Viimeisin päivitys :
27/04/2026
Antibiootit   Netilmicin sulfate  
Injektioneste
Aerosoli
Stabilius liuoksessa Stabilius seoksissa Tekijät, jotka vaikuttavat stabiliuteen Yhteensopivuus Antotapa Viitteet pdf
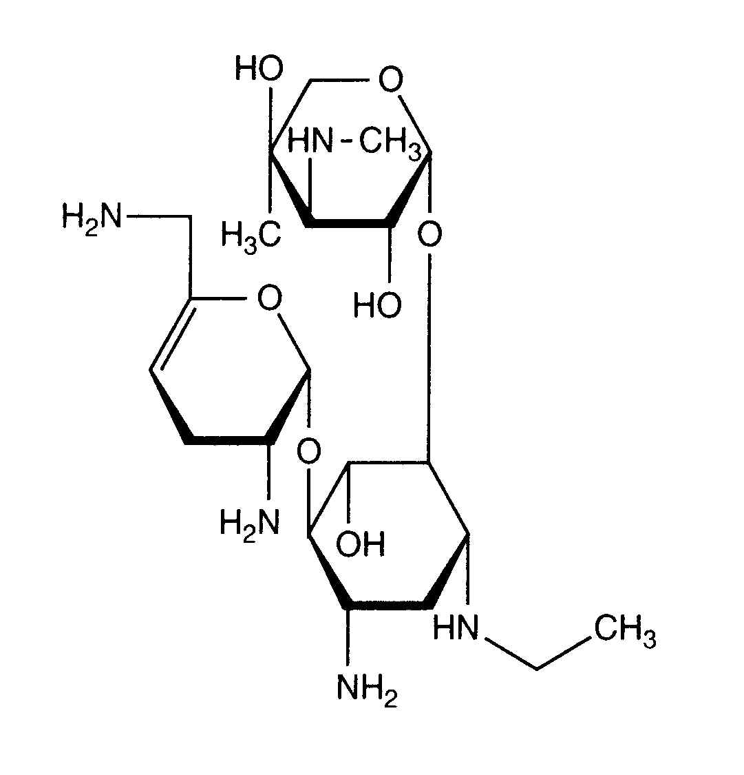
   Kemiallinen rakenne  

Kauppanimi   Kauppanimi     

Trade names are indicative and excipients composition can be different depending on the country and manufacturers

Bactob Intia
Beltob Intia
Bramicil Italia
Brulamycin Unkari
Eltol Intia
Fytobra Intia
Gernebcin Saksa
Komitub Intia
Nebcin Australia, Egypti, Iso-Britannia, Kreikka, New Zealand, Saudi-Arabia, Yhdistyneet arabiemiirikunnat
Nebcina Marokko, Norja, Ruotsi, Tanska
Nebcine Marokko
Nebicina Italia
Netilyn Ruotsi, Suomi
Netromicina Portugali
Netromicine Ranska
Netromycine Kreikka, Puola, Turkki, venäjä
Nettacin Italia
Obracin Belgia, Hollanti, Luxemburg, Sveitsi
Tobra Saksa
Tobra Alex Egypti
Tobra Day New Zealand
Tobra Gobens Espanja
Tobracin Egypti
Tobradistin Espanja
Tobramicina Espanja, Italia, Portugali, Venezuela
Tobramina Brasilia
Tobramycin Australia, Irlanti, Iso-Britannia, Kanada, Norja, Saksa, Saudi-Arabia, Yhdysvallat
Tobramycine Hollanti, Irlanti, Ranska
Tobrasix Itävalta
Tobrazid Saksa
Tomycin Suomi
Zetamicin Italia
Yhteensopivuus   Injektioneste   Yhteensopivuus : Netilmicin sulfate              
Tämä näyttö osoittaa yhteensopivuuden tai yhteensopimattomuuden yhteensopimattomuuden tyypin kanssa (saostuminen, värinmuutos, emulsiomuutos jne.). Tässä esitetty yhteensopivuus on useimmissa tapauksissa vain fysikaalinen, ja kunkin molekyylin kemiallista stabiilisuutta arvioidaan harvoin. Näiden seosten arviointia tutkittiin mahdollisuuden antaa Y-kohta potilaalle. Näitä tietoja ei voida käyttää seosten valmistamiseen etukäteen pusseissa tai ruiskuissa. Tämäntyyppiset tiedot ovat saatavilla "Stabiilisuus seoksessa" -näytössä.
