射薬 Netilmicin sulfate
注射薬 Cefepime dihydrochloride
3548
不特定の非互換性 非互換
注射薬 Netilmicin sulfate
注射薬 Cefoperazone sodium
3544
不特定の非互換性 非互換
注射薬 Netilmicin sulfate
注射薬 Ceftazidime
3883
不特定の非互換性 非互換
注射薬 Netilmicin sulfate
注射薬 Ceftazidime
3543
不特定の非互換性 非互換
注射薬 Netilmicin sulfate
注射薬 Ceftriaxone disodium
3523
不特定の非互換性 非互換
注射薬 Netilmicin sulfate
注射薬 Cefuroxime sodium
3687
対応
注射薬 Netilmicin sulfate 3 mg/ml
注射薬 Chlorpromazine hydrochloride 0.1 mg/ml
グルコース5% 1200
対応
注射薬 Netilmicin sulfate 3 mg/ml
注射薬 Chlorpromazine hydrochloride 0.1 mg/ml
NaCl 0,9% 1200
対応
注射薬 Netilmicin sulfate 2,5 mg/ml
注射薬 Ciprofloxacin lactate 2 mg/ml
NaCl 0,9% 289
対応
注射薬 Netilmicin sulfate 5 mg/ml
注射薬 Cisatracurium besylate 0.1 >> 5 mg/ml
グルコース5% 299
化学的不安定性 非互換
注射薬 Netilmicin sulfate
注射薬 Cisplatin
3578
対応
注射薬 Netilmicin sulfate 3 mg/ml
注射薬 Clindamycin phosphate 9 mg/ml
NaCl 0,9% 421
対応
注射薬 Netilmicin sulfate 3 mg/ml
注射薬 Clindamycin phosphate 9 mg/ml
グルコース5% 421
対応
注射薬 Netilmicin sulfate
注射薬 Clindamycin phosphate
グルコース5% 3526
対応
注射薬 Netilmicin sulfate
注射薬 Clindamycin phosphate
NaCl 0,9% 3526
対応
注射薬 Netilmicin sulfate 3 mg/ml
注射薬 Dexamethasone sodium phosphate 0.08 mg/ml
NaCl 0,9% 1200
対応
注射薬 Netilmicin sulfate 3 mg/ml
注射薬 Dexamethasone sodium phosphate 0.08 mg/ml
グルコース5% 1200
対応
注射薬 Netilmicin sulfate 3 mg/ml
注射薬 Diazepam 0.04 mg/ml
NaCl 0,9% 1200
対応
注射薬 Netilmicin sulfate 3 mg/ml
注射薬 Diphenhydramine hydrochloride 0.4 mg/ml
NaCl 0,9% 1200
非互換
注射薬 Netilmicin sulfate
グルコース5% 421
対応
注射薬 Netilmicin sulfate 3 mg/ml
注射薬 Diazepam 0.04 mg/ml
グルコース5% 1200
対応
注射薬 Netilmicin sulfate 3 mg/ml
注射薬 Diphenhydramine hydrochloride 0.4 mg/ml
グルコース5% 1200
対応
注射薬 Netilmicin sulfate 5 mg/ml
注射薬 Docetaxel 0.9 mg/ml
グルコース5% 1754
対応
注射薬 Netilmicin sulfate 5 mg/ml
注射薬 Doxorubicin hydrochloride liposome peg 0.4 mg/ml
グルコース5% 251
不特定の非互換性 非互換
注射薬 Netilmicin sulfate
注射薬 Erythromycin lactobionate
3674
対応
注射薬 Netilmicin sulfate 5 mg/ml
注射薬 Etoposide phosphate 5 mg/ml
グルコース5% 1410
対応
注射薬 Netilmicin sulfate 5 mg/ml
注射薬 Filgrastim 30 µg/ml
グルコース5% 244
即時降水 非互換
注射薬 Netilmicin sulfate
注射薬 Flucloxacillin sodium
3522
対応
注射薬 Netilmicin sulfate 5 mg/ml
注射薬 Fludarabine phosphate 1 mg/ml
グルコース5% 492
即時降水 非互換
注射薬 Netilmicin sulfate 1,5 mg/ml
注射薬 Furosemide 0,4 mg/ml
グルコース5% 367
即時降水 非互換
注射薬 Netilmicin sulfate 1,5 mg/ml
注射薬 Furosemide 0,4 mg/ml
NaCl 0,9% 367
対応
注射薬 Netilmicin sulfate 5 mg/ml
注射薬 Gemcitabine hydrochloride 10 mg/ml
NaCl 0,9% 1423
対応
注射薬 Netilmicin sulfate 5 mg/ml
注射薬 Granisetron hydrochloride 0.05 mg/ml
グルコース5% 182
即時降水 非互換
注射薬 Netilmicin sulfate
注射薬 Heparin sodium
1022
不特定の非互換性 非互換
注射薬 Netilmicin sulfate
注射薬 Heparin sodium
3540
対応
注射薬 Netilmicin sulfate 3 mg/ml
注射薬 Hydrocortisone sodium succinate 0.8 mg/ml
NaCl 0,9% 1200
対応
注射薬 Netilmicin sulfate 5 mg/ml
非経口的栄養(二元混合物) 301
対応
注射薬 Netilmicin sulfate 50 & 100 mg/ml
非経口的栄養(二元混合物) 999
対応
注射薬 Netilmicin sulfate 5 mg/ml
非経口的栄養(脂肪含む) 1415
対応
注射薬 Netilmicin sulfate
乳酸リンゲル 1200
対応
