最新更新 :
27/04/2026
抗生素   Netilmicin sulfate  
注射液
气雾剂
溶液稳定性 混合物稳定性 影响稳定性的因素 兼容性 用药途径 引用文献 PDF
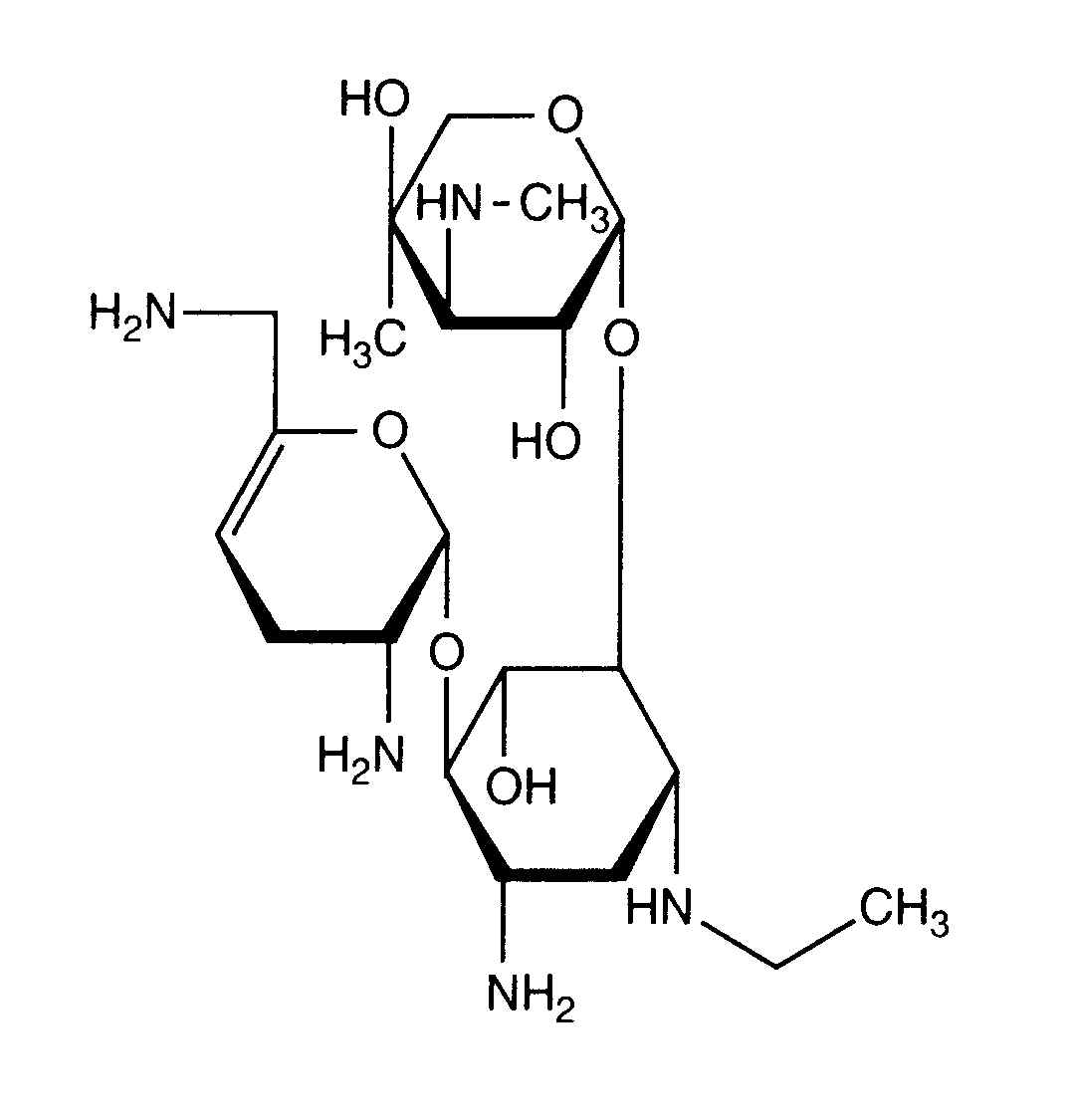
   化学式  

商品名   商品名     

商品名仅供参考, 药品所用的辅料可能依国家或厂商不同有所不同。

Bactob 印度
Beltob 印度
Bramicil 意大利
Brulamycin 匈牙利
Eltol 印度
Fytobra 印度
Gernebcin 德国
Komitub 印度
Nebcin 埃及, 希腊, 新西蘭, 沙特阿拉伯, 澳大利亚, 英国, 阿联酋
Nebcina 丹麦, 挪威, 摩洛哥, 瑞典
Nebcine 摩洛哥
Nebicina 意大利
Netilyn 瑞典, 芬兰
Netromicina 葡萄牙
Netromicine 法国
Netromycine 俄罗斯, 土耳其, 希腊, 波兰
Nettacin 意大利
Obracin 卢森堡, 比利时, 瑞士, 荷兰
Tobra 德国
Tobra Alex 埃及
Tobra Day 新西蘭
Tobra Gobens 西班牙
Tobracin 埃及
Tobradistin 西班牙
Tobramicina 委内瑞拉, 意大利, 葡萄牙, 西班牙
Tobramina 巴西
Tobramycin 加拿大, 德国, 挪威, 沙特阿拉伯, 澳大利亚, 爱尔兰, 美国, 英国
Tobramycine 法国, 爱尔兰, 荷兰
Tobrasix 奥地利
Tobrazid 德国
Tomycin 芬兰
Zetamicin 意大利
兼容性   注射液   兼容性 : Netilmicin sulfate              
This screen indicates the compatibilities or incompatibilities with, in this case, the type of incompatibility (precipitation, color change, modification of an emulsion, etc.). The compatibilities shown here are mostly physical only, with the chemical stability of each molecule rarely being assessed. The evaluation of these mixtures was studied to consider the possibility of Y-site administration to the patient. These data cannot be used for making mixtures in advance in bags or syringes. This type of information is available in the screen "Stability in mixture ».
分子 溶剂 引用文献
1小時後析出 不相容
注射液 Netilmicin sulfate 5 mg/ml
注射液 Allopurinol sodium 3 mg/ml
NaCl 0,9% 307
兼容
注射液 Netilmicin sulfate 3 mg/ml
NaHCO3 1200
兼容
注射液 Netilmicin sulfate 5 mg/ml
注射液 Amifostine 10 mg/ml
葡萄糖5% 3
兼容
注射液 Netilmicin sulfate 3 mg/ml
注射液 Aminocaproic acid 10 mg/ml
NaCl 0,9% 1200
兼容