Yhdiste Liuotin Viitteet
Sade 1 tunnin kuluttua yhteensopimaton
Injektioneste Netilmicin sulfate 5 mg/ml
Injektioneste Allopurinol sodium 3 mg/ml
Natriumkloridi 0,9% 307
Yhteensopiva
Injektioneste Netilmicin sulfate 3 mg/ml
NaHCO3 1200
Yhteensopiva
Injektioneste Netilmicin sulfate 5 mg/ml
Injektioneste Amifostine 10 mg/ml
Glukoosi 5% 3
Yhteensopiva
Injektioneste Netilmicin sulfate 3 mg/ml
Injektioneste Aminocaproic acid 10 mg/ml
Natriumkloridi 0,9% 1200
Yhteensopiva
Injektioneste Netilmicin sulfate 3 mg/ml
Injektioneste Aminocaproic acid 10 mg/ml
Glukoosi 5% 1200
Yhteensopiva
Injektioneste Netilmicin sulfate 5 mg/ml
Injektioneste Aminophylline 0,8 mg/ml
Natriumkloridi 0,45% Glukoosi 5% 1236
Kemiallinen epävakaus yhteensopimaton
Injektioneste Netilmicin sulfate
Injektioneste Amoxicillin sodium
3527
Määrittelemätön yhteensopimattomuus yhteensopimaton
Injektioneste Netilmicin sulfate
Injektioneste Amoxicillin sodium / clavulanic acid
3545
Välittömät sateet yhteensopimaton
Injektioneste Netilmicin sulfate 5 mg/ml
Injektioneste Amphotericin B cholesteryl sulfate complex 0,83 mg/ml
Glukoosi 5% 921
Yhteensopiva
Injektioneste Netilmicin sulfate 3 mg/ml
Injektioneste Atropine sulfate 0.04 mg/ml
Natriumkloridi 0,9% 1200
Yhteensopiva
Injektioneste Netilmicin sulfate 3 mg/ml
Injektioneste Atropine sulfate 0.04 mg/ml
Glukoosi 5% 1200
Yhteensopiva
Injektioneste Netilmicin sulfate 5 mg/ml
Injektioneste Aztreonam 40 mg/ml
Glukoosi 5% 99
Yhteensopiva
Injektioneste Netilmicin sulfate 5 mg/ml
Injektioneste Calcium gluconate 40 mg/ml
Natriumkloridi 0,45% Glukoosi 5% 1236
Määrittelemätön yhteensopimattomuus yhteensopimaton
Injektioneste Netilmicin sulfate
Injektioneste Calcium gluconate
3644
yhteensopimaton
Injektioneste Netilmicin sulfate
Injektioneste Calcium gluconate
4964
Määrittelemätön yhteensopimattomuus yhteensopimaton
Injektioneste Netilmicin sulfate
Injektioneste Cefamandole nafate
3546
Määrittelemätön yhteensopimattomuus yhteensopimaton
Injektioneste Netilmicin sulfate
Injektioneste Cefepime dihydrochloride
3548
Määrittelemätön yhteensopimattomuus yhteensopimaton
Injektioneste Netilmicin sulfate
Injektioneste Cefoperazone sodium
3544
Määrittelemätön yhteensopimattomuus yhteensopimaton
Injektioneste Netilmicin sulfate
Injektioneste Ceftazidime
3883
Määrittelemätön yhteensopimattomuus yhteensopimaton
Injektioneste Netilmicin sulfate
Injektioneste Ceftazidime
3543
Määrittelemätön yhteensopimattomuus yhteensopimaton
Injektioneste Netilmicin sulfate
Injektioneste Ceftriaxone disodium
3523
Määrittelemätön yhteensopimattomuus yhteensopimaton
Injektioneste Netilmicin sulfate
Injektioneste Cefuroxime sodium
3687
Yhteensopiva
Injektioneste Netilmicin sulfate 3 mg/ml
Injektioneste Chlorpromazine hydrochloride 0.1 mg/ml
