Última actualização :
27/04/2026
antibiótico   Netilmicin sulfate  
injetável
aerossol
Estabilidade em soluções simples Estabilidade em misturas Factores que afectam a sua estabilidade Compatibilidade Método de administração Bibliografía pdf
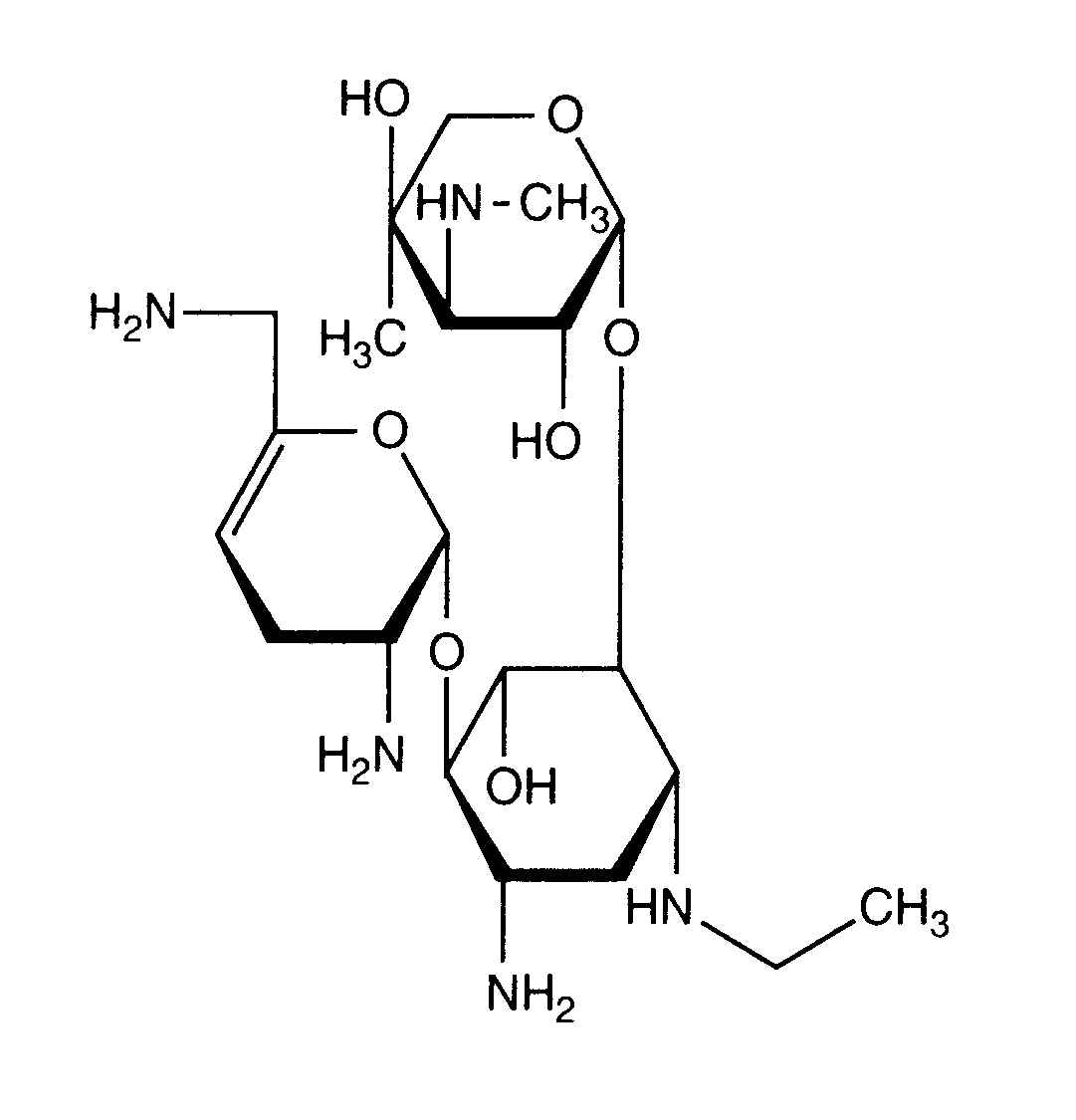
   estrutura química  

Nomes comerciais nos diversos países   Nomes comerciais nos diversos países     

OS NOMES COMERCIAIS SÃO INDICATIVOS E OS EXCIPIENTES DA FORMULAÇÃO PODEM SER DIFERENTES CONFORME O PAÍS E FABRICANTE.

