Ultimele actualizari :
27/04/2026
Antibiotic   Netilmicin sulfate  
Injectabil
Aerosol
Stabilitatea in solutie Stabilitatea in amestec Factorii care influenteaza stabilitatea Compatibilitate Microunde Bibliografie pdf
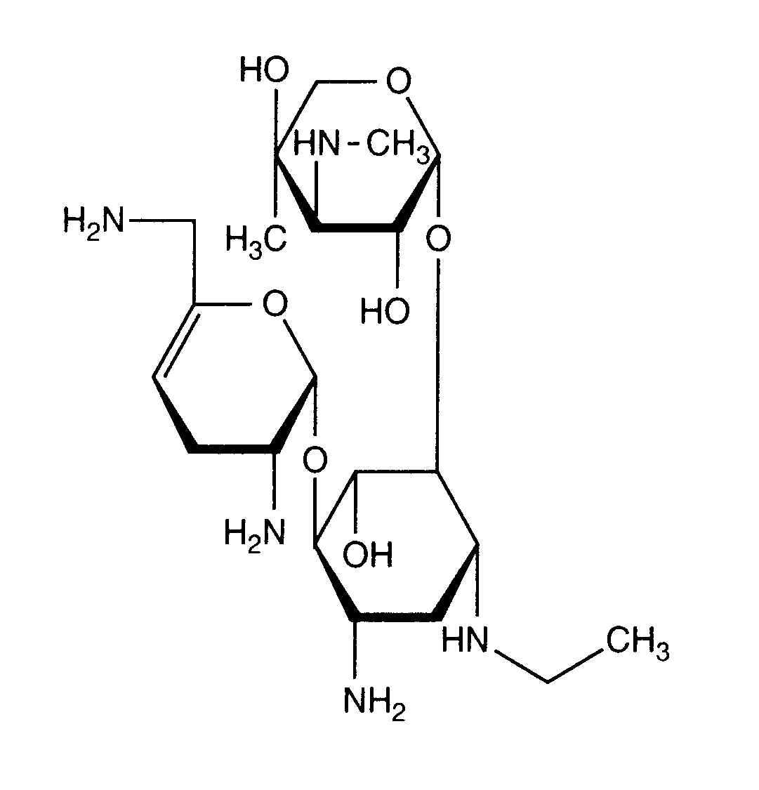
   Formula chimica  

Denumirea comerciala   Denumirea comerciala     

Trade names are indicative and excipients composition can be different depending on the country and manufacturers

Bactob India
Beltob India
Bramicil Italia
Brulamycin Ungaria
Eltol India
Fytobra India
Gernebcin Germania
Komitub India
Nebcin Arabia Saudita, Australia, Egipt, Emiratele Arabe Unite, Grecia, Marea Britanie, noua Zeelandă
Nebcina Danemarca, Maroc, Norvegia, Suedia
Nebcine Maroc
Nebicina Italia
Netilyn Finlanda, Suedia
Netromicina Portugalia
Netromicine Franta
Netromycine Grecia, Polonia, rusa, Turcia
Nettacin Italia
Obracin Belgia, Elvetia, Luxemburg, Olanda
Tobra Germania
Tobra Alex Egipt
Tobra Day noua Zeelandă
Tobra Gobens Spania
Tobracin Egipt
Tobradistin Spania
Tobramicina Italia, Portugalia, Spania, Venezuela
Tobramina Brazilia
Tobramycin Arabia Saudita, Australia, Canada, Germania, Irlanda, Marea Britanie, Norvegia, SUA
Tobramycine Franta, Irlanda, Olanda
Tobrasix Austria
Tobrazid Germania
Tomycin Finlanda
Zetamicin Italia
Compatibilitate   Injectabil   Compatibilitate : Netilmicin sulfate              
Acest ecran indică compatibilitățile sau incompatibilitățile cu, în acest caz, tipul de incompatibilitate (precipitații, schimbarea culorii, modificarea unei emulsii etc.). Compatibilitățile prezentate aici sunt în mare parte numai fizice, stabilitatea chimică a fiecărei molecule fiind rareori evaluată. Evaluarea acestor amestecuri a fost studiată pentru a lua în considerare posibilitatea administrării site-ului Y la pacient. Aceste date nu pot fi utilizate pentru prepararea în prealabil a amestecurilor în pungi sau seringi. Acest tip de informații este disponibil în ecranul „Stabilitate în amestec».
