Ultimo aggiornamento :
27/04/2026
Antibiotico   Netilmicin sulfate  
Iniezione
Aerosol
Stabilità in soluzione Stabilità in miscela Fattori che influenzano la stabilità Compatibilità metodo di iniezione Bibliografia pdf
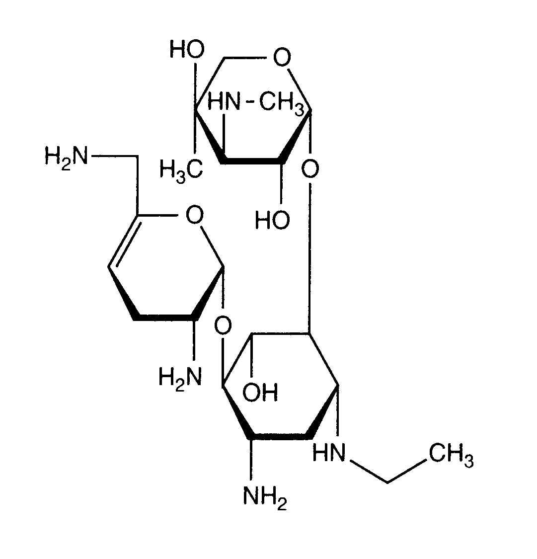
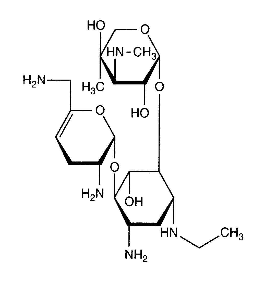
   Struttura chimica  

Nome commerciale   Nome commerciale     

Trade names are indicative and excipients composition can be different depending on the country and manufacturers

Bactob India
Beltob India
Bramicil Italia
Brulamycin Ungheria
Eltol India
Fytobra India
Gernebcin Germania
Komitub India
Nebcin Arabia Saudita, Australia, Egitto, Emirati Arabi Uniti, Gran Bretagna, Grecia, nuova Zelanda
Nebcina Danimarca, Marocco, Norvegia, Svezia
Nebcine Marocco
Nebicina Italia
Netilyn Finlandia, Svezia
Netromicina Portogallo
Netromicine Francia
Netromycine Grecia, Polonia, russo, Turchia
Nettacin Italia
Obracin Belgio, Lussemburgo, Paesi Bassi, Svizzera
Tobra Germania
Tobra Alex Egitto
Tobra Day nuova Zelanda
Tobra Gobens Spagna
Tobracin Egitto
Tobradistin Spagna
Tobramicina Italia, Portogallo, Spagna, Venezuela
Tobramina Brasile
Tobramycin Arabia Saudita, Australia, Canada, Germania, Gran Bretagna, Irlanda, Norvegia, Stati Uniti d’America
Tobramycine Francia, Irlanda, Paesi Bassi
Tobrasix Austria
Tobrazid Germania
Tomycin Finlandia
Zetamicin Italia
Compatibilità   Iniezione   Compatibilità : Netilmicin sulfate              
explication_incompatibilite_molecules
Molecola Solvente Bibliografia
Precipitazioni dopo 1 ora Incompatibile
Iniezione Netilmicin sulfate 5 mg/ml
Iniezione Allopurinol sodium 3 mg/ml
Cloruro di sodio 0,9% 307
Compatibile
Iniezione Netilmicin sulfate 3 mg/ml
NaHCO3 1200
Compatibile
Iniezione Netilmicin sulfate 5 mg/ml
Iniezione Amifostine 10 mg/ml
Glucosio 5% 3
Compatibile
Iniezione Netilmicin sulfate 3 mg/ml
Iniezione Aminocaproic acid 10 mg/ml
Cloruro di sodio 0,9% 1200
Compatibile
Iniezione Netilmicin sulfate 3 mg/ml
Iniezione Aminocaproic acid 10 mg/ml
Glucosio 5% 1200
Compatibile
Iniezione Netilmicin sulfate 5 mg/ml
Iniezione Aminophylline 0,8 mg/ml
NaCl 0,45% Glucosio 5% 1236
Instabilità chimica Incompatibile
Iniezione Netilmicin sulfate
Iniezione Amoxicillin sodium
3527
Incompatibilità non specificata Incompatibile
Iniezione Netilmicin sulfate
Iniezione Amoxicillin sodium / clavulanic acid
3545
Precipitazioni immediate Incompatibile
Iniezione Netilmicin sulfate 5 mg/ml
Iniezione Amphotericin B cholesteryl sulfate complex 0,83 mg/ml
Glucosio 5% 921
Compatibile
Iniezione Netilmicin sulfate 3 mg/ml
Iniezione Atropine sulfate 0.04 mg/ml
Cloruro di sodio 0,9% 1200
Compatibile
Iniezione Netilmicin sulfate 3 mg/ml
Iniezione Atropine sulfate 0.04 mg/ml
Glucosio 5% 1200
Compatibile
Iniezione Netilmicin sulfate 5 mg/ml
Iniezione Aztreonam 40 mg/ml
Glucosio 5% 99
Compatibile
Iniezione Netilmicin sulfate 5 mg/ml
Iniezione Calcium gluconate 40 mg/ml
