آخر تحديث :
27/04/2026
مضاد حيوي   Netilmicin sulfate  
حقن
الأيروصولات
الاستقرار في حلول استقرار مخاليط العوامل التي تؤثر على الاستقرار التوافق طريقة التعاطي مراجع pdf
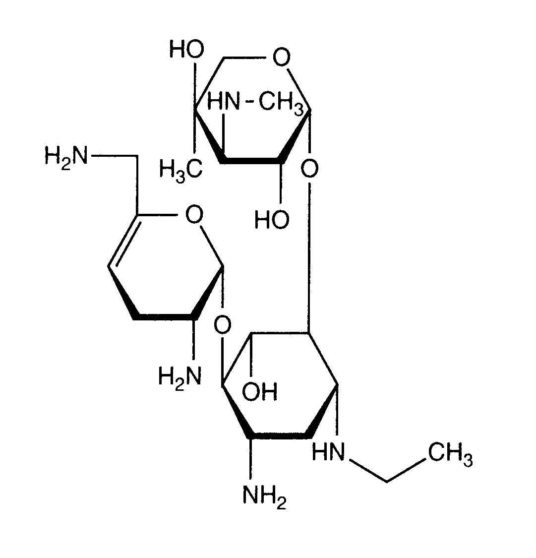
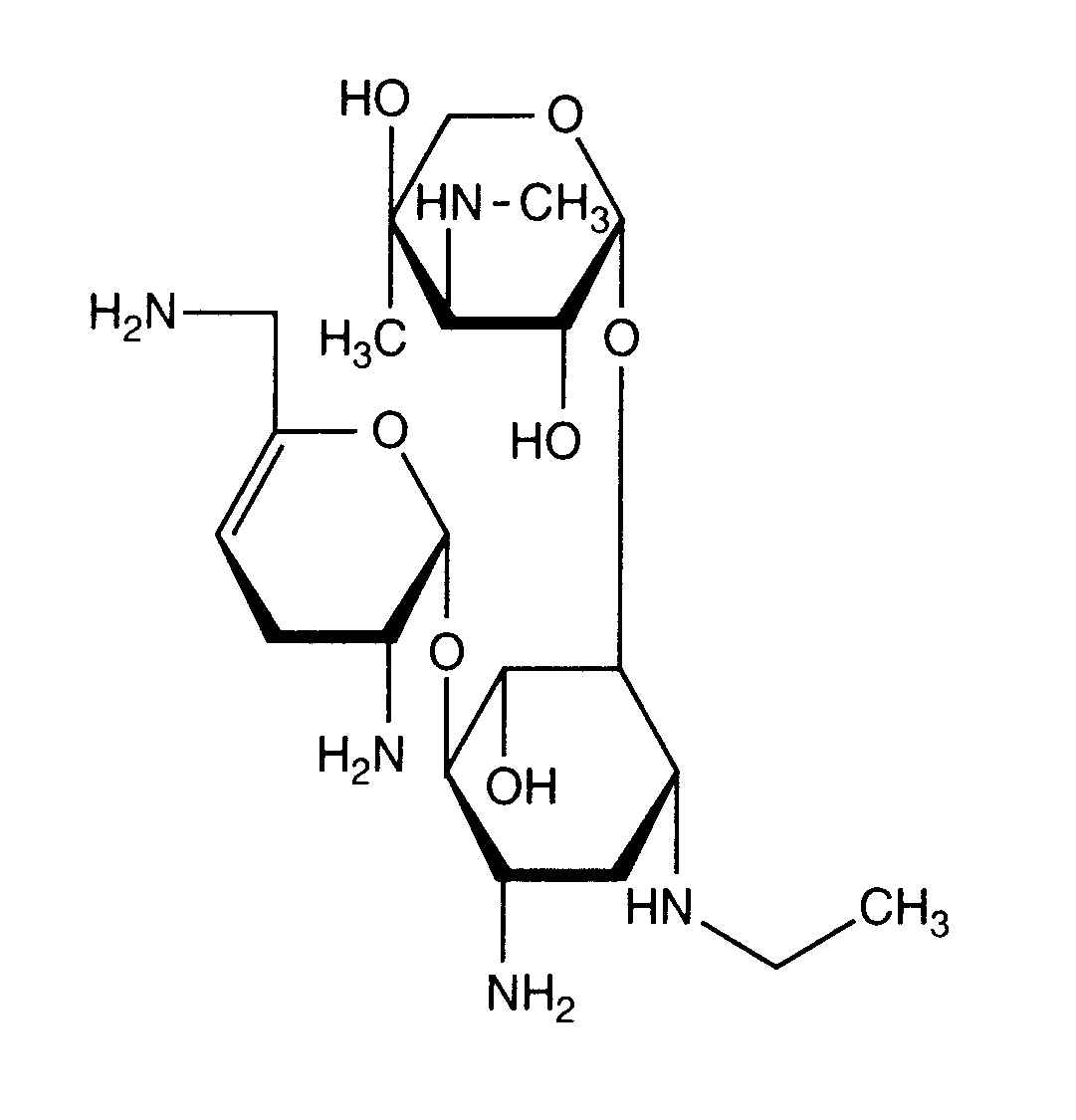
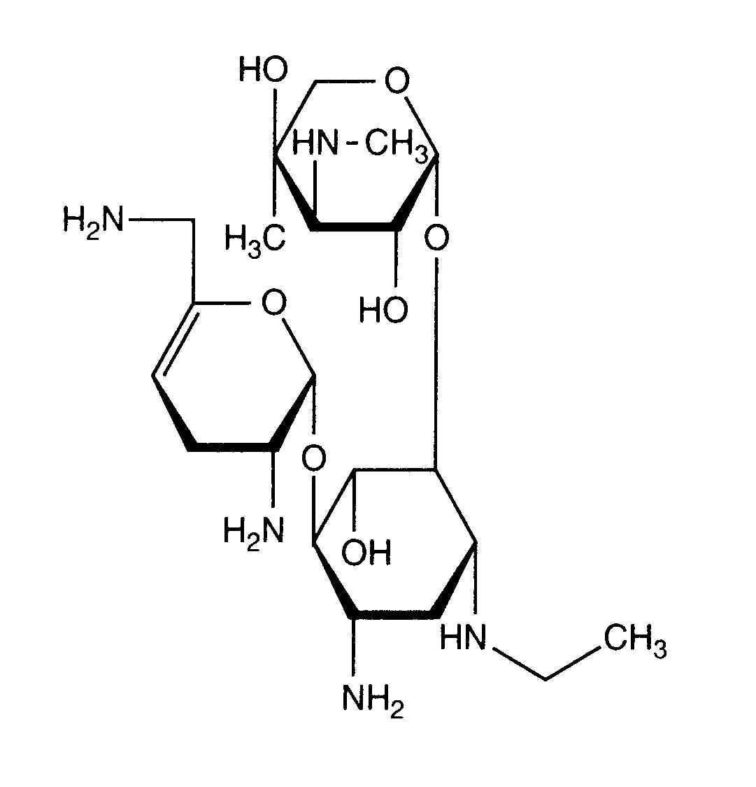
   التركيب الكيميائي  

حجز الاسم التجاري   حجز الاسم التجاري     

تحذير الأسماء التجاريه المختلفه قد تحتوي علي محتوي إضافات مختلفة حسب الدوله و المعمل

Bactob الهند
Beltob الهند
Bramicil إيطاليا
Brulamycin هنغاريا
Eltol الهند
Fytobra الهند
Gernebcin ألمانيا
Komitub الهند
Nebcin أستراليا, الإمارات العربية المتحدة, العربية السعودية, بريطانيا العظمي, زيلاندا الجديدة, مصر, يونان
Nebcina الدنمارك, السويد, المغرب, النرويج
Nebcine المغرب
Nebicina إيطاليا
Netilyn السويد, فنلندا
Netromicina البرتغال
Netromicine فرنسا
Netromycine الروسية, بولندا, تركيا, يونان
Nettacin إيطاليا
Obracin بلجيكا, سويسرا, لوكسمبورغ, هولندا
Tobra ألمانيا
Tobra Alex مصر
Tobra Day زيلاندا الجديدة
Tobra Gobens إسبانيا
Tobracin مصر
Tobradistin إسبانيا
Tobramicina إسبانيا, إيطاليا, البرتغال, فنزويلا
Tobramina البرازيل
Tobramycin أستراليا, ألمانيا, العربية السعودية, النرويج, الولايات المتحدة, ايرلندا, بريطانيا العظمي, كندا
Tobramycine ايرلندا, فرنسا, هولندا
Tobrasix النمسا
Tobrazid ألمانيا
Tomycin فنلندا
Zetamicin إيطاليا
التوافق   حقن   التوافق : Netilmicin sulfate              
This screen indicates the compatibilities or incompatibilities with, in this case, the type of incompatibility (precipitation, color change, modification of an emulsion, etc.). The compatibilities shown here are mostly physical only, with the chemical stability of each molecule rarely being assessed. The evaluation of these mixtures was studied to consider the possibility of Y-site administration to the patient. These data cannot be used for making mixtures in advance in bags or syringes. This type of information is available in the screen "Stability in mixture ».