注射液 Netilmicin sulfate 3 mg/ml
注射液 Aminocaproic acid 10 mg/ml
葡萄糖5% 1200
兼容
注射液 Netilmicin sulfate 5 mg/ml
注射液 Aminophylline 0,8 mg/ml
NaCl 0,45% 葡萄糖 5% 1236
化學不穩定性 不相容
注射液 Netilmicin sulfate
注射液 Amoxicillin sodium
3527
未指定的不兼容性 不相容
注射液 Netilmicin sulfate
注射液 Amoxicillin sodium / clavulanic acid
3545
立即沉澱 不相容
注射液 Netilmicin sulfate 5 mg/ml
注射液 Amphotericin B cholesteryl sulfate complex 0,83 mg/ml
葡萄糖5% 921
兼容
注射液 Netilmicin sulfate 3 mg/ml
注射液 Atropine sulfate 0.04 mg/ml
NaCl 0,9% 1200
兼容
注射液 Netilmicin sulfate 3 mg/ml
注射液 Atropine sulfate 0.04 mg/ml
葡萄糖5% 1200
兼容
注射液 Netilmicin sulfate 5 mg/ml
注射液 Aztreonam 40 mg/ml
葡萄糖5% 99
兼容
注射液 Netilmicin sulfate 5 mg/ml
注射液 Calcium gluconate 40 mg/ml
NaCl 0,45% 葡萄糖 5% 1236
未指定的不兼容性 不相容
注射液 Netilmicin sulfate
注射液 Calcium gluconate
3644
不相容
注射液 Netilmicin sulfate
注射液 Calcium gluconate
4964
未指定的不兼容性 不相容
注射液 Netilmicin sulfate
注射液 Cefamandole nafate
3546
未指定的不兼容性 不相容
注射液 Netilmicin sulfate
注射液 Cefepime dihydrochloride
3548
未指定的不兼容性 不相容
注射液 Netilmicin sulfate
注射液 Cefoperazone sodium
3544
未指定的不兼容性 不相容
注射液 Netilmicin sulfate
注射液 Ceftazidime
3883
未指定的不兼容性 不相容
注射液 Netilmicin sulfate
注射液 Ceftazidime
3543
未指定的不兼容性 不相容
注射液 Netilmicin sulfate
注射液 Ceftriaxone disodium
3523
未指定的不兼容性 不相容
注射液 Netilmicin sulfate
注射液 Cefuroxime sodium
3687
兼容
注射液 Netilmicin sulfate 3 mg/ml
注射液 Chlorpromazine hydrochloride 0.1 mg/ml
葡萄糖5% 1200
兼容
注射液 Netilmicin sulfate 3 mg/ml
注射液 Chlorpromazine hydrochloride 0.1 mg/ml
NaCl 0,9% 1200
兼容
注射液 Netilmicin sulfate 2,5 mg/ml
注射液 Ciprofloxacin lactate 2 mg/ml
NaCl 0,9% 289
兼容
注射液 Netilmicin sulfate 5 mg/ml
注射液 Cisatracurium besylate 0.1 >> 5 mg/ml
葡萄糖5% 299
化學不穩定性 不相容
注射液 Netilmicin sulfate
注射液 Cisplatin
