Zadnji put ažurirano :
27/04/2026
antibiotik   Netilmicin sulfate  
injekcija
aerosol
Stabilizacija rješenja Stabilnost mješavine Stabilizacijski faktor Kompatibilnosti način davanja lijeka Bibliografija pdf
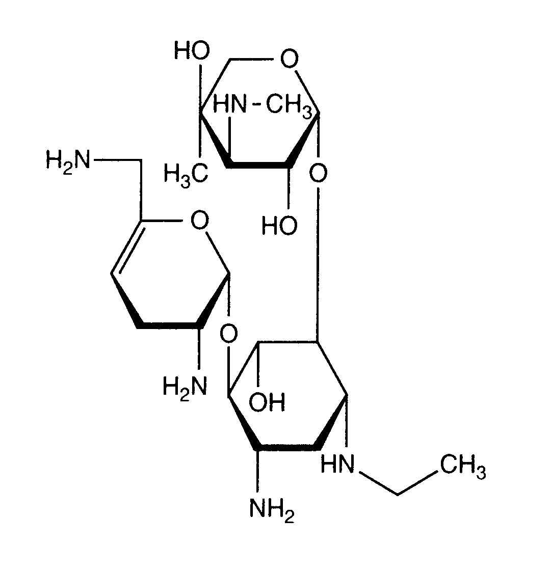
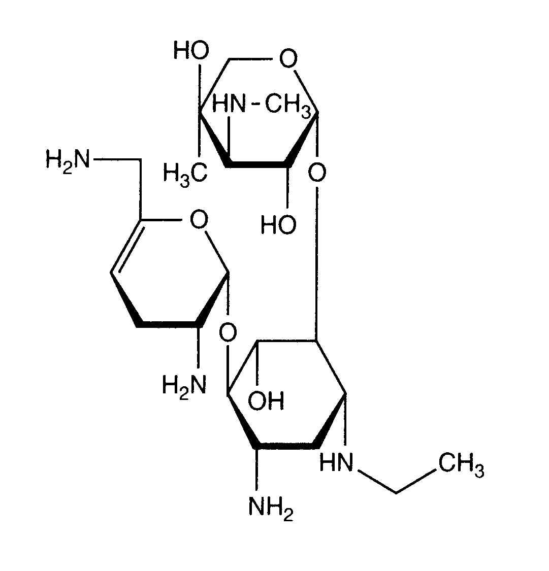
   Kemijska struktura  

Nekomercijalni   Nekomercijalni     

Zaštićeni nazivi su indikativni i sastav ekscipijensa može biti različit ovisno o državi i laboratorijima

Bactob Indija
Beltob Indija
Bramicil Italija
Brulamycin Madžarska
Eltol Indija
Fytobra Indija
Gernebcin Njemačka
Komitub Indija
Nebcin Australija, Egipat, Grčka, novi Zeland, Saudijska Arabija, Ujedinjeni Arapski Emirati, Velika Britanija
Nebcina Danska, Maroko, Norveška, Švedska
Nebcine Maroko
Nebicina Italija
Netilyn Finska, Švedska
Netromicina Portugal
Netromicine Francuska
Netromycine Grčka, Poljska, ruski, Turska
Nettacin Italija
Obracin Belgija, Luksemburg, Nizozemska, Švicarska
Tobra Njemačka
Tobra Alex Egipat
Tobra Day novi Zeland
Tobra Gobens Španjolska
Tobracin Egipat
Tobradistin Španjolska
Tobramicina Italija, Portugal, Španjolska, Venecuela
Tobramina Brazil
Tobramycin Australija, Irska, Kanada, Njemačka, Norveška, S A D, Saudijska Arabija, Velika Britanija
Tobramycine Francuska, Irska, Nizozemska
Tobrasix Austrija
Tobrazid Njemačka
Tomycin Finska
Zetamicin Italija
Kompatibilnosti   injekcija   Kompatibilnosti : Netilmicin sulfate              
Ovdje su prikazane kompatibilnosti ili nekompatibilnosti s tipom nekompatibilnosti (taloženje, promjena boje, modifikacija emulzije itd.) u ovom slučaju. Kompatibilnosti prikazane ovdje najčešće su fizikalne dok se kemijska stabilnost molekule rijetko procjenjuje. Procjena ovih mikstura je proučavana kako bi se razmotrila mogućnost primjene lijeka putem Y-mjesta. Ovi se podaci ne smiju koristiti za pripremu mikstura unaprijed u vrećicama ili štrcaljkama. Ova vrsta informacije se može pronaći u odjeljku « stabilnost u miksturama ».