مركب مذيب مراجع
هطول الأمطار بعد 1 ساعة غير متوافق
حقن Netilmicin sulfate 5 mg/ml
حقن Allopurinol sodium 3 mg/ml
كلوريد الصوديوم 0.9% 307
kompatibel
حقن Netilmicin sulfate 3 mg/ml
NaHCO3 1200
kompatibel
حقن Netilmicin sulfate 5 mg/ml
حقن Amifostine 10 mg/ml
الجلوكوز %5 3
kompatibel
حقن Netilmicin sulfate 3 mg/ml
حقن Aminocaproic acid 10 mg/ml
كلوريد الصوديوم 0.9% 1200
kompatibel
حقن Netilmicin sulfate 3 mg/ml
حقن Aminocaproic acid 10 mg/ml
الجلوكوز %5 1200
kompatibel
حقن Netilmicin sulfate 5 mg/ml
حقن Aminophylline 0,8 mg/ml
كلوريد الصوديوم 0.45% جلوكوز 5% 1236
عدم الاستقرار الكيميائي غير متوافق
حقن Netilmicin sulfate
حقن Amoxicillin sodium
3527
عدم توافق غير محدد غير متوافق
حقن Netilmicin sulfate
حقن Amoxicillin sodium / clavulanic acid
3545
هطول فوري غير متوافق
حقن Netilmicin sulfate 5 mg/ml
حقن Amphotericin B cholesteryl sulfate complex 0,83 mg/ml
الجلوكوز %5 921
kompatibel
حقن Netilmicin sulfate 3 mg/ml
حقن Atropine sulfate 0.04 mg/ml
كلوريد الصوديوم 0.9% 1200
kompatibel
حقن Netilmicin sulfate 3 mg/ml
حقن Atropine sulfate 0.04 mg/ml
الجلوكوز %5 1200
kompatibel
حقن Netilmicin sulfate 5 mg/ml
حقن Aztreonam 40 mg/ml
الجلوكوز %5 99
kompatibel
حقن Netilmicin sulfate 5 mg/ml
حقن Calcium gluconate 40 mg/ml
كلوريد الصوديوم 0.45% جلوكوز 5% 1236
عدم توافق غير محدد غير متوافق
حقن Netilmicin sulfate
حقن Calcium gluconate
3644
غير متوافق
حقن Netilmicin sulfate
حقن Calcium gluconate
4964
عدم توافق غير محدد غير متوافق
حقن Netilmicin sulfate
حقن Cefamandole nafate
3546
عدم توافق غير محدد غير متوافق
حقن Netilmicin sulfate
حقن Cefepime dihydrochloride
3548