Molecula (substanta activa) Solvent Bibiografie
Precipitații după 1 oră Incompatibil
Injectabil Netilmicin sulfate 5 mg/ml
Injectabil Allopurinol sodium 3 mg/ml
clorura de sodiu 0,9% 307
Compatibil
Injectabil Netilmicin sulfate 3 mg/ml
NaHCO3 1200
Compatibil
Injectabil Netilmicin sulfate 5 mg/ml
Injectabil Amifostine 10 mg/ml
Glucoza 5% 3
Compatibil
Injectabil Netilmicin sulfate 3 mg/ml
Injectabil Aminocaproic acid 10 mg/ml
clorura de sodiu 0,9% 1200
Compatibil
Injectabil Netilmicin sulfate 3 mg/ml
Injectabil Aminocaproic acid 10 mg/ml
Glucoza 5% 1200
Compatibil
Injectabil Netilmicin sulfate 5 mg/ml
Injectabil Aminophylline 0,8 mg/ml
NaCl 0,45% Glucoza 5% 1236
Instabilitate chimică Incompatibil
Injectabil Netilmicin sulfate
Injectabil Amoxicillin sodium
3527
Incompatibilitate nespecificată Incompatibil
Injectabil Netilmicin sulfate
Injectabil Amoxicillin sodium / clavulanic acid
3545
Precipitații imediate Incompatibil
Injectabil Netilmicin sulfate 5 mg/ml
Injectabil Amphotericin B cholesteryl sulfate complex 0,83 mg/ml
Glucoza 5% 921
Compatibil
Injectabil Netilmicin sulfate 3 mg/ml
Injectabil Atropine sulfate 0.04 mg/ml
clorura de sodiu 0,9% 1200
Compatibil
Injectabil Netilmicin sulfate 3 mg/ml
Injectabil Atropine sulfate 0.04 mg/ml
Glucoza 5% 1200
Compatibil
Injectabil Netilmicin sulfate 5 mg/ml
Injectabil Aztreonam 40 mg/ml
Glucoza 5% 99
Compatibil
Injectabil Netilmicin sulfate 5 mg/ml
Injectabil Calcium gluconate 40 mg/ml
NaCl 0,45% Glucoza 5% 1236
Incompatibilitate nespecificată Incompatibil
Injectabil Netilmicin sulfate
Injectabil Calcium gluconate
3644
Incompatibil
Injectabil Netilmicin sulfate
Injectabil Calcium gluconate
4964
Incompatibilitate nespecificată Incompatibil
Injectabil Netilmicin sulfate
Injectabil Cefamandole nafate
3546
Incompatibilitate nespecificată Incompatibil
Injectabil Netilmicin sulfate
Injectabil Cefepime dihydrochloride
3548
Incompatibilitate nespecificată Incompatibil
Injectabil Netilmicin sulfate
Injectabil Cefoperazone sodium
3544
Incompatibilitate nespecificată Incompatibil
Injectabil Netilmicin sulfate
Injectabil Ceftazidime
3883
Incompatibilitate nespecificată Incompatibil
Injectabil Netilmicin sulfate
Injectabil Ceftazidime
3543
Incompatibilitate nespecificată Incompatibil
Injectabil Netilmicin sulfate
Injectabil Ceftriaxone disodium
3523
Incompatibilitate nespecificată Incompatibil
Injectabil Netilmicin sulfate
Injectabil Cefuroxime sodium
3687
Compatibil
Injectabil Netilmicin sulfate 3 mg/ml
Injectabil Chlorpromazine hydrochloride 0.1 mg/ml
Glucoza 5% 1200
Compatibil
Injectabil Netilmicin sulfate 3 mg/ml
Injectabil Chlorpromazine hydrochloride 0.1 mg/ml
clorura de sodiu 0,9% 1200
Compatibil
Injectabil Netilmicin sulfate 2,5 mg/ml
Injectabil Ciprofloxacin lactate 2 mg/ml
clorura de sodiu 0,9% 289
Compatibil
Injectabil Netilmicin sulfate 5 mg/ml
Injectabil Cisatracurium besylate 0.1 >> 5 mg/ml
Glucoza 5% 299
Instabilitate chimică Incompatibil
Injectabil Netilmicin sulfate
Injectabil Cisplatin
3578
Compatibil
Injectabil Netilmicin sulfate 3 mg/ml
Injectabil Clindamycin phosphate 9 mg/ml
clorura de sodiu 0,9% 421
Compatibil
Injectabil Netilmicin sulfate 3 mg/ml
Injectabil Clindamycin phosphate 9 mg/ml
Glucoza 5% 421
Compatibil
Injectabil Netilmicin sulfate
Injectabil Clindamycin phosphate
Glucoza 5% 3526
Compatibil
Injectabil Netilmicin sulfate
Injectabil Clindamycin phosphate