molekula sredstvo za rastapanje Bibliografija
Padavine nakon 1 sata inkompatibilan
injekcija Netilmicin sulfate 5 mg/ml
injekcija Allopurinol sodium 3 mg/ml
natrijumkorid 0,9% 307
Kompatibilan
injekcija Netilmicin sulfate 3 mg/ml
NaHCO3 1200
Kompatibilan
injekcija Netilmicin sulfate 5 mg/ml
injekcija Amifostine 10 mg/ml
glukoza 5% 3
Kompatibilan
injekcija Netilmicin sulfate 3 mg/ml
injekcija Aminocaproic acid 10 mg/ml
natrijumkorid 0,9% 1200
Kompatibilan
injekcija Netilmicin sulfate 3 mg/ml
injekcija Aminocaproic acid 10 mg/ml
glukoza 5% 1200
Kompatibilan
injekcija Netilmicin sulfate 5 mg/ml
injekcija Aminophylline 0,8 mg/ml
NaCL 0,45% glukoza 1236
Kemijska nestabilnost inkompatibilan
injekcija Netilmicin sulfate
injekcija Amoxicillin sodium
3527
Neodređena nespojivost inkompatibilan
injekcija Netilmicin sulfate
injekcija Amoxicillin sodium / clavulanic acid
3545
Neposredne oborine inkompatibilan
injekcija Netilmicin sulfate 5 mg/ml
injekcija Amphotericin B cholesteryl sulfate complex 0,83 mg/ml
glukoza 5% 921
Kompatibilan
injekcija Netilmicin sulfate 3 mg/ml
injekcija Atropine sulfate 0.04 mg/ml
natrijumkorid 0,9% 1200
Kompatibilan
injekcija Netilmicin sulfate 3 mg/ml
injekcija Atropine sulfate 0.04 mg/ml
glukoza 5% 1200
Kompatibilan
injekcija Netilmicin sulfate 5 mg/ml
injekcija Aztreonam 40 mg/ml
glukoza 5% 99
Kompatibilan
injekcija Netilmicin sulfate 5 mg/ml
injekcija Calcium gluconate 40 mg/ml
NaCL 0,45% glukoza 1236
Neodređena nespojivost inkompatibilan
injekcija Netilmicin sulfate
injekcija Calcium gluconate
3644
inkompatibilan
injekcija Netilmicin sulfate
injekcija Calcium gluconate
4964
Neodređena nespojivost inkompatibilan
injekcija Netilmicin sulfate
injekcija Cefamandole nafate
3546
Neodređena nespojivost inkompatibilan
injekcija Netilmicin sulfate
injekcija Cefepime dihydrochloride
3548
Neodređena nespojivost inkompatibilan
injekcija Netilmicin sulfate
injekcija Cefoperazone sodium
3544
Neodređena nespojivost inkompatibilan
injekcija Netilmicin sulfate
injekcija Ceftazidime
3883
Neodređena nespojivost inkompatibilan
injekcija Netilmicin sulfate
injekcija Ceftazidime
3543
Neodređena nespojivost inkompatibilan
injekcija Netilmicin sulfate
injekcija Ceftriaxone disodium
3523
Neodređena nespojivost inkompatibilan
injekcija Netilmicin sulfate
injekcija Cefuroxime sodium
3687
Kompatibilan
injekcija Netilmicin sulfate 3 mg/ml
injekcija Chlorpromazine hydrochloride 0.1 mg/ml
glukoza 5% 1200
Kompatibilan
injekcija Netilmicin sulfate 3 mg/ml
injekcija Chlorpromazine hydrochloride 0.1 mg/ml
natrijumkorid 0,9% 1200
Kompatibilan
injekcija Netilmicin sulfate 2,5 mg/ml
injekcija Ciprofloxacin lactate 2 mg/ml
natrijumkorid 0,9% 289
Kompatibilan
injekcija Netilmicin sulfate 5 mg/ml
injekcija Cisatracurium besylate 0.1 >> 5 mg/ml
glukoza 5% 299
Kemijska nestabilnost inkompatibilan
injekcija Netilmicin sulfate
injekcija Cisplatin
3578
Kompatibilan
injekcija Netilmicin sulfate 3 mg/ml
injekcija Clindamycin phosphate 9 mg/ml
natrijumkorid 0,9% 421
Kompatibilan
injekcija Netilmicin sulfate 3 mg/ml
injekcija Clindamycin phosphate 9 mg/ml
glukoza 5% 421
Kompatibilan
injekcija Netilmicin sulfate
injekcija Clindamycin phosphate
glukoza 5% 3526
Kompatibilan
injekcija Netilmicin sulfate
injekcija Clindamycin phosphate
natrijumkorid 0,9% 3526
Kompatibilan