عدم توافق غير محدد غير متوافق
حقن Netilmicin sulfate
حقن Cefoperazone sodium
3544
عدم توافق غير محدد غير متوافق
حقن Netilmicin sulfate
حقن Ceftazidime
3883
عدم توافق غير محدد غير متوافق
حقن Netilmicin sulfate
حقن Ceftazidime
3543
عدم توافق غير محدد غير متوافق
حقن Netilmicin sulfate
حقن Ceftriaxone disodium
3523
عدم توافق غير محدد غير متوافق
حقن Netilmicin sulfate
حقن Cefuroxime sodium
3687
kompatibel
حقن Netilmicin sulfate 3 mg/ml
حقن Chlorpromazine hydrochloride 0.1 mg/ml
الجلوكوز %5 1200
kompatibel
حقن Netilmicin sulfate 3 mg/ml
حقن Chlorpromazine hydrochloride 0.1 mg/ml
كلوريد الصوديوم 0.9% 1200
kompatibel
حقن Netilmicin sulfate 2,5 mg/ml
حقن Ciprofloxacin lactate 2 mg/ml
كلوريد الصوديوم 0.9% 289
kompatibel
حقن Netilmicin sulfate 5 mg/ml
حقن Cisatracurium besylate 0.1 >> 5 mg/ml
الجلوكوز %5 299
عدم الاستقرار الكيميائي غير متوافق
حقن Netilmicin sulfate
حقن Cisplatin
3578
kompatibel
حقن Netilmicin sulfate 3 mg/ml
حقن Clindamycin phosphate 9 mg/ml
كلوريد الصوديوم 0.9% 421
kompatibel
حقن Netilmicin sulfate 3 mg/ml
حقن Clindamycin phosphate 9 mg/ml
الجلوكوز %5 421
kompatibel
حقن Netilmicin sulfate
حقن Clindamycin phosphate
الجلوكوز %5 3526
kompatibel
حقن Netilmicin sulfate
حقن Clindamycin phosphate
كلوريد الصوديوم 0.9% 3526
kompatibel
حقن Netilmicin sulfate 3 mg/ml
حقن Dexamethasone sodium phosphate 0.08 mg/ml
كلوريد الصوديوم 0.9% 1200
kompatibel
حقن Netilmicin sulfate 3 mg/ml
حقن Dexamethasone sodium phosphate 0.08 mg/ml
الجلوكوز %5 1200
kompatibel
حقن Netilmicin sulfate 3 mg/ml
حقن Diazepam 0.04 mg/ml
كلوريد الصوديوم 0.9% 1200
kompatibel
حقن Netilmicin sulfate 3 mg/ml
حقن Diphenhydramine hydrochloride 0.4 mg/ml
كلوريد الصوديوم 0.9% 1200
غير متوافق
حقن Netilmicin sulfate
الجلوكوز %5 421
kompatibel
حقن Netilmicin sulfate 3 mg/ml