Glukoosi 5% 1200
Yhteensopiva
Injektioneste Netilmicin sulfate 3 mg/ml
Injektioneste Chlorpromazine hydrochloride 0.1 mg/ml
Natriumkloridi 0,9% 1200
Yhteensopiva
Injektioneste Netilmicin sulfate 2,5 mg/ml
Injektioneste Ciprofloxacin lactate 2 mg/ml
Natriumkloridi 0,9% 289
Yhteensopiva
Injektioneste Netilmicin sulfate 5 mg/ml
Injektioneste Cisatracurium besylate 0.1 >> 5 mg/ml
Glukoosi 5% 299
Kemiallinen epävakaus yhteensopimaton
Injektioneste Netilmicin sulfate
Injektioneste Cisplatin
3578
Yhteensopiva
Injektioneste Netilmicin sulfate 3 mg/ml
Injektioneste Clindamycin phosphate 9 mg/ml
Natriumkloridi 0,9% 421
Yhteensopiva
Injektioneste Netilmicin sulfate 3 mg/ml
Injektioneste Clindamycin phosphate 9 mg/ml
Glukoosi 5% 421
Yhteensopiva
Injektioneste Netilmicin sulfate
Injektioneste Clindamycin phosphate
Glukoosi 5% 3526
Yhteensopiva
Injektioneste Netilmicin sulfate
Injektioneste Clindamycin phosphate
Natriumkloridi 0,9% 3526
Yhteensopiva
Injektioneste Netilmicin sulfate 3 mg/ml
Injektioneste Dexamethasone sodium phosphate 0.08 mg/ml
Natriumkloridi 0,9% 1200
Yhteensopiva
Injektioneste Netilmicin sulfate 3 mg/ml
Injektioneste Dexamethasone sodium phosphate 0.08 mg/ml
Glukoosi 5% 1200
Yhteensopiva
Injektioneste Netilmicin sulfate 3 mg/ml
Injektioneste Diazepam 0.04 mg/ml
Natriumkloridi 0,9% 1200
Yhteensopiva
Injektioneste Netilmicin sulfate 3 mg/ml
Injektioneste Diphenhydramine hydrochloride 0.4 mg/ml
Natriumkloridi 0,9% 1200
yhteensopimaton
Injektioneste Netilmicin sulfate
Glukoosi 5% 421
Yhteensopiva
Injektioneste Netilmicin sulfate 3 mg/ml
Injektioneste Diazepam 0.04 mg/ml
Glukoosi 5% 1200
Yhteensopiva
Injektioneste Netilmicin sulfate 3 mg/ml
Injektioneste Diphenhydramine hydrochloride 0.4 mg/ml
Glukoosi 5% 1200
Yhteensopiva
Injektioneste Netilmicin sulfate 5 mg/ml
Injektioneste Docetaxel 0.9 mg/ml
Glukoosi 5% 1754
Yhteensopiva
Injektioneste Netilmicin sulfate 5 mg/ml
Injektioneste Doxorubicin hydrochloride liposome peg 0.4 mg/ml
Glukoosi 5% 251
Määrittelemätön yhteensopimattomuus yhteensopimaton
Injektioneste Netilmicin sulfate
Injektioneste Erythromycin lactobionate
3674
Yhteensopiva
Injektioneste Netilmicin sulfate 5 mg/ml
Injektioneste Etoposide phosphate 5 mg/ml
Glukoosi 5% 1410
Yhteensopiva
Injektioneste Netilmicin sulfate 5 mg/ml
Injektioneste Filgrastim 30 µg/ml
Glukoosi 5% 244
Välittömät sateet yhteensopimaton
Injektioneste Netilmicin sulfate
Injektioneste Flucloxacillin sodium
3522
Yhteensopiva
Injektioneste Netilmicin sulfate 5 mg/ml
Injektioneste Fludarabine phosphate 1 mg/ml
Glukoosi 5% 492
Välittömät sateet yhteensopimaton
Injektioneste Netilmicin sulfate 1,5 mg/ml
Injektioneste Furosemide 0,4 mg/ml
Glukoosi 5% 367
Välittömät sateet yhteensopimaton