Bactob Índia
Beltob Índia
Bramicil Itália
Brulamycin Hungria
Eltol Índia
Fytobra Índia
Gernebcin Alemanha
Komitub Índia
Nebcin Arábia Saudita, Australia, Egipto, Emirados Árabes Unidos, Gran-bretanha, Grècia, nova Zelândia
Nebcina Dinamarca, Marrocos, Noruega, Suècia
Nebcine Marrocos
Nebicina Itália
Netilyn Finlandia, Suècia
Netromicina Portugal
Netromicine França
Netromycine Grècia, Polonia, russo, Turquia
Nettacin Itália
Obracin Bélgica, Luxemburgo, Países Baixos, Suicia
Tobra Alemanha
Tobra Alex Egipto
Tobra Day nova Zelândia
Tobra Gobens Espanha
Tobracin Egipto
Tobradistin Espanha
Tobramicina Espanha, Itália, Portugal, Venezuela
Tobramina Brasil
Tobramycin Alemanha, Arábia Saudita, Australia, Canadá, Estados Unidos de América, Gran-bretanha, Irlanda, Noruega
Tobramycine França, Irlanda, Países Baixos
Tobrasix Austria
Tobrazid Alemanha
Tomycin Finlandia
Zetamicin Itália
Compatibilidade   injetável   Compatibilidade : Netilmicin sulfate              
Este ecrã indica as compatibilidades ou incompatibilidades com, neste caso, o tipo de incompatibilidade (precipitação, mudança de cor, modificação de uma emulsão, etc.). As compatibilidades mostradas aqui são principalmente físicas, com a estabilidade química de cada molécula raramente sendo avaliada. A avaliação dessas misturas foi estudada para considerar a possibilidade de administração do local Y ao paciente. Estes dados não podem ser usados para fazer misturas antecipadamente em sacos ou seringas. Este tipo de informação está disponível na tela “Estabilidade na mistura».
molécula Solvente Bibliografia
Precipitação após 1 hora Incompatível
injetável Netilmicin sulfate 5 mg/ml
injetável Allopurinol sodium 3 mg/ml
cloreto de sódio 0,9% 307
Compatível
injetável Netilmicin sulfate 3 mg/ml
NaHCO3 1200
Compatível
injetável Netilmicin sulfate 5 mg/ml
injetável Amifostine 10 mg/ml
Glucose 5% 3
Compatível
injetável Netilmicin sulfate 3 mg/ml
injetável Aminocaproic acid 10 mg/ml
cloreto de sódio 0,9% 1200
Compatível
injetável Netilmicin sulfate 3 mg/ml
injetável Aminocaproic acid 10 mg/ml
Glucose 5% 1200
Compatível
injetável Netilmicin sulfate 5 mg/ml
injetável Aminophylline 0,8 mg/ml
NaCl 0,45% Glucose 5% 1236
Instabilidade química Incompatível
injetável Netilmicin sulfate
injetável Amoxicillin sodium
3527
Incompatibilidade não especificada Incompatível
injetável Netilmicin sulfate
injetável Amoxicillin sodium / clavulanic acid
3545
Precipitação imediata Incompatível
injetável Netilmicin sulfate 5 mg/ml
injetável Amphotericin B cholesteryl sulfate complex 0,83 mg/ml
Glucose 5% 921
Compatível
injetável Netilmicin sulfate 3 mg/ml
injetável Atropine sulfate 0.04 mg/ml
cloreto de sódio 0,9% 1200
Compatível
injetável Netilmicin sulfate 3 mg/ml
injetável Atropine sulfate 0.04 mg/ml
Glucose 5% 1200
Compatível
injetável Netilmicin sulfate 5 mg/ml
injetável Aztreonam 40 mg/ml
Glucose 5% 99
Compatível