3578
兼容
注射液 Netilmicin sulfate 3 mg/ml
注射液 Clindamycin phosphate 9 mg/ml
NaCl 0,9% 421
兼容
注射液 Netilmicin sulfate 3 mg/ml
注射液 Clindamycin phosphate 9 mg/ml
葡萄糖5% 421
兼容
注射液 Netilmicin sulfate
注射液 Clindamycin phosphate
葡萄糖5% 3526
兼容
注射液 Netilmicin sulfate
注射液 Clindamycin phosphate
NaCl 0,9% 3526
兼容
注射液 Netilmicin sulfate 3 mg/ml
注射液 Dexamethasone sodium phosphate 0.08 mg/ml
NaCl 0,9% 1200
兼容
注射液 Netilmicin sulfate 3 mg/ml
注射液 Dexamethasone sodium phosphate 0.08 mg/ml
葡萄糖5% 1200
兼容
注射液 Netilmicin sulfate 3 mg/ml
注射液 Diazepam 0.04 mg/ml
NaCl 0,9% 1200
兼容
注射液 Netilmicin sulfate 3 mg/ml
注射液 Diphenhydramine hydrochloride 0.4 mg/ml
NaCl 0,9% 1200
不相容
注射液 Netilmicin sulfate
葡萄糖5% 421
兼容
注射液 Netilmicin sulfate 3 mg/ml
注射液 Diazepam 0.04 mg/ml
葡萄糖5% 1200
兼容
注射液 Netilmicin sulfate 3 mg/ml
注射液 Diphenhydramine hydrochloride 0.4 mg/ml
葡萄糖5% 1200
兼容
注射液 Netilmicin sulfate 5 mg/ml
注射液 Docetaxel 0.9 mg/ml
葡萄糖5% 1754
兼容
注射液 Netilmicin sulfate 5 mg/ml
注射液 Doxorubicin hydrochloride liposome peg 0.4 mg/ml
葡萄糖5% 251
未指定的不兼容性 不相容
注射液 Netilmicin sulfate
注射液 Erythromycin lactobionate
3674
兼容
注射液 Netilmicin sulfate 5 mg/ml
注射液 Etoposide phosphate 5 mg/ml
葡萄糖5% 1410
兼容
注射液 Netilmicin sulfate 5 mg/ml
注射液 Filgrastim 30 µg/ml
葡萄糖5% 244
立即沉澱 不相容
注射液 Netilmicin sulfate
注射液 Flucloxacillin sodium
3522
兼容
注射液 Netilmicin sulfate 5 mg/ml
注射液 Fludarabine phosphate 1 mg/ml
葡萄糖5% 492
立即沉澱 不相容
注射液 Netilmicin sulfate 1,5 mg/ml
注射液 Furosemide 0,4 mg/ml
葡萄糖5% 367
立即沉澱 不相容
注射液 Netilmicin sulfate 1,5 mg/ml
注射液 Furosemide 0,4 mg/ml
NaCl 0,9% 367
兼容
注射液 Netilmicin sulfate 5 mg/ml
注射液 Gemcitabine hydrochloride 10 mg/ml
NaCl 0,9% 1423
兼容
注射液 Netilmicin sulfate 5 mg/ml