حقن Diazepam 0.04 mg/ml
الجلوكوز %5 1200
kompatibel
حقن Netilmicin sulfate 3 mg/ml
حقن Diphenhydramine hydrochloride 0.4 mg/ml
الجلوكوز %5 1200
kompatibel
حقن Netilmicin sulfate 5 mg/ml
حقن Docetaxel 0.9 mg/ml
الجلوكوز %5 1754
kompatibel
حقن Netilmicin sulfate 5 mg/ml
حقن Doxorubicin hydrochloride liposome peg 0.4 mg/ml
الجلوكوز %5 251
عدم توافق غير محدد غير متوافق
حقن Netilmicin sulfate
حقن Erythromycin lactobionate
3674
kompatibel
حقن Netilmicin sulfate 5 mg/ml
حقن Etoposide phosphate 5 mg/ml
الجلوكوز %5 1410
kompatibel
حقن Netilmicin sulfate 5 mg/ml
حقن Filgrastim 30 µg/ml
الجلوكوز %5 244
هطول فوري غير متوافق
حقن Netilmicin sulfate
حقن Flucloxacillin sodium
3522
kompatibel
حقن Netilmicin sulfate 5 mg/ml
حقن Fludarabine phosphate 1 mg/ml
الجلوكوز %5 492
هطول فوري غير متوافق
حقن Netilmicin sulfate 1,5 mg/ml
حقن Furosemide 0,4 mg/ml
الجلوكوز %5 367
هطول فوري غير متوافق
حقن Netilmicin sulfate 1,5 mg/ml
حقن Furosemide 0,4 mg/ml
كلوريد الصوديوم 0.9% 367
kompatibel
حقن Netilmicin sulfate 5 mg/ml
حقن Gemcitabine hydrochloride 10 mg/ml
كلوريد الصوديوم 0.9% 1423
kompatibel
حقن Netilmicin sulfate 5 mg/ml
حقن Granisetron hydrochloride 0.05 mg/ml
الجلوكوز %5 182
هطول فوري غير متوافق
حقن Netilmicin sulfate
حقن Heparin sodium
1022
عدم توافق غير محدد غير متوافق
حقن Netilmicin sulfate
حقن Heparin sodium
3540
kompatibel
حقن Netilmicin sulfate 3 mg/ml
حقن Hydrocortisone sodium succinate 0.8 mg/ml
كلوريد الصوديوم 0.9% 1200
kompatibel
حقن Netilmicin sulfate 5 mg/ml
 التغذية الوريدية (خالية من الدهن) 301
kompatibel
حقن Netilmicin sulfate 50 & 100 mg/ml
 التغذية الوريدية (خالية من الدهن) 999
kompatibel
حقن Netilmicin sulfate 5 mg/ml
التغذية الوريدية (مع الدهون) 1415
kompatibel
حقن Netilmicin sulfate
محلول رينجر  اللاكتات 1200
kompatibel
