Seneste opdatering :
27/04/2026
Antibiotisk   Netilmicin sulfate  
Injektion
Aerosol
Stabilitet i (vandige) opløsninger Stabilitet i blandinger Faktorer der påvirker stabiliteten Kompatibilitet Administrationsvej Bibliografi pdf
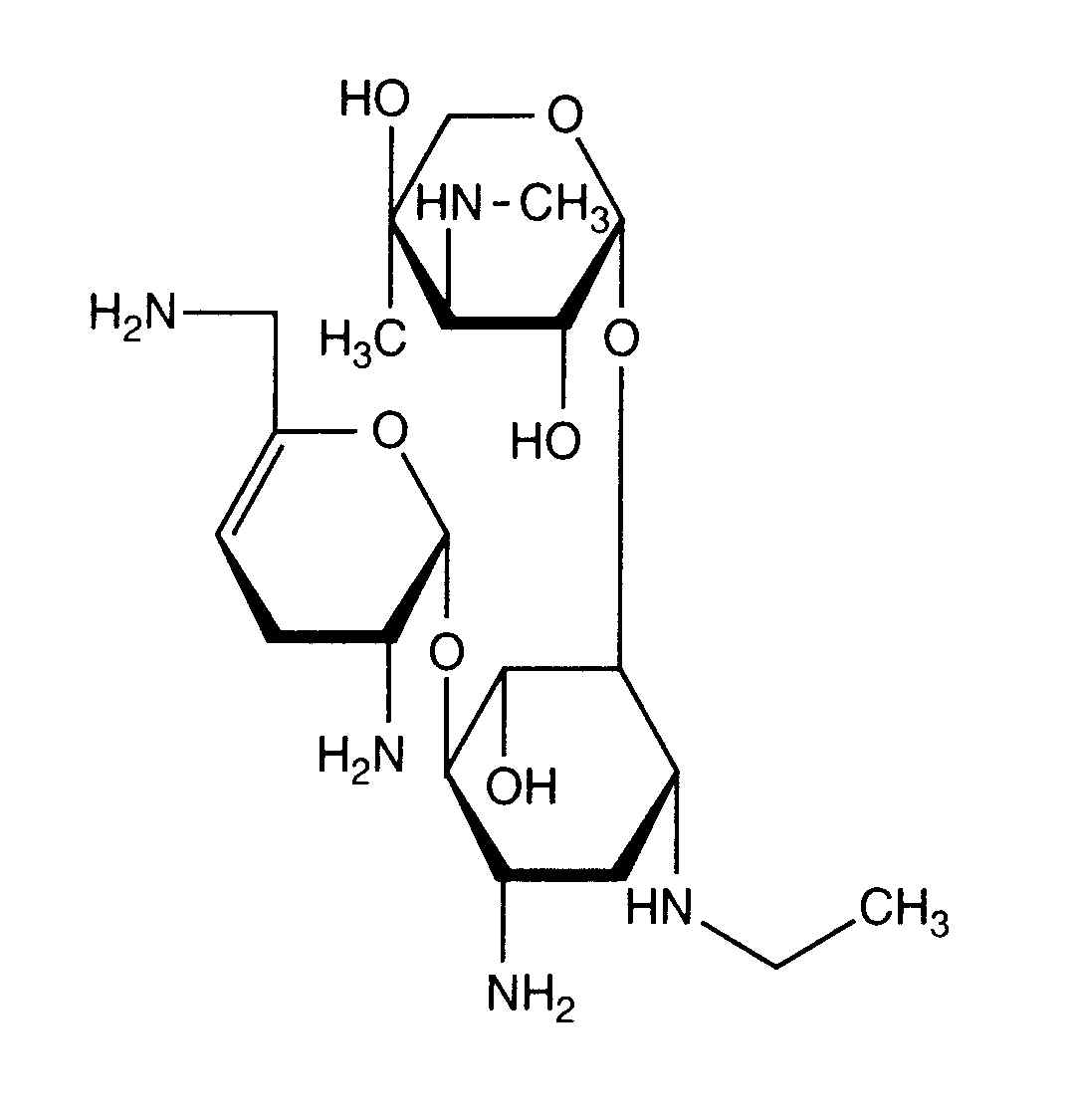
   Kemisk struktur  

Handelsnavn   Handelsnavn     

Handel navne er vejledende og hjælpestoffer sammensætning kan være forskellig afhængigt af landet og laboratorier

Bactob Indien
Beltob Indien
Bramicil Italien
Brulamycin Ungarn
Eltol Indien
Fytobra Indien
Gernebcin Tyskland
Komitub Indien
Nebcin Australien, Forenede Arabiske Emirater, Grækenland, New Zealand, Saudi-Arabien, Storbritanien, Ægypten
Nebcina Danmark, Marokko, Norge, Sverige
Nebcine Marokko
Nebicina Italien
Netilyn Finland, Sverige
Netromicina Portugal
Netromicine Frankrig
Netromycine Grækenland, Polen, russisk, Tyrkiet
Nettacin Italien
Obracin Belgien, Holland, Luxemborg, Schweiz
Tobra Tyskland
Tobra Alex Ægypten
Tobra Day New Zealand
Tobra Gobens Spanien
Tobracin Ægypten
Tobradistin Spanien
Tobramicina Italien, Portugal, Spanien, Venezuela
Tobramina Brasilien
Tobramycin Australien, Canada, Irland, Norge, Saudi-Arabien, Storbritanien, Tyskland, USA
Tobramycine Frankrig, Holland, Irland
Tobrasix Østrig
Tobrazid Tyskland
Tomycin Finland
Zetamicin Italien
Kompatibilitet   Injektion   Kompatibilitet : Netilmicin sulfate              
Denne skærm viser kompatibilitet eller uforenelighed med, i dette tilfælde typen af inkompatibilitet (udfældning, farveændring, ændring af en emulsion osv.). Kompatibiliteterne vist her er for det meste kun fysiske, idet den kemiske stabilitet af hvert molekyle sjældent vurderes. Evalueringen af disse blandinger blev undersøgt for at overveje muligheden for Y-sted-administration til patienten. Disse data kan ikke bruges til at fremstille blandinger på forhånd i poser eller sprøjter. Denne type information findes på skærmen "Stabilitet i blanding".
Molekyle Opløsningsmiddel Bibliografi
Nedbør efter 1 time Uforenelig
Injektion Netilmicin sulfate 5 mg/ml
Injektion Allopurinol sodium 3 mg/ml
0,9 % Natriumklorid 307
Kompatibel
Injektion Netilmicin sulfate 3 mg/ml
NaHCO3 1200
Kompatibel
Injektion Netilmicin sulfate 5 mg/ml
Injektion Amifostine 10 mg/ml
5 % Glukose 3
Kompatibel
Injektion Netilmicin sulfate 3 mg/ml
Injektion Aminocaproic acid 10 mg/ml