injetável Netilmicin sulfate 5 mg/ml
injetável Calcium gluconate 40 mg/ml
NaCl 0,45% Glucose 5% 1236
Incompatibilidade não especificada Incompatível
injetável Netilmicin sulfate
injetável Calcium gluconate
3644
Incompatível
injetável Netilmicin sulfate
injetável Calcium gluconate
4964
Incompatibilidade não especificada Incompatível
injetável Netilmicin sulfate
injetável Cefamandole nafate
3546
Incompatibilidade não especificada Incompatível
injetável Netilmicin sulfate
injetável Cefepime dihydrochloride
3548
Incompatibilidade não especificada Incompatível
injetável Netilmicin sulfate
injetável Cefoperazone sodium
3544
Incompatibilidade não especificada Incompatível
injetável Netilmicin sulfate
injetável Ceftazidime
3883
Incompatibilidade não especificada Incompatível
injetável Netilmicin sulfate
injetável Ceftazidime
3543
Incompatibilidade não especificada Incompatível
injetável Netilmicin sulfate
injetável Ceftriaxone disodium
3523
Incompatibilidade não especificada Incompatível
injetável Netilmicin sulfate
injetável Cefuroxime sodium
3687
Compatível
injetável Netilmicin sulfate 3 mg/ml
injetável Chlorpromazine hydrochloride 0.1 mg/ml
Glucose 5% 1200
Compatível
injetável Netilmicin sulfate 3 mg/ml
injetável Chlorpromazine hydrochloride 0.1 mg/ml
cloreto de sódio 0,9% 1200
Compatível
injetável Netilmicin sulfate 2,5 mg/ml
injetável Ciprofloxacin lactate 2 mg/ml
cloreto de sódio 0,9% 289
Compatível
injetável Netilmicin sulfate 5 mg/ml
injetável Cisatracurium besylate 0.1 >> 5 mg/ml
Glucose 5% 299
Instabilidade química Incompatível
injetável Netilmicin sulfate
injetável Cisplatin
3578
Compatível
injetável Netilmicin sulfate 3 mg/ml
injetável Clindamycin phosphate 9 mg/ml
cloreto de sódio 0,9% 421
Compatível
injetável Netilmicin sulfate 3 mg/ml
injetável Clindamycin phosphate 9 mg/ml
Glucose 5% 421
Compatível
injetável Netilmicin sulfate
injetável Clindamycin phosphate
Glucose 5% 3526
Compatível
injetável Netilmicin sulfate
injetável Clindamycin phosphate
cloreto de sódio 0,9% 3526
Compatível
injetável Netilmicin sulfate 3 mg/ml
injetável Dexamethasone sodium phosphate 0.08 mg/ml
cloreto de sódio 0,9% 1200
Compatível
injetável Netilmicin sulfate 3 mg/ml
injetável Dexamethasone sodium phosphate 0.08 mg/ml
Glucose 5% 1200
Compatível
injetável Netilmicin sulfate 3 mg/ml
injetável Diazepam 0.04 mg/ml
cloreto de sódio 0,9% 1200
Compatível
injetável Netilmicin sulfate 3 mg/ml
injetável Diphenhydramine hydrochloride 0.4 mg/ml
cloreto de sódio 0,9% 1200
Incompatível
injetável Netilmicin sulfate
Glucose 5% 421
Compatível
injetável Netilmicin sulfate 3 mg/ml
injetável Diazepam 0.04 mg/ml
Glucose 5% 1200
Compatível
injetável Netilmicin sulfate 3 mg/ml
injetável Diphenhydramine hydrochloride 0.4 mg/ml
Glucose 5% 1200
Compatível
injetável Netilmicin sulfate 5 mg/ml
injetável Docetaxel 0.9 mg/ml
Glucose 5% 1754
Compatível
injetável Netilmicin sulfate 5 mg/ml