注射液 Granisetron hydrochloride 0.05 mg/ml
葡萄糖5% 182
立即沉澱 不相容
注射液 Netilmicin sulfate
注射液 Heparin sodium
1022
未指定的不兼容性 不相容
注射液 Netilmicin sulfate
注射液 Heparin sodium
3540
兼容
注射液 Netilmicin sulfate 3 mg/ml
注射液 Hydrocortisone sodium succinate 0.8 mg/ml
NaCl 0,9% 1200
兼容
注射液 Netilmicin sulfate 5 mg/ml
肠外营养(二种混合物) 301
兼容
注射液 Netilmicin sulfate 50 & 100 mg/ml
肠外营养(二种混合物) 999
兼容
注射液 Netilmicin sulfate 5 mg/ml
肠外营养(含脂肪) 1415
兼容
注射液 Netilmicin sulfate
Ringer乳酸溶液 1200
兼容
注射液 Netilmicin sulfate 3 mg/ml
注射液 Hydrocortisone sodium succinate 0.8 mg/ml
葡萄糖5% 1200
兼容
注射液 Netilmicin sulfate 3 mg/ml
注射液 Iron dextran
葡萄糖5% 1200
兼容
注射液 Netilmicin sulfate 3 mg/ml
注射液 Iron dextran
NaCl 0,9% 1200
兼容
注射液 Netilmicin sulfate 3 mg/ml
注射液 Isoprenaline hydrochloride 0.4 mg/ml
葡萄糖5% 1200
兼容
注射液 Netilmicin sulfate 3 mg/ml
注射液 Isoprenaline hydrochloride 0.4 mg/ml
NaCl 0,9% 1200
兼容
注射液 Netilmicin sulfate 5 mg/ml
注射液 Linezolid 2 mg/ml
无 1925
兼容
注射液 Netilmicin sulfate 5 mg/ml
注射液 Melphalan 0.1 mg/ml
NaCl 0,9% 169
兼容
注射液 Netilmicin sulfate 1 mg/ml
注射液 Metronidazole 5 mg/ml
NaCl 0,9% 958
兼容
注射液 Netilmicin sulfate
注射液 Metronidazole
3594
兼容
注射液 Netilmicin sulfate 1.4 mg/ml
注射液 Metronidazole 5 mg/ml
无 1035
兼容
注射液 Netilmicin sulfate 3 mg/ml
注射液 Neostigmine methylsulfate 0.04 mg/ml
葡萄糖5% 1200
兼容
注射液 Netilmicin sulfate 3 mg/ml
注射液 Neostigmine methylsulfate 0.04 mg/ml
NaCl 0,9% 1200
兼容
注射液 Netilmicin sulfate 3 mg/ml
注射液 Norepinephrine bitartrate 0.064 mg/ml
NaCl 0,9% 1200
兼容
注射液 Netilmicin sulfate 3 mg/ml
注射液 Norepinephrine bitartrate 0.064 mg/ml
葡萄糖5% 1200
兼容
注射液 Netilmicin sulfate 3 mg/ml
注射液 Oxytocin
葡萄糖5% 1200
兼容
注射液 Netilmicin sulfate 3 mg/ml
注射液 Oxytocin
NaCl 0,9% 1200
兼容