0,9 % Natriumklorid 1200
Kompatibel
Injektion Netilmicin sulfate 3 mg/ml
Injektion Aminocaproic acid 10 mg/ml
5 % Glukose 1200
Kompatibel
Injektion Netilmicin sulfate 5 mg/ml
Injektion Aminophylline 0,8 mg/ml
0,45 % NaCl - 5 % Glukose 1236
Kemisk ustabilitet Uforenelig
Injektion Netilmicin sulfate
Injektion Amoxicillin sodium
3527
Uspecificeret inkompatibilitet Uforenelig
Injektion Netilmicin sulfate
Injektion Amoxicillin sodium / clavulanic acid
3545
Umiddelbar nedbør Uforenelig
Injektion Netilmicin sulfate 5 mg/ml
Injektion Amphotericin B cholesteryl sulfate complex 0,83 mg/ml
5 % Glukose 921
Kompatibel
Injektion Netilmicin sulfate 3 mg/ml
Injektion Atropine sulfate 0.04 mg/ml
0,9 % Natriumklorid 1200
Kompatibel
Injektion Netilmicin sulfate 3 mg/ml
Injektion Atropine sulfate 0.04 mg/ml
5 % Glukose 1200
Kompatibel
Injektion Netilmicin sulfate 5 mg/ml
Injektion Aztreonam 40 mg/ml
5 % Glukose 99
Kompatibel
Injektion Netilmicin sulfate 5 mg/ml
Injektion Calcium gluconate 40 mg/ml
0,45 % NaCl - 5 % Glukose 1236
Uspecificeret inkompatibilitet Uforenelig
Injektion Netilmicin sulfate
Injektion Calcium gluconate
3644
Uforenelig
Injektion Netilmicin sulfate
Injektion Calcium gluconate
4964
Uspecificeret inkompatibilitet Uforenelig
Injektion Netilmicin sulfate
Injektion Cefamandole nafate
3546
Uspecificeret inkompatibilitet Uforenelig
Injektion Netilmicin sulfate
Injektion Cefepime dihydrochloride
3548
Uspecificeret inkompatibilitet Uforenelig
Injektion Netilmicin sulfate
Injektion Cefoperazone sodium
3544
Uspecificeret inkompatibilitet Uforenelig
Injektion Netilmicin sulfate
Injektion Ceftazidime
3883
Uspecificeret inkompatibilitet Uforenelig
Injektion Netilmicin sulfate
Injektion Ceftazidime
3543
Uspecificeret inkompatibilitet Uforenelig
Injektion Netilmicin sulfate
Injektion Ceftriaxone disodium
3523
Uspecificeret inkompatibilitet Uforenelig
Injektion Netilmicin sulfate
Injektion Cefuroxime sodium
3687
Kompatibel
Injektion Netilmicin sulfate 3 mg/ml
Injektion Chlorpromazine hydrochloride 0.1 mg/ml
5 % Glukose 1200
Kompatibel
Injektion Netilmicin sulfate 3 mg/ml
Injektion Chlorpromazine hydrochloride 0.1 mg/ml
0,9 % Natriumklorid 1200
Kompatibel
Injektion Netilmicin sulfate 2,5 mg/ml
Injektion Ciprofloxacin lactate 2 mg/ml
0,9 % Natriumklorid 289
Kompatibel
Injektion Netilmicin sulfate 5 mg/ml
Injektion Cisatracurium besylate 0.1 >> 5 mg/ml
