Siste oppdatering :
27/04/2026
Antibiotika   Netilmicin sulfate  
Injeksjon
Aerosol
Oppløsningsstabilitet Stabilitet i blandinger Faktorer som påvirker stabiliteten Kompatibilitet Administrasjonsmåte Referanser pdf
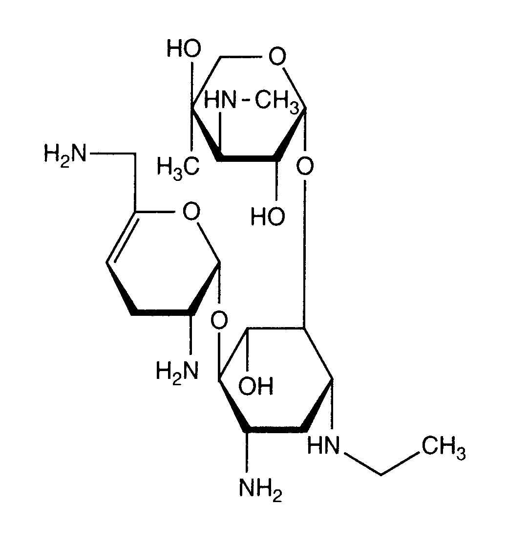
   Kjemisk struktur  

Handelsnavn   Handelsnavn     

Handelsnavn er veiledende og sammensetning av hjelpestoffer kan være forskjellig avhengig av land og produsent

Bactob India
Beltob India
Bramicil Italia
Brulamycin Ungarn
Eltol India
Fytobra India
Gernebcin Tyskland
Komitub India
Nebcin Australia, De forente arabiske emirater, Egypt, Hellas, New Zealand, Saudi-Arabia, Storbritannia
Nebcina Danmark, Marokko, Norge, Sverige
Nebcine Marokko
Nebicina Italia
Netilyn Finland, Sverige
Netromicina Portugal
Netromicine Frankrike
Netromycine Hellas, Polen, russisk, Tyrkia
Nettacin Italia
Obracin Belgia, Luxembourg, Nederland, Sveits
Tobra Tyskland
Tobra Alex Egypt
Tobra Day New Zealand
Tobra Gobens Spania
Tobracin Egypt
Tobradistin Spania
Tobramicina Italia, Portugal, Spania, Venezuela
Tobramina Brasil
Tobramycin Australia, Canada, Irland, Norge, Saudi-Arabia, Storbritannia, Tyskland, USA
Tobramycine Frankrike, Irland, Nederland
Tobrasix Østerrike
Tobrazid Tyskland
Tomycin Finland
Zetamicin Italia
Kompatibilitet   Injeksjon   Kompatibilitet : Netilmicin sulfate              
Dette skjermbildet viser kompatibilitet eller inkompatibilitet med, i dette tilfellet, typen inkompatibilitet (nedbør, fargeendring, modifisering av en emulsjon, etc.). Kompatibilitetene som er vist her, er for det meste bare fysiske, og den kjemiske stabiliteten til hvert molekyl blir sjelden vurdert. Evalueringen av disse blandingene ble studert for å vurdere muligheten for Y-stedadministrasjon til pasienten. Disse dataene kan ikke brukes til å lage blandinger på forhånd i poser eller sprøyter. Denne typen informasjon er tilgjengelig på skjermen "Stabilitet i blanding".