injekcija Netilmicin sulfate 3 mg/ml
injekcija Dexamethasone sodium phosphate 0.08 mg/ml
natrijumkorid 0,9% 1200
Kompatibilan
injekcija Netilmicin sulfate 3 mg/ml
injekcija Dexamethasone sodium phosphate 0.08 mg/ml
glukoza 5% 1200
Kompatibilan
injekcija Netilmicin sulfate 3 mg/ml
injekcija Diazepam 0.04 mg/ml
natrijumkorid 0,9% 1200
Kompatibilan
injekcija Netilmicin sulfate 3 mg/ml
injekcija Diphenhydramine hydrochloride 0.4 mg/ml
natrijumkorid 0,9% 1200
inkompatibilan
injekcija Netilmicin sulfate
glukoza 5% 421
Kompatibilan
injekcija Netilmicin sulfate 3 mg/ml
injekcija Diazepam 0.04 mg/ml
glukoza 5% 1200
Kompatibilan
injekcija Netilmicin sulfate 3 mg/ml
injekcija Diphenhydramine hydrochloride 0.4 mg/ml
glukoza 5% 1200
Kompatibilan
injekcija Netilmicin sulfate 5 mg/ml
injekcija Docetaxel 0.9 mg/ml
glukoza 5% 1754
Kompatibilan
injekcija Netilmicin sulfate 5 mg/ml
injekcija Doxorubicin hydrochloride liposome peg 0.4 mg/ml
glukoza 5% 251
Neodređena nespojivost inkompatibilan
injekcija Netilmicin sulfate
injekcija Erythromycin lactobionate
3674
Kompatibilan
injekcija Netilmicin sulfate 5 mg/ml
injekcija Etoposide phosphate 5 mg/ml
glukoza 5% 1410
Kompatibilan
injekcija Netilmicin sulfate 5 mg/ml
injekcija Filgrastim 30 µg/ml
glukoza 5% 244
Neposredne oborine inkompatibilan
injekcija Netilmicin sulfate
injekcija Flucloxacillin sodium
3522
Kompatibilan
injekcija Netilmicin sulfate 5 mg/ml
injekcija Fludarabine phosphate 1 mg/ml
glukoza 5% 492
Neposredne oborine inkompatibilan
injekcija Netilmicin sulfate 1,5 mg/ml
injekcija Furosemide 0,4 mg/ml
glukoza 5% 367
Neposredne oborine inkompatibilan
injekcija Netilmicin sulfate 1,5 mg/ml
injekcija Furosemide 0,4 mg/ml
natrijumkorid 0,9% 367
Kompatibilan
injekcija Netilmicin sulfate 5 mg/ml
injekcija Gemcitabine hydrochloride 10 mg/ml
natrijumkorid 0,9% 1423
Kompatibilan
injekcija Netilmicin sulfate 5 mg/ml
injekcija Granisetron hydrochloride 0.05 mg/ml
glukoza 5% 182
Neposredne oborine inkompatibilan
injekcija Netilmicin sulfate
injekcija Heparin sodium
1022
Neodređena nespojivost inkompatibilan
injekcija Netilmicin sulfate
injekcija Heparin sodium
3540
Kompatibilan
injekcija Netilmicin sulfate 3 mg/ml
injekcija Hydrocortisone sodium succinate 0.8 mg/ml
natrijumkorid 0,9% 1200
Kompatibilan
injekcija Netilmicin sulfate 5 mg/ml
Parenteralna prehrana (bezlipidna) 301
Kompatibilan
injekcija Netilmicin sulfate 50 & 100 mg/ml
Parenteralna prehrana (bezlipidna) 999
Kompatibilan
injekcija Netilmicin sulfate 5 mg/ml
Parenteralna prehrana (lipidima) 1415
Kompatibilan
injekcija Netilmicin sulfate
Ringer laktat 1200
Kompatibilan
injekcija Netilmicin sulfate 3 mg/ml
injekcija Hydrocortisone sodium succinate 0.8 mg/ml
glukoza 5% 1200
Kompatibilan
injekcija Netilmicin sulfate 3 mg/ml
injekcija Iron dextran
glukoza 5% 1200
Kompatibilan
injekcija Netilmicin sulfate 3 mg/ml
injekcija Iron dextran
natrijumkorid 0,9% 1200
Kompatibilan
injekcija Netilmicin sulfate 3 mg/ml
injekcija Isoprenaline hydrochloride 0.4 mg/ml
glukoza 5% 1200
Kompatibilan
injekcija Netilmicin sulfate 3 mg/ml
injekcija Isoprenaline hydrochloride 0.4 mg/ml
natrijumkorid 0,9% 1200
Kompatibilan
injekcija Netilmicin sulfate 5 mg/ml
injekcija Linezolid 2 mg/ml
nijedan 1925
Kompatibilan
injekcija Netilmicin sulfate 5 mg/ml
injekcija Melphalan 0.1 mg/ml