5 % Glukose 299
Kemisk ustabilitet Uforenelig
Injektion Netilmicin sulfate
Injektion Cisplatin
3578
Kompatibel
Injektion Netilmicin sulfate 3 mg/ml
Injektion Clindamycin phosphate 9 mg/ml
0,9 % Natriumklorid 421
Kompatibel
Injektion Netilmicin sulfate 3 mg/ml
Injektion Clindamycin phosphate 9 mg/ml
5 % Glukose 421
Kompatibel
Injektion Netilmicin sulfate
Injektion Clindamycin phosphate
5 % Glukose 3526
Kompatibel
Injektion Netilmicin sulfate
Injektion Clindamycin phosphate
0,9 % Natriumklorid 3526
Kompatibel
Injektion Netilmicin sulfate 3 mg/ml
Injektion Dexamethasone sodium phosphate 0.08 mg/ml
0,9 % Natriumklorid 1200
Kompatibel
Injektion Netilmicin sulfate 3 mg/ml
Injektion Dexamethasone sodium phosphate 0.08 mg/ml
5 % Glukose 1200
Kompatibel
Injektion Netilmicin sulfate 3 mg/ml
Injektion Diazepam 0.04 mg/ml
0,9 % Natriumklorid 1200
Kompatibel
Injektion Netilmicin sulfate 3 mg/ml
Injektion Diphenhydramine hydrochloride 0.4 mg/ml
0,9 % Natriumklorid 1200
Uforenelig
Injektion Netilmicin sulfate
5 % Glukose 421
Kompatibel
Injektion Netilmicin sulfate 3 mg/ml
Injektion Diazepam 0.04 mg/ml
5 % Glukose 1200
Kompatibel
Injektion Netilmicin sulfate 3 mg/ml
Injektion Diphenhydramine hydrochloride 0.4 mg/ml
5 % Glukose 1200
Kompatibel
Injektion Netilmicin sulfate 5 mg/ml
Injektion Docetaxel 0.9 mg/ml
5 % Glukose 1754
Kompatibel
Injektion Netilmicin sulfate 5 mg/ml
Injektion Doxorubicin hydrochloride liposome peg 0.4 mg/ml
5 % Glukose 251
Uspecificeret inkompatibilitet Uforenelig
Injektion Netilmicin sulfate
Injektion Erythromycin lactobionate
3674
Kompatibel
Injektion Netilmicin sulfate 5 mg/ml
Injektion Etoposide phosphate 5 mg/ml
5 % Glukose 1410
Kompatibel
Injektion Netilmicin sulfate 5 mg/ml
Injektion Filgrastim 30 µg/ml
5 % Glukose 244
Umiddelbar nedbør Uforenelig
Injektion Netilmicin sulfate
Injektion Flucloxacillin sodium
3522
Kompatibel
Injektion Netilmicin sulfate 5 mg/ml
Injektion Fludarabine phosphate 1 mg/ml
5 % Glukose 492
Umiddelbar nedbør Uforenelig
Injektion Netilmicin sulfate 1,5 mg/ml
Injektion Furosemide 0,4 mg/ml
5 % Glukose 367
Umiddelbar nedbør Uforenelig
Injektion Netilmicin sulfate 1,5 mg/ml
Injektion Furosemide 0,4 mg/ml
0,9 % Natriumklorid 367
Kompatibel
Injektion Netilmicin sulfate 5 mg/ml
Injektion Gemcitabine hydrochloride 10 mg/ml
0,9 % Natriumklorid 1423
Kompatibel