حقن Netilmicin sulfate 3 mg/ml
حقن Hydrocortisone sodium succinate 0.8 mg/ml
الجلوكوز %5 1200
kompatibel
حقن Netilmicin sulfate 3 mg/ml
حقن Iron dextran
الجلوكوز %5 1200
kompatibel
حقن Netilmicin sulfate 3 mg/ml
حقن Iron dextran
كلوريد الصوديوم 0.9% 1200
kompatibel
حقن Netilmicin sulfate 3 mg/ml
حقن Isoprenaline hydrochloride 0.4 mg/ml
الجلوكوز %5 1200
kompatibel
حقن Netilmicin sulfate 3 mg/ml
حقن Isoprenaline hydrochloride 0.4 mg/ml
كلوريد الصوديوم 0.9% 1200
kompatibel
حقن Netilmicin sulfate 5 mg/ml
حقن Linezolid 2 mg/ml
لا شيء 1925
kompatibel
حقن Netilmicin sulfate 5 mg/ml
حقن Melphalan 0.1 mg/ml
كلوريد الصوديوم 0.9% 169
kompatibel
حقن Netilmicin sulfate 1 mg/ml
حقن Metronidazole 5 mg/ml
كلوريد الصوديوم 0.9% 958
kompatibel
حقن Netilmicin sulfate
حقن Metronidazole
3594
kompatibel
حقن Netilmicin sulfate 1.4 mg/ml
حقن Metronidazole 5 mg/ml
لا شيء 1035
kompatibel
حقن Netilmicin sulfate 3 mg/ml
حقن Neostigmine methylsulfate 0.04 mg/ml
الجلوكوز %5 1200
kompatibel
حقن Netilmicin sulfate 3 mg/ml
حقن Neostigmine methylsulfate 0.04 mg/ml
كلوريد الصوديوم 0.9% 1200
kompatibel
حقن Netilmicin sulfate 3 mg/ml
حقن Norepinephrine bitartrate 0.064 mg/ml
كلوريد الصوديوم 0.9% 1200
kompatibel
حقن Netilmicin sulfate 3 mg/ml
حقن Norepinephrine bitartrate 0.064 mg/ml
الجلوكوز %5 1200
kompatibel
حقن Netilmicin sulfate 3 mg/ml
حقن Oxytocin
الجلوكوز %5 1200
kompatibel
حقن Netilmicin sulfate 3 mg/ml
حقن Oxytocin
كلوريد الصوديوم 0.9% 1200
kompatibel
حقن Netilmicin sulfate 3 mg/ml
حقن Phytomenadione 0.1 mg/ml
كلوريد الصوديوم 0.9% 1200
kompatibel
حقن Netilmicin sulfate 3 mg/ml
حقن Phytomenadione 0.1 mg/ml
الجلوكوز %5 1200
عدم الاستقرار الكيميائي غير متوافق
حقن Netilmicin sulfate
حقن Piperacillin sodium / tazobactam
3586
kompatibel
حقن Netilmicin sulfate 3 mg/ml