injetável Doxorubicin hydrochloride liposome peg 0.4 mg/ml
Glucose 5% 251
Incompatibilidade não especificada Incompatível
injetável Netilmicin sulfate
injetável Erythromycin lactobionate
3674
Compatível
injetável Netilmicin sulfate 5 mg/ml
injetável Etoposide phosphate 5 mg/ml
Glucose 5% 1410
Compatível
injetável Netilmicin sulfate 5 mg/ml
injetável Filgrastim 30 µg/ml
Glucose 5% 244
Precipitação imediata Incompatível
injetável Netilmicin sulfate
injetável Flucloxacillin sodium
3522
Compatível
injetável Netilmicin sulfate 5 mg/ml
injetável Fludarabine phosphate 1 mg/ml
Glucose 5% 492
Precipitação imediata Incompatível
injetável Netilmicin sulfate 1,5 mg/ml
injetável Furosemide 0,4 mg/ml
Glucose 5% 367
Precipitação imediata Incompatível
injetável Netilmicin sulfate 1,5 mg/ml
injetável Furosemide 0,4 mg/ml
cloreto de sódio 0,9% 367
Compatível
injetável Netilmicin sulfate 5 mg/ml
injetável Gemcitabine hydrochloride 10 mg/ml
cloreto de sódio 0,9% 1423
Compatível
injetável Netilmicin sulfate 5 mg/ml
injetável Granisetron hydrochloride 0.05 mg/ml
Glucose 5% 182
Precipitação imediata Incompatível
injetável Netilmicin sulfate
injetável Heparin sodium
1022
Incompatibilidade não especificada Incompatível
injetável Netilmicin sulfate
injetável Heparin sodium
3540
Compatível
injetável Netilmicin sulfate 3 mg/ml
injetável Hydrocortisone sodium succinate 0.8 mg/ml
cloreto de sódio 0,9% 1200
Compatível
injetável Netilmicin sulfate 5 mg/ml
Nutrição parenterica (mistura binária) 301
Compatível
injetável Netilmicin sulfate 50 & 100 mg/ml
Nutrição parenterica (mistura binária) 999
Compatível
injetável Netilmicin sulfate 5 mg/ml
Nutrição parenteral (com lípidos) 1415
Compatível
injetável Netilmicin sulfate
Ringer lactato 1200
Compatível
injetável Netilmicin sulfate 3 mg/ml
injetável Hydrocortisone sodium succinate 0.8 mg/ml
Glucose 5% 1200
Compatível
injetável Netilmicin sulfate 3 mg/ml
injetável Iron dextran
Glucose 5% 1200
Compatível
injetável Netilmicin sulfate 3 mg/ml
injetável Iron dextran
cloreto de sódio 0,9% 1200
Compatível
injetável Netilmicin sulfate 3 mg/ml
injetável Isoprenaline hydrochloride 0.4 mg/ml
Glucose 5% 1200
Compatível
injetável Netilmicin sulfate 3 mg/ml
injetável Isoprenaline hydrochloride 0.4 mg/ml
cloreto de sódio 0,9% 1200
Compatível
injetável Netilmicin sulfate 5 mg/ml
injetável Linezolid 2 mg/ml
nenhum 1925
Compatível
injetável Netilmicin sulfate 5 mg/ml
injetável Melphalan 0.1 mg/ml
cloreto de sódio 0,9% 169
Compatível
injetável Netilmicin sulfate 1 mg/ml
injetável Metronidazole 5 mg/ml
cloreto de sódio 0,9% 958
Compatível
injetável Netilmicin sulfate
injetável Metronidazole
3594
Compatível
injetável Netilmicin sulfate 1.4 mg/ml
injetável Metronidazole 5 mg/ml
nenhum 1035
Compatível
injetável Netilmicin sulfate 3 mg/ml
injetável Neostigmine methylsulfate 0.04 mg/ml
Glucose 5% 1200
Compatível