Injektion Netilmicin sulfate 5 mg/ml
Injektion Granisetron hydrochloride 0.05 mg/ml
5 % Glukose 182
Umiddelbar nedbør Uforenelig
Injektion Netilmicin sulfate
Injektion Heparin sodium
1022
Uspecificeret inkompatibilitet Uforenelig
Injektion Netilmicin sulfate
Injektion Heparin sodium
3540
Kompatibel
Injektion Netilmicin sulfate 3 mg/ml
Injektion Hydrocortisone sodium succinate 0.8 mg/ml
0,9 % Natriumklorid 1200
Kompatibel
Injektion Netilmicin sulfate 5 mg/ml
Parenteral ernæring (lipid-fri) 301
Kompatibel
Injektion Netilmicin sulfate 50 & 100 mg/ml
Parenteral ernæring (lipid-fri) 999
Kompatibel
Injektion Netilmicin sulfate 5 mg/ml
Parenteral ernæring (lipider) 1415
Kompatibel
Injektion Netilmicin sulfate
Ringer laktat 1200
Kompatibel
Injektion Netilmicin sulfate 3 mg/ml
Injektion Hydrocortisone sodium succinate 0.8 mg/ml
5 % Glukose 1200
Kompatibel
Injektion Netilmicin sulfate 3 mg/ml
Injektion Iron dextran
5 % Glukose 1200
Kompatibel
Injektion Netilmicin sulfate 3 mg/ml
Injektion Iron dextran
0,9 % Natriumklorid 1200
Kompatibel
Injektion Netilmicin sulfate 3 mg/ml
Injektion Isoprenaline hydrochloride 0.4 mg/ml
5 % Glukose 1200
Kompatibel
Injektion Netilmicin sulfate 3 mg/ml
Injektion Isoprenaline hydrochloride 0.4 mg/ml
0,9 % Natriumklorid 1200
Kompatibel
Injektion Netilmicin sulfate 5 mg/ml
Injektion Linezolid 2 mg/ml
Ingen 1925
Kompatibel
Injektion Netilmicin sulfate 5 mg/ml
Injektion Melphalan 0.1 mg/ml
0,9 % Natriumklorid 169
Kompatibel
Injektion Netilmicin sulfate 1 mg/ml
Injektion Metronidazole 5 mg/ml
0,9 % Natriumklorid 958
Kompatibel
Injektion Netilmicin sulfate
Injektion Metronidazole
3594
Kompatibel
Injektion Netilmicin sulfate 1.4 mg/ml
Injektion Metronidazole 5 mg/ml
Ingen 1035
Kompatibel
Injektion Netilmicin sulfate 3 mg/ml
Injektion Neostigmine methylsulfate 0.04 mg/ml
5 % Glukose 1200
Kompatibel
Injektion Netilmicin sulfate 3 mg/ml
Injektion Neostigmine methylsulfate 0.04 mg/ml
0,9 % Natriumklorid 1200
Kompatibel
Injektion Netilmicin sulfate 3 mg/ml
Injektion Norepinephrine bitartrate 0.064 mg/ml
0,9 % Natriumklorid 1200
Kompatibel
Injektion Netilmicin sulfate 3 mg/ml
Injektion Norepinephrine bitartrate 0.064 mg/ml
5 % Glukose 1200
Kompatibel
Injektion Netilmicin sulfate 3 mg/ml
Injektion Oxytocin
5 % Glukose 1200
Kompatibel
Injektion Netilmicin sulfate 3 mg/ml
Injektion Oxytocin
0,9 % Natriumklorid 1200