注射薬 Netilmicin sulfate 3 mg/ml
注射薬 Hydrocortisone sodium succinate 0.8 mg/ml
グルコース5% 1200
対応
注射薬 Netilmicin sulfate 3 mg/ml
注射薬 Iron dextran
グルコース5% 1200
対応
注射薬 Netilmicin sulfate 3 mg/ml
注射薬 Iron dextran
NaCl 0,9% 1200
対応
注射薬 Netilmicin sulfate 3 mg/ml
注射薬 Isoprenaline hydrochloride 0.4 mg/ml
グルコース5% 1200
対応
注射薬 Netilmicin sulfate 3 mg/ml
注射薬 Isoprenaline hydrochloride 0.4 mg/ml
NaCl 0,9% 1200
対応
注射薬 Netilmicin sulfate 5 mg/ml
注射薬 Linezolid 2 mg/ml
なし 1925
対応
注射薬 Netilmicin sulfate 5 mg/ml
注射薬 Melphalan 0.1 mg/ml
NaCl 0,9% 169
対応
注射薬 Netilmicin sulfate 1 mg/ml
注射薬 Metronidazole 5 mg/ml
NaCl 0,9% 958
対応
注射薬 Netilmicin sulfate
注射薬 Metronidazole
3594
対応
注射薬 Netilmicin sulfate 1.4 mg/ml
注射薬 Metronidazole 5 mg/ml
なし 1035
対応
注射薬 Netilmicin sulfate 3 mg/ml
注射薬 Neostigmine methylsulfate 0.04 mg/ml
グルコース5% 1200
対応
注射薬 Netilmicin sulfate 3 mg/ml
注射薬 Neostigmine methylsulfate 0.04 mg/ml
NaCl 0,9% 1200
対応
注射薬 Netilmicin sulfate 3 mg/ml
注射薬 Norepinephrine bitartrate 0.064 mg/ml
NaCl 0,9% 1200
対応
注射薬 Netilmicin sulfate 3 mg/ml
注射薬 Norepinephrine bitartrate 0.064 mg/ml
グルコース5% 1200
対応
注射薬 Netilmicin sulfate 3 mg/ml
注射薬 Oxytocin
グルコース5% 1200
対応
注射薬 Netilmicin sulfate 3 mg/ml
注射薬 Oxytocin
NaCl 0,9% 1200
対応
注射薬 Netilmicin sulfate 3 mg/ml
注射薬 Phytomenadione 0.1 mg/ml
NaCl 0,9% 1200
対応
注射薬 Netilmicin sulfate 3 mg/ml
注射薬 Phytomenadione 0.1 mg/ml
グルコース5% 1200
化学的不安定性 非互換
注射薬 Netilmicin sulfate
注射薬 Piperacillin sodium / tazobactam
3586
対応
注射薬 Netilmicin sulfate 3 mg/ml
注射薬 Potassium chloride
グルコース5% 1200
対応
注射薬 Netilmicin sulfate 3 mg/ml
注射薬 Potassium chloride
NaCl 0,9% 1200
対応
注射薬 Netilmicin sulfate 3 mg/ml
注射薬 Procainamide hydrochloride 4 mg/ml
NaCl 0,9% 1200
対応
注射薬 Netilmicin sulfate 3 mg/ml
注射薬 Procainamide hydrochloride 4 mg/ml
グルコース5% 1200
対応
注射薬 Netilmicin sulfate 3 mg/ml
注射薬 Promethazine hydrochloride 0.1 mg/ml
グルコース5% 1200
対応
注射薬 Netilmicin sulfate 3 mg/ml
注射薬 Promethazine hydrochloride 0.1 mg/ml
NaCl 0,9% 1200
即時降水 非互換
注射薬 Netilmicin sulfate 5 mg/ml
注射薬 Propofol 10 mg/ml
なし 300
対応
注射薬 Netilmicin sulfate 1 mg/ml
注射薬 Ranitidine hydrochloride 0,5 mg/ml
NaCl 0,9% 958
対応
注射薬 Netilmicin sulfate 5 mg/ml
注射薬 Remifentanil hydrochloride 25 & 250 µg/ml
NaCl 0,9% 59
対応
注射薬 Netilmicin sulfate 5 mg/ml
注射薬 Sargramostim 10 µg/ml
NaCl 0,9% 335
対応
注射薬 Netilmicin sulfate 5 mg/ml
注射薬 Thiotepa 1 mg/ml
グルコース5% 249
対応
注射薬 Netilmicin sulfate 3 mg/ml
注射薬 Triflupromazine hydrochloride 0.4 mg/ml
グルコース5% 1200
対応
注射薬 Netilmicin sulfate 5 mg/ml
注射薬 Vinorelbine tartrate 1 mg/ml
NaCl 0,9% 84
対応
注射薬 Netilmicin sulfate
NaCl 0,9% 421
不特定の非互換性 非互換
注射薬 Netilmicin sulfate
注射薬 Teicoplanine
3656
不特定の非互換性 非互換
注射薬 Netilmicin sulfate
注射薬 Temocilline
2296
対応
注射薬 Netilmicin sulfate 5 mg/ml
注射薬 Teniposide 0.1 mg/ml
グルコース5% 905
化学的不安定性 非互換
注射薬 Netilmicin sulfate
注射薬 Ticarcillin / clavulanic acid
3587
対応
注射薬 Netilmicin sulfate 3 mg/ml
注射薬 Triflupromazine hydrochloride 0.4 mg/ml
NaCl 0,9% 1200

  Mentions Légales