Legemiddel Oppløsningsmiddel Referanser
Nedbør etter 1 time Uforenlig
Injeksjon Netilmicin sulfate 5 mg/ml
Injeksjon Allopurinol sodium 3 mg/ml
Natriumklorid 0,9 % 307
Kompatibel
Injeksjon Netilmicin sulfate 3 mg/ml
NaHCO3 1200
Kompatibel
Injeksjon Netilmicin sulfate 5 mg/ml
Injeksjon Amifostine 10 mg/ml
Glukose 5 % 3
Kompatibel
Injeksjon Netilmicin sulfate 3 mg/ml
Injeksjon Aminocaproic acid 10 mg/ml
Natriumklorid 0,9 % 1200
Kompatibel
Injeksjon Netilmicin sulfate 3 mg/ml
Injeksjon Aminocaproic acid 10 mg/ml
Glukose 5 % 1200
Kompatibel
Injeksjon Netilmicin sulfate 5 mg/ml
Injeksjon Aminophylline 0,8 mg/ml
NaCl 0,45 % Glukose 5 % 1236
Kjemisk ustabilitet Uforenlig
Injeksjon Netilmicin sulfate
Injeksjon Amoxicillin sodium
3527
Uspesifisert inkompatibilitet Uforenlig
Injeksjon Netilmicin sulfate
Injeksjon Amoxicillin sodium / clavulanic acid
3545
Umiddelbar nedbør Uforenlig
Injeksjon Netilmicin sulfate 5 mg/ml
Injeksjon Amphotericin B cholesteryl sulfate complex 0,83 mg/ml
Glukose 5 % 921
Kompatibel
Injeksjon Netilmicin sulfate 3 mg/ml
Injeksjon Atropine sulfate 0.04 mg/ml
Natriumklorid 0,9 % 1200
Kompatibel
Injeksjon Netilmicin sulfate 3 mg/ml
Injeksjon Atropine sulfate 0.04 mg/ml
Glukose 5 % 1200
Kompatibel
Injeksjon Netilmicin sulfate 5 mg/ml
Injeksjon Aztreonam 40 mg/ml
Glukose 5 % 99
Kompatibel
Injeksjon Netilmicin sulfate 5 mg/ml
Injeksjon Calcium gluconate 40 mg/ml
NaCl 0,45 % Glukose 5 % 1236
Uspesifisert inkompatibilitet Uforenlig
Injeksjon Netilmicin sulfate
Injeksjon Calcium gluconate
3644
Uforenlig
Injeksjon Netilmicin sulfate
Injeksjon Calcium gluconate
4964
Uspesifisert inkompatibilitet Uforenlig
Injeksjon Netilmicin sulfate
Injeksjon Cefamandole nafate
3546
Uspesifisert inkompatibilitet Uforenlig
Injeksjon Netilmicin sulfate
Injeksjon Cefepime dihydrochloride
3548
Uspesifisert inkompatibilitet Uforenlig
Injeksjon Netilmicin sulfate
Injeksjon Cefoperazone sodium
3544
Uspesifisert inkompatibilitet Uforenlig
Injeksjon Netilmicin sulfate
Injeksjon Ceftazidime
3883
Uspesifisert inkompatibilitet Uforenlig
Injeksjon Netilmicin sulfate
Injeksjon Ceftazidime
3543
Uspesifisert inkompatibilitet Uforenlig
Injeksjon Netilmicin sulfate
Injeksjon Ceftriaxone disodium
3523
Uspesifisert inkompatibilitet Uforenlig
Injeksjon Netilmicin sulfate
Injeksjon Cefuroxime sodium
3687
Kompatibel
Injeksjon Netilmicin sulfate 3 mg/ml
Injeksjon Chlorpromazine hydrochloride 0.1 mg/ml
Glukose 5 % 1200
Kompatibel
Injeksjon Netilmicin sulfate 3 mg/ml
Injeksjon Chlorpromazine hydrochloride 0.1 mg/ml
Natriumklorid 0,9 % 1200
Kompatibel
Injeksjon Netilmicin sulfate 2,5 mg/ml
Injeksjon Ciprofloxacin lactate 2 mg/ml
Natriumklorid 0,9 % 289
Kompatibel
Injeksjon Netilmicin sulfate 5 mg/ml
Injeksjon Cisatracurium besylate 0.1 >> 5 mg/ml
Glukose 5 % 299
Kjemisk ustabilitet Uforenlig
Injeksjon Netilmicin sulfate
Injeksjon Cisplatin
3578
Kompatibel
Injeksjon Netilmicin sulfate 3 mg/ml
Injeksjon Clindamycin phosphate 9 mg/ml
Natriumklorid 0,9 % 421
Kompatibel
Injeksjon Netilmicin sulfate 3 mg/ml
Injeksjon Clindamycin phosphate 9 mg/ml
Glukose 5 % 421
Kompatibel
Injeksjon Netilmicin sulfate
Injeksjon Clindamycin phosphate
Glukose 5 % 3526
Kompatibel
Injeksjon Netilmicin sulfate
Injeksjon Clindamycin phosphate
Natriumklorid 0,9 % 3526