Kompatibel
Injektion Netilmicin sulfate 3 mg/ml
Injektion Phytomenadione 0.1 mg/ml
0,9 % Natriumklorid 1200
Kompatibel
Injektion Netilmicin sulfate 3 mg/ml
Injektion Phytomenadione 0.1 mg/ml
5 % Glukose 1200
Kemisk ustabilitet Uforenelig
Injektion Netilmicin sulfate
Injektion Piperacillin sodium / tazobactam
3586
Kompatibel
Injektion Netilmicin sulfate 3 mg/ml
Injektion Potassium chloride
5 % Glukose 1200
Kompatibel
Injektion Netilmicin sulfate 3 mg/ml
Injektion Potassium chloride
0,9 % Natriumklorid 1200
Kompatibel
Injektion Netilmicin sulfate 3 mg/ml
Injektion Procainamide hydrochloride 4 mg/ml
0,9 % Natriumklorid 1200
Kompatibel
Injektion Netilmicin sulfate 3 mg/ml
Injektion Procainamide hydrochloride 4 mg/ml
5 % Glukose 1200
Kompatibel
Injektion Netilmicin sulfate 3 mg/ml
Injektion Promethazine hydrochloride 0.1 mg/ml
5 % Glukose 1200
Kompatibel
Injektion Netilmicin sulfate 3 mg/ml
Injektion Promethazine hydrochloride 0.1 mg/ml
0,9 % Natriumklorid 1200
Umiddelbar nedbør Uforenelig
Injektion Netilmicin sulfate 5 mg/ml
Injektion Propofol 10 mg/ml
Ingen 300
Kompatibel
Injektion Netilmicin sulfate 1 mg/ml
Injektion Ranitidine hydrochloride 0,5 mg/ml
0,9 % Natriumklorid 958
Kompatibel
Injektion Netilmicin sulfate 5 mg/ml
Injektion Remifentanil hydrochloride 25 & 250 µg/ml
0,9 % Natriumklorid 59
Kompatibel
Injektion Netilmicin sulfate 5 mg/ml
Injektion Sargramostim 10 µg/ml
0,9 % Natriumklorid 335
Kompatibel
Injektion Netilmicin sulfate 5 mg/ml
Injektion Thiotepa 1 mg/ml
5 % Glukose 249
Kompatibel
Injektion Netilmicin sulfate 3 mg/ml
Injektion Triflupromazine hydrochloride 0.4 mg/ml
5 % Glukose 1200
Kompatibel
Injektion Netilmicin sulfate 5 mg/ml
Injektion Vinorelbine tartrate 1 mg/ml
0,9 % Natriumklorid 84
Kompatibel
Injektion Netilmicin sulfate
0,9 % Natriumklorid 421
Uspecificeret inkompatibilitet Uforenelig
Injektion Netilmicin sulfate
Injektion Teicoplanine
3656
Uspecificeret inkompatibilitet Uforenelig
Injektion Netilmicin sulfate
Injektion Temocilline
2296
Kompatibel
Injektion Netilmicin sulfate 5 mg/ml
Injektion Teniposide 0.1 mg/ml
5 % Glukose 905
Kemisk ustabilitet Uforenelig
Injektion Netilmicin sulfate
Injektion Ticarcillin / clavulanic acid
3587
Kompatibel
Injektion Netilmicin sulfate 3 mg/ml
Injektion Triflupromazine hydrochloride 0.4 mg/ml
0,9 % Natriumklorid 1200

  Mentions Légales