clorura de sodiu 0,9% 3526
Compatibil
Injectabil Netilmicin sulfate 3 mg/ml
Injectabil Dexamethasone sodium phosphate 0.08 mg/ml
clorura de sodiu 0,9% 1200
Compatibil
Injectabil Netilmicin sulfate 3 mg/ml
Injectabil Dexamethasone sodium phosphate 0.08 mg/ml
Glucoza 5% 1200
Compatibil
Injectabil Netilmicin sulfate 3 mg/ml
Injectabil Diazepam 0.04 mg/ml
clorura de sodiu 0,9% 1200
Compatibil
Injectabil Netilmicin sulfate 3 mg/ml
Injectabil Diphenhydramine hydrochloride 0.4 mg/ml
clorura de sodiu 0,9% 1200
Incompatibil
Injectabil Netilmicin sulfate
Glucoza 5% 421
Compatibil
Injectabil Netilmicin sulfate 3 mg/ml
Injectabil Diazepam 0.04 mg/ml
Glucoza 5% 1200
Compatibil
Injectabil Netilmicin sulfate 3 mg/ml
Injectabil Diphenhydramine hydrochloride 0.4 mg/ml
Glucoza 5% 1200
Compatibil
Injectabil Netilmicin sulfate 5 mg/ml
Injectabil Docetaxel 0.9 mg/ml
Glucoza 5% 1754
Compatibil
Injectabil Netilmicin sulfate 5 mg/ml
Injectabil Doxorubicin hydrochloride liposome peg 0.4 mg/ml
Glucoza 5% 251
Incompatibilitate nespecificată Incompatibil
Injectabil Netilmicin sulfate
Injectabil Erythromycin lactobionate
3674
Compatibil
Injectabil Netilmicin sulfate 5 mg/ml
Injectabil Etoposide phosphate 5 mg/ml
Glucoza 5% 1410
Compatibil
Injectabil Netilmicin sulfate 5 mg/ml
Injectabil Filgrastim 30 µg/ml
Glucoza 5% 244
Precipitații imediate Incompatibil
Injectabil Netilmicin sulfate
Injectabil Flucloxacillin sodium
3522
Compatibil
Injectabil Netilmicin sulfate 5 mg/ml
Injectabil Fludarabine phosphate 1 mg/ml
Glucoza 5% 492
Precipitații imediate Incompatibil
Injectabil Netilmicin sulfate 1,5 mg/ml
Injectabil Furosemide 0,4 mg/ml
Glucoza 5% 367
Precipitații imediate Incompatibil
Injectabil Netilmicin sulfate 1,5 mg/ml
Injectabil Furosemide 0,4 mg/ml
clorura de sodiu 0,9% 367
Compatibil
Injectabil Netilmicin sulfate 5 mg/ml
Injectabil Gemcitabine hydrochloride 10 mg/ml
clorura de sodiu 0,9% 1423
Compatibil
Injectabil Netilmicin sulfate 5 mg/ml
Injectabil Granisetron hydrochloride 0.05 mg/ml
Glucoza 5% 182
Precipitații imediate Incompatibil
Injectabil Netilmicin sulfate
Injectabil Heparin sodium
1022
Incompatibilitate nespecificată Incompatibil
Injectabil Netilmicin sulfate
Injectabil Heparin sodium
3540
Compatibil
Injectabil Netilmicin sulfate 3 mg/ml
Injectabil Hydrocortisone sodium succinate 0.8 mg/ml
clorura de sodiu 0,9% 1200
Compatibil
Injectabil Netilmicin sulfate 5 mg/ml
Nutritie parenterala (amestec binar) 301
Compatibil
Injectabil Netilmicin sulfate 50 & 100 mg/ml
Nutritie parenterala (amestec binar) 999
Compatibil
Injectabil Netilmicin sulfate 5 mg/ml
Nutriție parenterală (cu lipide) 1415
Compatibil
Injectabil Netilmicin sulfate
Solutie Ringer lactat 1200
Compatibil
Injectabil Netilmicin sulfate 3 mg/ml
Injectabil Hydrocortisone sodium succinate 0.8 mg/ml
Glucoza 5% 1200
Compatibil
Injectabil Netilmicin sulfate 3 mg/ml
Injectabil Iron dextran
Glucoza 5% 1200
Compatibil
Injectabil Netilmicin sulfate 3 mg/ml
Injectabil Iron dextran
clorura de sodiu 0,9% 1200
Compatibil
Injectabil Netilmicin sulfate 3 mg/ml
Injectabil Isoprenaline hydrochloride 0.4 mg/ml
Glucoza 5% 1200
Compatibil
Injectabil Netilmicin sulfate 3 mg/ml
Injectabil Isoprenaline hydrochloride 0.4 mg/ml
clorura de sodiu 0,9% 1200
Compatibil
Injectabil Netilmicin sulfate 5 mg/ml
Injectabil Linezolid 2 mg/ml
fara 1925
Compatibil
Injectabil Netilmicin sulfate 5 mg/ml
Injectabil Melphalan 0.1 mg/ml