NaCl 0,45% Glucosio 5% 1236
Incompatibilità non specificata Incompatibile
Iniezione Netilmicin sulfate
Iniezione Calcium gluconate
3644
Incompatibile
Iniezione Netilmicin sulfate
Iniezione Calcium gluconate
4964
Incompatibilità non specificata Incompatibile
Iniezione Netilmicin sulfate
Iniezione Cefamandole nafate
3546
Incompatibilità non specificata Incompatibile
Iniezione Netilmicin sulfate
Iniezione Cefepime dihydrochloride
3548
Incompatibilità non specificata Incompatibile
Iniezione Netilmicin sulfate
Iniezione Cefoperazone sodium
3544
Incompatibilità non specificata Incompatibile
Iniezione Netilmicin sulfate
Iniezione Ceftazidime
3883
Incompatibilità non specificata Incompatibile
Iniezione Netilmicin sulfate
Iniezione Ceftazidime
3543
Incompatibilità non specificata Incompatibile
Iniezione Netilmicin sulfate
Iniezione Ceftriaxone disodium
3523
Incompatibilità non specificata Incompatibile
Iniezione Netilmicin sulfate
Iniezione Cefuroxime sodium
3687
Compatibile
Iniezione Netilmicin sulfate 3 mg/ml
Iniezione Chlorpromazine hydrochloride 0.1 mg/ml
Glucosio 5% 1200
Compatibile
Iniezione Netilmicin sulfate 3 mg/ml
Iniezione Chlorpromazine hydrochloride 0.1 mg/ml
Cloruro di sodio 0,9% 1200
Compatibile
Iniezione Netilmicin sulfate 2,5 mg/ml
Iniezione Ciprofloxacin lactate 2 mg/ml
Cloruro di sodio 0,9% 289
Compatibile
Iniezione Netilmicin sulfate 5 mg/ml
Iniezione Cisatracurium besylate 0.1 >> 5 mg/ml
Glucosio 5% 299
Instabilità chimica Incompatibile
Iniezione Netilmicin sulfate
Iniezione Cisplatin
3578
Compatibile
Iniezione Netilmicin sulfate 3 mg/ml
Iniezione Clindamycin phosphate 9 mg/ml
Cloruro di sodio 0,9% 421
Compatibile
Iniezione Netilmicin sulfate 3 mg/ml
Iniezione Clindamycin phosphate 9 mg/ml
Glucosio 5% 421
Compatibile
Iniezione Netilmicin sulfate
Iniezione Clindamycin phosphate
Glucosio 5% 3526
Compatibile
Iniezione Netilmicin sulfate
Iniezione Clindamycin phosphate
Cloruro di sodio 0,9% 3526
Compatibile
Iniezione Netilmicin sulfate 3 mg/ml
Iniezione Dexamethasone sodium phosphate 0.08 mg/ml
Cloruro di sodio 0,9% 1200
Compatibile
Iniezione Netilmicin sulfate 3 mg/ml
Iniezione Dexamethasone sodium phosphate 0.08 mg/ml
Glucosio 5% 1200
Compatibile
Iniezione Netilmicin sulfate 3 mg/ml
Iniezione Diazepam 0.04 mg/ml
Cloruro di sodio 0,9% 1200
Compatibile
Iniezione Netilmicin sulfate 3 mg/ml
Iniezione Diphenhydramine hydrochloride 0.4 mg/ml
Cloruro di sodio 0,9% 1200
Incompatibile
Iniezione Netilmicin sulfate
Glucosio 5% 421
Compatibile
Iniezione Netilmicin sulfate 3 mg/ml
Iniezione Diazepam 0.04 mg/ml
Glucosio 5% 1200
Compatibile
Iniezione Netilmicin sulfate 3 mg/ml
Iniezione Diphenhydramine hydrochloride 0.4 mg/ml
Glucosio 5% 1200
Compatibile
Iniezione Netilmicin sulfate 5 mg/ml
Iniezione Docetaxel 0.9 mg/ml
Glucosio 5% 1754
Compatibile
Iniezione Netilmicin sulfate 5 mg/ml
Iniezione Doxorubicin hydrochloride liposome peg 0.4 mg/ml