حقن Potassium chloride
الجلوكوز %5 1200
kompatibel
حقن Netilmicin sulfate 3 mg/ml
حقن Potassium chloride
كلوريد الصوديوم 0.9% 1200
kompatibel
حقن Netilmicin sulfate 3 mg/ml
حقن Procainamide hydrochloride 4 mg/ml
كلوريد الصوديوم 0.9% 1200
kompatibel
حقن Netilmicin sulfate 3 mg/ml
حقن Procainamide hydrochloride 4 mg/ml
الجلوكوز %5 1200
kompatibel
حقن Netilmicin sulfate 3 mg/ml
حقن Promethazine hydrochloride 0.1 mg/ml
الجلوكوز %5 1200
kompatibel
حقن Netilmicin sulfate 3 mg/ml
حقن Promethazine hydrochloride 0.1 mg/ml
كلوريد الصوديوم 0.9% 1200
هطول فوري غير متوافق
حقن Netilmicin sulfate 5 mg/ml
حقن Propofol 10 mg/ml
لا شيء 300
kompatibel
حقن Netilmicin sulfate 1 mg/ml
حقن Ranitidine hydrochloride 0,5 mg/ml
كلوريد الصوديوم 0.9% 958
kompatibel
حقن Netilmicin sulfate 5 mg/ml
حقن Remifentanil hydrochloride 25 & 250 µg/ml
كلوريد الصوديوم 0.9% 59
kompatibel
حقن Netilmicin sulfate 5 mg/ml
حقن Sargramostim 10 µg/ml
كلوريد الصوديوم 0.9% 335
kompatibel
حقن Netilmicin sulfate 5 mg/ml
حقن Thiotepa 1 mg/ml
الجلوكوز %5 249
kompatibel
حقن Netilmicin sulfate 3 mg/ml
حقن Triflupromazine hydrochloride 0.4 mg/ml
الجلوكوز %5 1200
kompatibel
حقن Netilmicin sulfate 5 mg/ml
حقن Vinorelbine tartrate 1 mg/ml
كلوريد الصوديوم 0.9% 84
kompatibel
حقن Netilmicin sulfate
كلوريد الصوديوم 0.9% 421
عدم توافق غير محدد غير متوافق
حقن Netilmicin sulfate
حقن Teicoplanine
3656
عدم توافق غير محدد غير متوافق
حقن Netilmicin sulfate
حقن Temocilline
2296
kompatibel
حقن Netilmicin sulfate 5 mg/ml
حقن Teniposide 0.1 mg/ml
الجلوكوز %5 905
عدم الاستقرار الكيميائي غير متوافق
حقن Netilmicin sulfate
حقن Ticarcillin / clavulanic acid
3587
kompatibel
حقن Netilmicin sulfate 3 mg/ml
حقن Triflupromazine hydrochloride 0.4 mg/ml
كلوريد الصوديوم 0.9% 1200

  Mentions Légales