Kompatibel
Injeksjon Netilmicin sulfate 3 mg/ml
Injeksjon Dexamethasone sodium phosphate 0.08 mg/ml
Natriumklorid 0,9 % 1200
Kompatibel
Injeksjon Netilmicin sulfate 3 mg/ml
Injeksjon Dexamethasone sodium phosphate 0.08 mg/ml
Glukose 5 % 1200
Kompatibel
Injeksjon Netilmicin sulfate 3 mg/ml
Injeksjon Diazepam 0.04 mg/ml
Natriumklorid 0,9 % 1200
Kompatibel
Injeksjon Netilmicin sulfate 3 mg/ml
Injeksjon Diphenhydramine hydrochloride 0.4 mg/ml
Natriumklorid 0,9 % 1200
Uforenlig
Injeksjon Netilmicin sulfate
Glukose 5 % 421
Kompatibel
Injeksjon Netilmicin sulfate 3 mg/ml
Injeksjon Diazepam 0.04 mg/ml
Glukose 5 % 1200
Kompatibel
Injeksjon Netilmicin sulfate 3 mg/ml
Injeksjon Diphenhydramine hydrochloride 0.4 mg/ml
Glukose 5 % 1200
Kompatibel
Injeksjon Netilmicin sulfate 5 mg/ml
Injeksjon Docetaxel 0.9 mg/ml
Glukose 5 % 1754
Kompatibel
Injeksjon Netilmicin sulfate 5 mg/ml
Injeksjon Doxorubicin hydrochloride liposome peg 0.4 mg/ml
Glukose 5 % 251
Uspesifisert inkompatibilitet Uforenlig
Injeksjon Netilmicin sulfate
Injeksjon Erythromycin lactobionate
3674
Kompatibel
Injeksjon Netilmicin sulfate 5 mg/ml
Injeksjon Etoposide phosphate 5 mg/ml
Glukose 5 % 1410
Kompatibel
Injeksjon Netilmicin sulfate 5 mg/ml
Injeksjon Filgrastim 30 µg/ml
Glukose 5 % 244
Umiddelbar nedbør Uforenlig
Injeksjon Netilmicin sulfate
Injeksjon Flucloxacillin sodium
3522
Kompatibel
Injeksjon Netilmicin sulfate 5 mg/ml
Injeksjon Fludarabine phosphate 1 mg/ml
Glukose 5 % 492
Umiddelbar nedbør Uforenlig
Injeksjon Netilmicin sulfate 1,5 mg/ml
Injeksjon Furosemide 0,4 mg/ml
Glukose 5 % 367
Umiddelbar nedbør Uforenlig
Injeksjon Netilmicin sulfate 1,5 mg/ml
Injeksjon Furosemide 0,4 mg/ml
Natriumklorid 0,9 % 367
Kompatibel
Injeksjon Netilmicin sulfate 5 mg/ml
Injeksjon Gemcitabine hydrochloride 10 mg/ml
Natriumklorid 0,9 % 1423
Kompatibel
Injeksjon Netilmicin sulfate 5 mg/ml
Injeksjon Granisetron hydrochloride 0.05 mg/ml
Glukose 5 % 182
Umiddelbar nedbør Uforenlig
Injeksjon Netilmicin sulfate
Injeksjon Heparin sodium
1022
Uspesifisert inkompatibilitet Uforenlig
Injeksjon Netilmicin sulfate
Injeksjon Heparin sodium
3540
Kompatibel
Injeksjon Netilmicin sulfate 3 mg/ml
Injeksjon Hydrocortisone sodium succinate 0.8 mg/ml
Natriumklorid 0,9 % 1200
Kompatibel
Injeksjon Netilmicin sulfate 5 mg/ml
Parenteral ernæring(lipid-free) 301
Kompatibel
Injeksjon Netilmicin sulfate 50 & 100 mg/ml
Parenteral ernæring(lipid-free) 999
Kompatibel
Injeksjon Netilmicin sulfate 5 mg/ml
Parenteral ernæring (med lipider) 1415
Kompatibel
Injeksjon Netilmicin sulfate
Ringers laktatoppløsning 1200
Kompatibel
Injeksjon Netilmicin sulfate 3 mg/ml
Injeksjon Hydrocortisone sodium succinate 0.8 mg/ml
Glukose 5 % 1200
Kompatibel
Injeksjon Netilmicin sulfate 3 mg/ml
Injeksjon Iron dextran
Glukose 5 % 1200
Kompatibel
Injeksjon Netilmicin sulfate 3 mg/ml
Injeksjon Iron dextran
Natriumklorid 0,9 % 1200
Kompatibel
Injeksjon Netilmicin sulfate 3 mg/ml
Injeksjon Isoprenaline hydrochloride 0.4 mg/ml
Glukose 5 % 1200
Kompatibel
Injeksjon Netilmicin sulfate 3 mg/ml
Injeksjon Isoprenaline hydrochloride 0.4 mg/ml
Natriumklorid 0,9 % 1200
Kompatibel
Injeksjon Netilmicin sulfate 5 mg/ml
Injeksjon Linezolid 2 mg/ml
Ingen 1925
Kompatibel
Injeksjon Netilmicin sulfate 5 mg/ml
Injeksjon Melphalan 0.1 mg/ml