Glucosio 5% 251
Incompatibilità non specificata Incompatibile
Iniezione Netilmicin sulfate
Iniezione Erythromycin lactobionate
3674
Compatibile
Iniezione Netilmicin sulfate 5 mg/ml
Iniezione Etoposide phosphate 5 mg/ml
Glucosio 5% 1410
Compatibile
Iniezione Netilmicin sulfate 5 mg/ml
Iniezione Filgrastim 30 µg/ml
Glucosio 5% 244
Precipitazioni immediate Incompatibile
Iniezione Netilmicin sulfate
Iniezione Flucloxacillin sodium
3522
Compatibile
Iniezione Netilmicin sulfate 5 mg/ml
Iniezione Fludarabine phosphate 1 mg/ml
Glucosio 5% 492
Precipitazioni immediate Incompatibile
Iniezione Netilmicin sulfate 1,5 mg/ml
Iniezione Furosemide 0,4 mg/ml
Glucosio 5% 367
Precipitazioni immediate Incompatibile
Iniezione Netilmicin sulfate 1,5 mg/ml
Iniezione Furosemide 0,4 mg/ml
Cloruro di sodio 0,9% 367
Compatibile
Iniezione Netilmicin sulfate 5 mg/ml
Iniezione Gemcitabine hydrochloride 10 mg/ml
Cloruro di sodio 0,9% 1423
Compatibile
Iniezione Netilmicin sulfate 5 mg/ml
Iniezione Granisetron hydrochloride 0.05 mg/ml
Glucosio 5% 182
Precipitazioni immediate Incompatibile
Iniezione Netilmicin sulfate
Iniezione Heparin sodium
1022
Incompatibilità non specificata Incompatibile
Iniezione Netilmicin sulfate
Iniezione Heparin sodium
3540
Compatibile
Iniezione Netilmicin sulfate 3 mg/ml
Iniezione Hydrocortisone sodium succinate 0.8 mg/ml
Cloruro di sodio 0,9% 1200
Compatibile
Iniezione Netilmicin sulfate 5 mg/ml
Nutrizione parenterale (privo di lipidi) 301
Compatibile
Iniezione Netilmicin sulfate 50 & 100 mg/ml
Nutrizione parenterale (privo di lipidi) 999
Compatibile
Iniezione Netilmicin sulfate 5 mg/ml
Nutrizione parenterale (con lipidi) 1415
Compatibile
Iniezione Netilmicin sulfate
Ringer lattato 1200
Compatibile
Iniezione Netilmicin sulfate 3 mg/ml
Iniezione Hydrocortisone sodium succinate 0.8 mg/ml
Glucosio 5% 1200
Compatibile
Iniezione Netilmicin sulfate 3 mg/ml
Iniezione Iron dextran
Glucosio 5% 1200
Compatibile
Iniezione Netilmicin sulfate 3 mg/ml
Iniezione Iron dextran
Cloruro di sodio 0,9% 1200
Compatibile
Iniezione Netilmicin sulfate 3 mg/ml
Iniezione Isoprenaline hydrochloride 0.4 mg/ml
Glucosio 5% 1200
Compatibile
Iniezione Netilmicin sulfate 3 mg/ml
Iniezione Isoprenaline hydrochloride 0.4 mg/ml
Cloruro di sodio 0,9% 1200
Compatibile
Iniezione Netilmicin sulfate 5 mg/ml
Iniezione Linezolid 2 mg/ml
Nessuno 1925
Compatibile
Iniezione Netilmicin sulfate 5 mg/ml
Iniezione Melphalan 0.1 mg/ml
Cloruro di sodio 0,9% 169
Compatibile
Iniezione Netilmicin sulfate 1 mg/ml
Iniezione Metronidazole 5 mg/ml
Cloruro di sodio 0,9% 958
Compatibile
Iniezione Netilmicin sulfate
Iniezione Metronidazole
3594
Compatibile
Iniezione Netilmicin sulfate 1.4 mg/ml
Iniezione Metronidazole 5 mg/ml
Nessuno 1035
Compatibile
Iniezione Netilmicin sulfate 3 mg/ml
Iniezione Neostigmine methylsulfate 0.04 mg/ml
Glucosio 5% 1200
Compatibile
Iniezione Netilmicin sulfate 3 mg/ml