Injektioneste Netilmicin sulfate 1,5 mg/ml
Injektioneste Furosemide 0,4 mg/ml
Natriumkloridi 0,9% 367
Yhteensopiva
Injektioneste Netilmicin sulfate 5 mg/ml
Injektioneste Gemcitabine hydrochloride 10 mg/ml
Natriumkloridi 0,9% 1423
Yhteensopiva
Injektioneste Netilmicin sulfate 5 mg/ml
Injektioneste Granisetron hydrochloride 0.05 mg/ml
Glukoosi 5% 182
Välittömät sateet yhteensopimaton
Injektioneste Netilmicin sulfate
Injektioneste Heparin sodium
1022
Määrittelemätön yhteensopimattomuus yhteensopimaton
Injektioneste Netilmicin sulfate
Injektioneste Heparin sodium
3540
Yhteensopiva
Injektioneste Netilmicin sulfate 3 mg/ml
Injektioneste Hydrocortisone sodium succinate 0.8 mg/ml
Natriumkloridi 0,9% 1200
Yhteensopiva
Injektioneste Netilmicin sulfate 5 mg/ml
Parenteraalisesti (rasva-free) 301
Yhteensopiva
Injektioneste Netilmicin sulfate 50 & 100 mg/ml
Parenteraalisesti (rasva-free) 999
Yhteensopiva
Injektioneste Netilmicin sulfate 5 mg/ml
Parenteraalinen (lipidien) 1415
Yhteensopiva
Injektioneste Netilmicin sulfate
Ringerlaktaattiliuos 1200
Yhteensopiva
Injektioneste Netilmicin sulfate 3 mg/ml
Injektioneste Hydrocortisone sodium succinate 0.8 mg/ml
Glukoosi 5% 1200
Yhteensopiva
Injektioneste Netilmicin sulfate 3 mg/ml
Injektioneste Iron dextran
Glukoosi 5% 1200
Yhteensopiva
Injektioneste Netilmicin sulfate 3 mg/ml
Injektioneste Iron dextran
Natriumkloridi 0,9% 1200
Yhteensopiva
Injektioneste Netilmicin sulfate 3 mg/ml
Injektioneste Isoprenaline hydrochloride 0.4 mg/ml
Glukoosi 5% 1200
Yhteensopiva
Injektioneste Netilmicin sulfate 3 mg/ml
Injektioneste Isoprenaline hydrochloride 0.4 mg/ml
Natriumkloridi 0,9% 1200
Yhteensopiva
Injektioneste Netilmicin sulfate 5 mg/ml
Injektioneste Linezolid 2 mg/ml
Ei mikään 1925
Yhteensopiva
Injektioneste Netilmicin sulfate 5 mg/ml
Injektioneste Melphalan 0.1 mg/ml
Natriumkloridi 0,9% 169
Yhteensopiva
Injektioneste Netilmicin sulfate 1 mg/ml
Injektioneste Metronidazole 5 mg/ml
Natriumkloridi 0,9% 958
Yhteensopiva
Injektioneste Netilmicin sulfate
Injektioneste Metronidazole
3594
Yhteensopiva
Injektioneste Netilmicin sulfate 1.4 mg/ml
Injektioneste Metronidazole 5 mg/ml
Ei mikään 1035
Yhteensopiva
Injektioneste Netilmicin sulfate 3 mg/ml
Injektioneste Neostigmine methylsulfate 0.04 mg/ml
Glukoosi 5% 1200
Yhteensopiva
Injektioneste Netilmicin sulfate 3 mg/ml
Injektioneste Neostigmine methylsulfate 0.04 mg/ml
Natriumkloridi 0,9% 1200
Yhteensopiva
Injektioneste Netilmicin sulfate 3 mg/ml
Injektioneste Norepinephrine bitartrate 0.064 mg/ml
Natriumkloridi 0,9% 1200
Yhteensopiva
Injektioneste Netilmicin sulfate 3 mg/ml
Injektioneste Norepinephrine bitartrate 0.064 mg/ml
Glukoosi 5% 1200
Yhteensopiva
Injektioneste Netilmicin sulfate 3 mg/ml