Natriumklorid 0,9 % 169
Kompatibel
Injeksjon Netilmicin sulfate 1 mg/ml
Injeksjon Metronidazole 5 mg/ml
Natriumklorid 0,9 % 958
Kompatibel
Injeksjon Netilmicin sulfate
Injeksjon Metronidazole
3594
Kompatibel
Injeksjon Netilmicin sulfate 1.4 mg/ml
Injeksjon Metronidazole 5 mg/ml
Ingen 1035
Kompatibel
Injeksjon Netilmicin sulfate 3 mg/ml
Injeksjon Neostigmine methylsulfate 0.04 mg/ml
Glukose 5 % 1200
Kompatibel
Injeksjon Netilmicin sulfate 3 mg/ml
Injeksjon Neostigmine methylsulfate 0.04 mg/ml
Natriumklorid 0,9 % 1200
Kompatibel
Injeksjon Netilmicin sulfate 3 mg/ml
Injeksjon Norepinephrine bitartrate 0.064 mg/ml
Natriumklorid 0,9 % 1200
Kompatibel
Injeksjon Netilmicin sulfate 3 mg/ml
Injeksjon Norepinephrine bitartrate 0.064 mg/ml
Glukose 5 % 1200
Kompatibel
Injeksjon Netilmicin sulfate 3 mg/ml
Injeksjon Oxytocin
Glukose 5 % 1200
Kompatibel
Injeksjon Netilmicin sulfate 3 mg/ml
Injeksjon Oxytocin
Natriumklorid 0,9 % 1200
Kompatibel
Injeksjon Netilmicin sulfate 3 mg/ml
Injeksjon Phytomenadione 0.1 mg/ml
Natriumklorid 0,9 % 1200
Kompatibel
Injeksjon Netilmicin sulfate 3 mg/ml
Injeksjon Phytomenadione 0.1 mg/ml
Glukose 5 % 1200
Kjemisk ustabilitet Uforenlig
Injeksjon Netilmicin sulfate
Injeksjon Piperacillin sodium / tazobactam
3586
Kompatibel
Injeksjon Netilmicin sulfate 3 mg/ml
Injeksjon Potassium chloride
Glukose 5 % 1200
Kompatibel
Injeksjon Netilmicin sulfate 3 mg/ml
Injeksjon Potassium chloride
Natriumklorid 0,9 % 1200
Kompatibel
Injeksjon Netilmicin sulfate 3 mg/ml
Injeksjon Procainamide hydrochloride 4 mg/ml
Natriumklorid 0,9 % 1200
Kompatibel
Injeksjon Netilmicin sulfate 3 mg/ml
Injeksjon Procainamide hydrochloride 4 mg/ml
Glukose 5 % 1200
Kompatibel
Injeksjon Netilmicin sulfate 3 mg/ml
Injeksjon Promethazine hydrochloride 0.1 mg/ml
Glukose 5 % 1200
Kompatibel
Injeksjon Netilmicin sulfate 3 mg/ml
Injeksjon Promethazine hydrochloride 0.1 mg/ml
Natriumklorid 0,9 % 1200
Umiddelbar nedbør Uforenlig
Injeksjon Netilmicin sulfate 5 mg/ml
Injeksjon Propofol 10 mg/ml
Ingen 300
Kompatibel
Injeksjon Netilmicin sulfate 1 mg/ml
Injeksjon Ranitidine hydrochloride 0,5 mg/ml
Natriumklorid 0,9 % 958
Kompatibel
Injeksjon Netilmicin sulfate 5 mg/ml
Injeksjon Remifentanil hydrochloride 25 & 250 µg/ml
Natriumklorid 0,9 % 59
Kompatibel
Injeksjon Netilmicin sulfate 5 mg/ml
Injeksjon Sargramostim 10 µg/ml
Natriumklorid 0,9 % 335
Kompatibel
Injeksjon Netilmicin sulfate 5 mg/ml
Injeksjon Thiotepa 1 mg/ml
Glukose 5 % 249
Kompatibel
Injeksjon Netilmicin sulfate 3 mg/ml
Injeksjon Triflupromazine hydrochloride 0.4 mg/ml
Glukose 5 % 1200
Kompatibel
Injeksjon Netilmicin sulfate 5 mg/ml
Injeksjon Vinorelbine tartrate 1 mg/ml
Natriumklorid 0,9 % 84
Kompatibel
Injeksjon Netilmicin sulfate
Natriumklorid 0,9 % 421
Uspesifisert inkompatibilitet Uforenlig
Injeksjon Netilmicin sulfate
Injeksjon Teicoplanine
3656
Uspesifisert inkompatibilitet Uforenlig
Injeksjon Netilmicin sulfate
Injeksjon Temocilline
2296
Kompatibel
Injeksjon Netilmicin sulfate 5 mg/ml
Injeksjon Teniposide 0.1 mg/ml
Glukose 5 % 905
Kjemisk ustabilitet Uforenlig
Injeksjon Netilmicin sulfate
Injeksjon Ticarcillin / clavulanic acid
3587
Kompatibel
Injeksjon Netilmicin sulfate 3 mg/ml
Injeksjon Triflupromazine hydrochloride 0.4 mg/ml
Natriumklorid 0,9 % 1200

  Mentions Légales