natrijumkorid 0,9% 169
Kompatibilan
injekcija Netilmicin sulfate 1 mg/ml
injekcija Metronidazole 5 mg/ml
natrijumkorid 0,9% 958
Kompatibilan
injekcija Netilmicin sulfate
injekcija Metronidazole
3594
Kompatibilan
injekcija Netilmicin sulfate 1.4 mg/ml
injekcija Metronidazole 5 mg/ml
nijedan 1035
Kompatibilan
injekcija Netilmicin sulfate 3 mg/ml
injekcija Neostigmine methylsulfate 0.04 mg/ml
glukoza 5% 1200
Kompatibilan
injekcija Netilmicin sulfate 3 mg/ml
injekcija Neostigmine methylsulfate 0.04 mg/ml
natrijumkorid 0,9% 1200
Kompatibilan
injekcija Netilmicin sulfate 3 mg/ml
injekcija Norepinephrine bitartrate 0.064 mg/ml
natrijumkorid 0,9% 1200
Kompatibilan
injekcija Netilmicin sulfate 3 mg/ml
injekcija Norepinephrine bitartrate 0.064 mg/ml
glukoza 5% 1200
Kompatibilan
injekcija Netilmicin sulfate 3 mg/ml
injekcija Oxytocin
glukoza 5% 1200
Kompatibilan
injekcija Netilmicin sulfate 3 mg/ml
injekcija Oxytocin
natrijumkorid 0,9% 1200
Kompatibilan
injekcija Netilmicin sulfate 3 mg/ml
injekcija Phytomenadione 0.1 mg/ml
natrijumkorid 0,9% 1200
Kompatibilan
injekcija Netilmicin sulfate 3 mg/ml
injekcija Phytomenadione 0.1 mg/ml
glukoza 5% 1200
Kemijska nestabilnost inkompatibilan
injekcija Netilmicin sulfate
injekcija Piperacillin sodium / tazobactam
3586
Kompatibilan
injekcija Netilmicin sulfate 3 mg/ml
injekcija Potassium chloride
glukoza 5% 1200
Kompatibilan
injekcija Netilmicin sulfate 3 mg/ml
injekcija Potassium chloride
natrijumkorid 0,9% 1200
Kompatibilan
injekcija Netilmicin sulfate 3 mg/ml
injekcija Procainamide hydrochloride 4 mg/ml
natrijumkorid 0,9% 1200
Kompatibilan
injekcija Netilmicin sulfate 3 mg/ml
injekcija Procainamide hydrochloride 4 mg/ml
glukoza 5% 1200
Kompatibilan
injekcija Netilmicin sulfate 3 mg/ml
injekcija Promethazine hydrochloride 0.1 mg/ml
glukoza 5% 1200
Kompatibilan
injekcija Netilmicin sulfate 3 mg/ml
injekcija Promethazine hydrochloride 0.1 mg/ml
natrijumkorid 0,9% 1200
Neposredne oborine inkompatibilan
injekcija Netilmicin sulfate 5 mg/ml
injekcija Propofol 10 mg/ml
nijedan 300
Kompatibilan
injekcija Netilmicin sulfate 1 mg/ml
injekcija Ranitidine hydrochloride 0,5 mg/ml
natrijumkorid 0,9% 958
Kompatibilan
injekcija Netilmicin sulfate 5 mg/ml
injekcija Remifentanil hydrochloride 25 & 250 µg/ml
natrijumkorid 0,9% 59
Kompatibilan
injekcija Netilmicin sulfate 5 mg/ml
injekcija Sargramostim 10 µg/ml
natrijumkorid 0,9% 335
Kompatibilan
injekcija Netilmicin sulfate 5 mg/ml
injekcija Thiotepa 1 mg/ml
glukoza 5% 249
Kompatibilan
injekcija Netilmicin sulfate 3 mg/ml
injekcija Triflupromazine hydrochloride 0.4 mg/ml
glukoza 5% 1200
Kompatibilan
injekcija Netilmicin sulfate 5 mg/ml
injekcija Vinorelbine tartrate 1 mg/ml
natrijumkorid 0,9% 84
Kompatibilan
injekcija Netilmicin sulfate
natrijumkorid 0,9% 421
Neodređena nespojivost inkompatibilan
injekcija Netilmicin sulfate
injekcija Teicoplanine
3656
Neodređena nespojivost inkompatibilan
injekcija Netilmicin sulfate
injekcija Temocilline
2296
Kompatibilan
injekcija Netilmicin sulfate 5 mg/ml
injekcija Teniposide 0.1 mg/ml
glukoza 5% 905
Kemijska nestabilnost inkompatibilan
injekcija Netilmicin sulfate
injekcija Ticarcillin / clavulanic acid
3587
Kompatibilan
injekcija Netilmicin sulfate 3 mg/ml
injekcija Triflupromazine hydrochloride 0.4 mg/ml
natrijumkorid 0,9% 1200

  Mentions Légales