clorura de sodiu 0,9% 169
Compatibil
Injectabil Netilmicin sulfate 1 mg/ml
Injectabil Metronidazole 5 mg/ml
clorura de sodiu 0,9% 958
Compatibil
Injectabil Netilmicin sulfate
Injectabil Metronidazole
3594
Compatibil
Injectabil Netilmicin sulfate 1.4 mg/ml
Injectabil Metronidazole 5 mg/ml
fara 1035
Compatibil
Injectabil Netilmicin sulfate 3 mg/ml
Injectabil Neostigmine methylsulfate 0.04 mg/ml
Glucoza 5% 1200
Compatibil
Injectabil Netilmicin sulfate 3 mg/ml
Injectabil Neostigmine methylsulfate 0.04 mg/ml
clorura de sodiu 0,9% 1200
Compatibil
Injectabil Netilmicin sulfate 3 mg/ml
Injectabil Norepinephrine bitartrate 0.064 mg/ml
clorura de sodiu 0,9% 1200
Compatibil
Injectabil Netilmicin sulfate 3 mg/ml
Injectabil Norepinephrine bitartrate 0.064 mg/ml
Glucoza 5% 1200
Compatibil
Injectabil Netilmicin sulfate 3 mg/ml
Injectabil Oxytocin
Glucoza 5% 1200
Compatibil
Injectabil Netilmicin sulfate 3 mg/ml
Injectabil Oxytocin
clorura de sodiu 0,9% 1200
Compatibil
Injectabil Netilmicin sulfate 3 mg/ml
Injectabil Phytomenadione 0.1 mg/ml
clorura de sodiu 0,9% 1200
Compatibil
Injectabil Netilmicin sulfate 3 mg/ml
Injectabil Phytomenadione 0.1 mg/ml
Glucoza 5% 1200
Instabilitate chimică Incompatibil
Injectabil Netilmicin sulfate
Injectabil Piperacillin sodium / tazobactam
3586
Compatibil
Injectabil Netilmicin sulfate 3 mg/ml
Injectabil Potassium chloride
Glucoza 5% 1200
Compatibil
Injectabil Netilmicin sulfate 3 mg/ml
Injectabil Potassium chloride
clorura de sodiu 0,9% 1200
Compatibil
Injectabil Netilmicin sulfate 3 mg/ml
Injectabil Procainamide hydrochloride 4 mg/ml
clorura de sodiu 0,9% 1200
Compatibil
Injectabil Netilmicin sulfate 3 mg/ml
Injectabil Procainamide hydrochloride 4 mg/ml
Glucoza 5% 1200
Compatibil
Injectabil Netilmicin sulfate 3 mg/ml
Injectabil Promethazine hydrochloride 0.1 mg/ml
Glucoza 5% 1200
Compatibil
Injectabil Netilmicin sulfate 3 mg/ml
Injectabil Promethazine hydrochloride 0.1 mg/ml
clorura de sodiu 0,9% 1200
Precipitații imediate Incompatibil
Injectabil Netilmicin sulfate 5 mg/ml
Injectabil Propofol 10 mg/ml
fara 300
Compatibil
Injectabil Netilmicin sulfate 1 mg/ml
Injectabil Ranitidine hydrochloride 0,5 mg/ml
clorura de sodiu 0,9% 958
Compatibil
Injectabil Netilmicin sulfate 5 mg/ml
Injectabil Remifentanil hydrochloride 25 & 250 µg/ml
clorura de sodiu 0,9% 59
Compatibil
Injectabil Netilmicin sulfate 5 mg/ml
Injectabil Sargramostim 10 µg/ml
clorura de sodiu 0,9% 335
Compatibil
Injectabil Netilmicin sulfate 5 mg/ml
Injectabil Thiotepa 1 mg/ml
Glucoza 5% 249
Compatibil
Injectabil Netilmicin sulfate 3 mg/ml
Injectabil Triflupromazine hydrochloride 0.4 mg/ml
Glucoza 5% 1200
Compatibil
Injectabil Netilmicin sulfate 5 mg/ml
Injectabil Vinorelbine tartrate 1 mg/ml
clorura de sodiu 0,9% 84
Compatibil
Injectabil Netilmicin sulfate
clorura de sodiu 0,9% 421
Incompatibilitate nespecificată Incompatibil
Injectabil Netilmicin sulfate
Injectabil Teicoplanine
3656
Incompatibilitate nespecificată Incompatibil
Injectabil Netilmicin sulfate
Injectabil Temocilline
2296
Compatibil
Injectabil Netilmicin sulfate 5 mg/ml
Injectabil Teniposide 0.1 mg/ml
Glucoza 5% 905
Instabilitate chimică Incompatibil
Injectabil Netilmicin sulfate
Injectabil Ticarcillin / clavulanic acid
3587
Compatibil
Injectabil Netilmicin sulfate 3 mg/ml
Injectabil Triflupromazine hydrochloride 0.4 mg/ml
clorura de sodiu 0,9% 1200

  Mentions Légales