Injektioneste Oxytocin
Glukoosi 5% 1200
Yhteensopiva
Injektioneste Netilmicin sulfate 3 mg/ml
Injektioneste Oxytocin
Natriumkloridi 0,9% 1200
Yhteensopiva
Injektioneste Netilmicin sulfate 3 mg/ml
Injektioneste Phytomenadione 0.1 mg/ml
Natriumkloridi 0,9% 1200
Yhteensopiva
Injektioneste Netilmicin sulfate 3 mg/ml
Injektioneste Phytomenadione 0.1 mg/ml
Glukoosi 5% 1200
Kemiallinen epävakaus yhteensopimaton
Injektioneste Netilmicin sulfate
Injektioneste Piperacillin sodium / tazobactam
3586
Yhteensopiva
Injektioneste Netilmicin sulfate 3 mg/ml
Injektioneste Potassium chloride
Glukoosi 5% 1200
Yhteensopiva
Injektioneste Netilmicin sulfate 3 mg/ml
Injektioneste Potassium chloride
Natriumkloridi 0,9% 1200
Yhteensopiva
Injektioneste Netilmicin sulfate 3 mg/ml
Injektioneste Procainamide hydrochloride 4 mg/ml
Natriumkloridi 0,9% 1200
Yhteensopiva
Injektioneste Netilmicin sulfate 3 mg/ml
Injektioneste Procainamide hydrochloride 4 mg/ml
Glukoosi 5% 1200
Yhteensopiva
Injektioneste Netilmicin sulfate 3 mg/ml
Injektioneste Promethazine hydrochloride 0.1 mg/ml
Glukoosi 5% 1200
Yhteensopiva
Injektioneste Netilmicin sulfate 3 mg/ml
Injektioneste Promethazine hydrochloride 0.1 mg/ml
Natriumkloridi 0,9% 1200
Välittömät sateet yhteensopimaton
Injektioneste Netilmicin sulfate 5 mg/ml
Injektioneste Propofol 10 mg/ml
Ei mikään 300
Yhteensopiva
Injektioneste Netilmicin sulfate 1 mg/ml
Injektioneste Ranitidine hydrochloride 0,5 mg/ml
Natriumkloridi 0,9% 958
Yhteensopiva
Injektioneste Netilmicin sulfate 5 mg/ml
Injektioneste Remifentanil hydrochloride 25 & 250 µg/ml
Natriumkloridi 0,9% 59
Yhteensopiva
Injektioneste Netilmicin sulfate 5 mg/ml
Injektioneste Sargramostim 10 µg/ml
Natriumkloridi 0,9% 335
Yhteensopiva
Injektioneste Netilmicin sulfate 5 mg/ml
Injektioneste Thiotepa 1 mg/ml
Glukoosi 5% 249
Yhteensopiva
Injektioneste Netilmicin sulfate 3 mg/ml
Injektioneste Triflupromazine hydrochloride 0.4 mg/ml
Glukoosi 5% 1200
Yhteensopiva
Injektioneste Netilmicin sulfate 5 mg/ml
Injektioneste Vinorelbine tartrate 1 mg/ml
Natriumkloridi 0,9% 84
Yhteensopiva
Injektioneste Netilmicin sulfate
Natriumkloridi 0,9% 421
Määrittelemätön yhteensopimattomuus yhteensopimaton
Injektioneste Netilmicin sulfate
Injektioneste Teicoplanine
3656
Määrittelemätön yhteensopimattomuus yhteensopimaton
Injektioneste Netilmicin sulfate
Injektioneste Temocilline
2296
Yhteensopiva
Injektioneste Netilmicin sulfate 5 mg/ml
Injektioneste Teniposide 0.1 mg/ml
Glukoosi 5% 905
Kemiallinen epävakaus yhteensopimaton
Injektioneste Netilmicin sulfate
Injektioneste Ticarcillin / clavulanic acid
3587
Yhteensopiva
Injektioneste Netilmicin sulfate 3 mg/ml
Injektioneste Triflupromazine hydrochloride 0.4 mg/ml
Natriumkloridi 0,9% 1200

  Mentions Légales