injetável Netilmicin sulfate 3 mg/ml
injetável Neostigmine methylsulfate 0.04 mg/ml
cloreto de sódio 0,9% 1200
Compatível
injetável Netilmicin sulfate 3 mg/ml
injetável Norepinephrine bitartrate 0.064 mg/ml
cloreto de sódio 0,9% 1200
Compatível
injetável Netilmicin sulfate 3 mg/ml
injetável Norepinephrine bitartrate 0.064 mg/ml
Glucose 5% 1200
Compatível
injetável Netilmicin sulfate 3 mg/ml
injetável Oxytocin
Glucose 5% 1200
Compatível
injetável Netilmicin sulfate 3 mg/ml
injetável Oxytocin
cloreto de sódio 0,9% 1200
Compatível
injetável Netilmicin sulfate 3 mg/ml
injetável Phytomenadione 0.1 mg/ml
cloreto de sódio 0,9% 1200
Compatível
injetável Netilmicin sulfate 3 mg/ml
injetável Phytomenadione 0.1 mg/ml
Glucose 5% 1200
Instabilidade química Incompatível
injetável Netilmicin sulfate
injetável Piperacillin sodium / tazobactam
3586
Compatível
injetável Netilmicin sulfate 3 mg/ml
injetável Potassium chloride
Glucose 5% 1200
Compatível
injetável Netilmicin sulfate 3 mg/ml
injetável Potassium chloride
cloreto de sódio 0,9% 1200
Compatível
injetável Netilmicin sulfate 3 mg/ml
injetável Procainamide hydrochloride 4 mg/ml
cloreto de sódio 0,9% 1200
Compatível
injetável Netilmicin sulfate 3 mg/ml
injetável Procainamide hydrochloride 4 mg/ml
Glucose 5% 1200
Compatível
injetável Netilmicin sulfate 3 mg/ml
injetável Promethazine hydrochloride 0.1 mg/ml
Glucose 5% 1200
Compatível
injetável Netilmicin sulfate 3 mg/ml
injetável Promethazine hydrochloride 0.1 mg/ml
cloreto de sódio 0,9% 1200
Precipitação imediata Incompatível
injetável Netilmicin sulfate 5 mg/ml
injetável Propofol 10 mg/ml
nenhum 300
Compatível
injetável Netilmicin sulfate 1 mg/ml
injetável Ranitidine hydrochloride 0,5 mg/ml
cloreto de sódio 0,9% 958
Compatível
injetável Netilmicin sulfate 5 mg/ml
injetável Remifentanil hydrochloride 25 & 250 µg/ml
cloreto de sódio 0,9% 59
Compatível
injetável Netilmicin sulfate 5 mg/ml
injetável Sargramostim 10 µg/ml
cloreto de sódio 0,9% 335
Compatível
injetável Netilmicin sulfate 5 mg/ml
injetável Thiotepa 1 mg/ml
Glucose 5% 249
Compatível
injetável Netilmicin sulfate 3 mg/ml
injetável Triflupromazine hydrochloride 0.4 mg/ml
Glucose 5% 1200
Compatível
injetável Netilmicin sulfate 5 mg/ml
injetável Vinorelbine tartrate 1 mg/ml
cloreto de sódio 0,9% 84
Compatível
injetável Netilmicin sulfate
cloreto de sódio 0,9% 421
Incompatibilidade não especificada Incompatível
injetável Netilmicin sulfate
injetável Teicoplanine
3656
Incompatibilidade não especificada Incompatível
injetável Netilmicin sulfate
injetável Temocilline
2296
Compatível
injetável Netilmicin sulfate 5 mg/ml
injetável Teniposide 0.1 mg/ml
Glucose 5% 905
Instabilidade química Incompatível
injetável Netilmicin sulfate
injetável Ticarcillin / clavulanic acid
3587
Compatível
injetável Netilmicin sulfate 3 mg/ml
injetável Triflupromazine hydrochloride 0.4 mg/ml
cloreto de sódio 0,9% 1200

  Mentions Légales