注射液 Netilmicin sulfate 3 mg/ml
注射液 Phytomenadione 0.1 mg/ml
NaCl 0,9% 1200
兼容
注射液 Netilmicin sulfate 3 mg/ml
注射液 Phytomenadione 0.1 mg/ml
葡萄糖5% 1200
化學不穩定性 不相容
注射液 Netilmicin sulfate
注射液 Piperacillin sodium / tazobactam
3586
兼容
注射液 Netilmicin sulfate 3 mg/ml
注射液 Potassium chloride
葡萄糖5% 1200
兼容
注射液 Netilmicin sulfate 3 mg/ml
注射液 Potassium chloride
NaCl 0,9% 1200
兼容
注射液 Netilmicin sulfate 3 mg/ml
注射液 Procainamide hydrochloride 4 mg/ml
NaCl 0,9% 1200
兼容
注射液 Netilmicin sulfate 3 mg/ml
注射液 Procainamide hydrochloride 4 mg/ml
葡萄糖5% 1200
兼容
注射液 Netilmicin sulfate 3 mg/ml
注射液 Promethazine hydrochloride 0.1 mg/ml
葡萄糖5% 1200
兼容
注射液 Netilmicin sulfate 3 mg/ml
注射液 Promethazine hydrochloride 0.1 mg/ml
NaCl 0,9% 1200
立即沉澱 不相容
注射液 Netilmicin sulfate 5 mg/ml
注射液 Propofol 10 mg/ml
无 300
兼容
注射液 Netilmicin sulfate 1 mg/ml
注射液 Ranitidine hydrochloride 0,5 mg/ml
NaCl 0,9% 958
兼容
注射液 Netilmicin sulfate 5 mg/ml
注射液 Remifentanil hydrochloride 25 & 250 µg/ml
NaCl 0,9% 59
兼容
注射液 Netilmicin sulfate 5 mg/ml
注射液 Sargramostim 10 µg/ml
NaCl 0,9% 335
兼容
注射液 Netilmicin sulfate 5 mg/ml
注射液 Thiotepa 1 mg/ml
葡萄糖5% 249
兼容
注射液 Netilmicin sulfate 3 mg/ml
注射液 Triflupromazine hydrochloride 0.4 mg/ml
葡萄糖5% 1200
兼容
注射液 Netilmicin sulfate 5 mg/ml
注射液 Vinorelbine tartrate 1 mg/ml
NaCl 0,9% 84
兼容
注射液 Netilmicin sulfate
NaCl 0,9% 421
未指定的不兼容性 不相容
注射液 Netilmicin sulfate
注射液 Teicoplanine
3656
未指定的不兼容性 不相容
注射液 Netilmicin sulfate
注射液 Temocilline
2296
兼容
注射液 Netilmicin sulfate 5 mg/ml
注射液 Teniposide 0.1 mg/ml
葡萄糖5% 905
化學不穩定性 不相容
注射液 Netilmicin sulfate
注射液 Ticarcillin / clavulanic acid
3587
兼容
注射液 Netilmicin sulfate 3 mg/ml
注射液 Triflupromazine hydrochloride 0.4 mg/ml
NaCl 0,9% 1200

  Mentions Légales