Iniezione Neostigmine methylsulfate 0.04 mg/ml
Cloruro di sodio 0,9% 1200
Compatibile
Iniezione Netilmicin sulfate 3 mg/ml
Iniezione Norepinephrine bitartrate 0.064 mg/ml
Cloruro di sodio 0,9% 1200
Compatibile
Iniezione Netilmicin sulfate 3 mg/ml
Iniezione Norepinephrine bitartrate 0.064 mg/ml
Glucosio 5% 1200
Compatibile
Iniezione Netilmicin sulfate 3 mg/ml
Iniezione Oxytocin
Glucosio 5% 1200
Compatibile
Iniezione Netilmicin sulfate 3 mg/ml
Iniezione Oxytocin
Cloruro di sodio 0,9% 1200
Compatibile
Iniezione Netilmicin sulfate 3 mg/ml
Iniezione Phytomenadione 0.1 mg/ml
Cloruro di sodio 0,9% 1200
Compatibile
Iniezione Netilmicin sulfate 3 mg/ml
Iniezione Phytomenadione 0.1 mg/ml
Glucosio 5% 1200
Instabilità chimica Incompatibile
Iniezione Netilmicin sulfate
Iniezione Piperacillin sodium / tazobactam
3586
Compatibile
Iniezione Netilmicin sulfate 3 mg/ml
Iniezione Potassium chloride
Glucosio 5% 1200
Compatibile
Iniezione Netilmicin sulfate 3 mg/ml
Iniezione Potassium chloride
Cloruro di sodio 0,9% 1200
Compatibile
Iniezione Netilmicin sulfate 3 mg/ml
Iniezione Procainamide hydrochloride 4 mg/ml
Cloruro di sodio 0,9% 1200
Compatibile
Iniezione Netilmicin sulfate 3 mg/ml
Iniezione Procainamide hydrochloride 4 mg/ml
Glucosio 5% 1200
Compatibile
Iniezione Netilmicin sulfate 3 mg/ml
Iniezione Promethazine hydrochloride 0.1 mg/ml
Glucosio 5% 1200
Compatibile
Iniezione Netilmicin sulfate 3 mg/ml
Iniezione Promethazine hydrochloride 0.1 mg/ml
Cloruro di sodio 0,9% 1200
Precipitazioni immediate Incompatibile
Iniezione Netilmicin sulfate 5 mg/ml
Iniezione Propofol 10 mg/ml
Nessuno 300
Compatibile
Iniezione Netilmicin sulfate 1 mg/ml
Iniezione Ranitidine hydrochloride 0,5 mg/ml
Cloruro di sodio 0,9% 958
Compatibile
Iniezione Netilmicin sulfate 5 mg/ml
Iniezione Remifentanil hydrochloride 25 & 250 µg/ml
Cloruro di sodio 0,9% 59
Compatibile
Iniezione Netilmicin sulfate 5 mg/ml
Iniezione Sargramostim 10 µg/ml
Cloruro di sodio 0,9% 335
Compatibile
Iniezione Netilmicin sulfate 5 mg/ml
Iniezione Thiotepa 1 mg/ml
Glucosio 5% 249
Compatibile
Iniezione Netilmicin sulfate 3 mg/ml
Iniezione Triflupromazine hydrochloride 0.4 mg/ml
Glucosio 5% 1200
Compatibile
Iniezione Netilmicin sulfate 5 mg/ml
Iniezione Vinorelbine tartrate 1 mg/ml
Cloruro di sodio 0,9% 84
Compatibile
Iniezione Netilmicin sulfate
Cloruro di sodio 0,9% 421
Incompatibilità non specificata Incompatibile
Iniezione Netilmicin sulfate
Iniezione Teicoplanine
3656
Incompatibilità non specificata Incompatibile
Iniezione Netilmicin sulfate
Iniezione Temocilline
2296
Compatibile
Iniezione Netilmicin sulfate 5 mg/ml
Iniezione Teniposide 0.1 mg/ml
Glucosio 5% 905
Instabilità chimica Incompatibile
Iniezione Netilmicin sulfate
Iniezione Ticarcillin / clavulanic acid
3587
Compatibile
Iniezione Netilmicin sulfate 3 mg/ml
Iniezione Triflupromazine hydrochloride 0.4 mg/ml
Cloruro di sodio 0,9% 1200

  Mentions Légales