Cập nhật lần cuối :
27/04/2026
Kháng sinh   Netilmicin sulfate  
Dạng tiêm
Khí dung
Tính ổn định của các dung dịch Độ ổn định khi trộn lẫn Những yếu tố ảnh hưởng đến độ ổn định Khả năng tương thích Đường dùng Tài liệu tham khảo Pdf
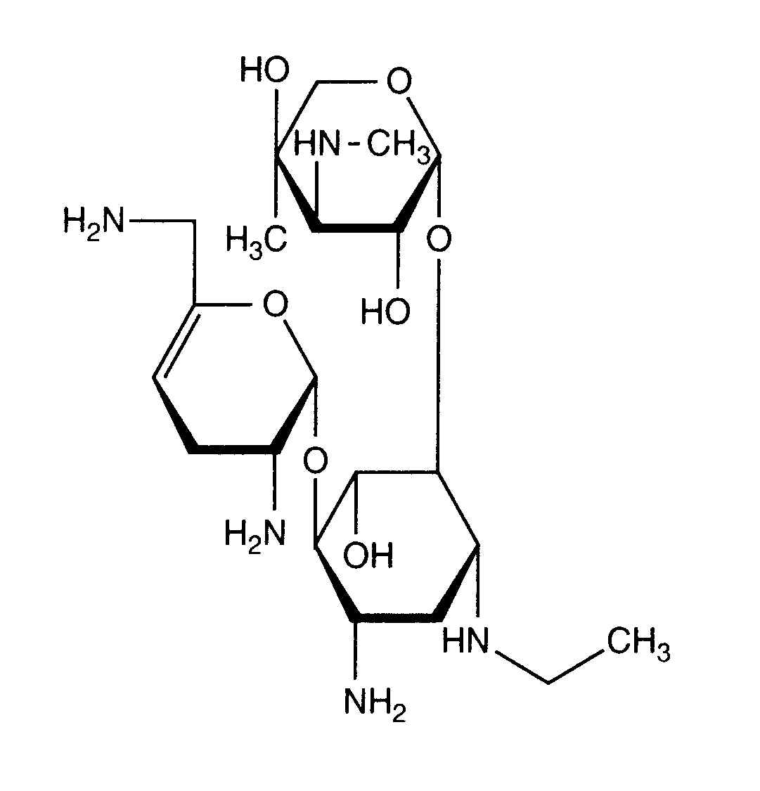
   Cấu trúc hóa học  

Tên thương mại   Tên thương mại     

Các tên thương mại được cung cấp và thành phần tá dược có thể khác nhau giữa các quốc gia và các hãng dược

Bactob Ấn Độ
Beltob Ấn Độ
Bramicil Ý
Brulamycin Hungary
Eltol Ấn Độ
Fytobra Ấn Độ
Gernebcin Đức
Komitub Ấn Độ
Nebcin Ả Rập, Ả Rập Saudi, Anh, Hy Lạp, new zealand, Úc, United Arab Emirates
Nebcina Morocco, Na Uy, Thụy Điển, Đan Mạch
Nebcine Morocco
Nebicina Ý
Netilyn Phần Lan, Thụy Điển
Netromicina Bồ Đào Nha
Netromicine Pháp
Netromycine Ba Lan, Hy Lạp, Nga, Thổ Nhĩ Kỳ
Nettacin Ý
Obracin Bỉ, Hà Lan, Luxembourg, Thụy Sỹ
Tobra Đức
Tobra Alex Ả Rập
Tobra Day new zealand
Tobra Gobens Tây Ban Nha
Tobracin Ả Rập
Tobradistin Tây Ban Nha
Tobramicina Bồ Đào Nha, Tây Ban Nha, Venezuela, Ý
Tobramina Brazil
Tobramycin Ả Rập Saudi, Anh, Canada, Hoa Kỳ, Ireland, Na Uy, Úc, Đức
Tobramycine Hà Lan, Ireland, Pháp
Tobrasix Áo
Tobrazid Đức
Tomycin Phần Lan
Zetamicin Ý
Khả năng tương thích   Dạng tiêm   Khả năng tương thích : Netilmicin sulfate              
Màn hình này cho biết khả năng tương thích hoặc không tương thích, trong trường hợp này là loại không tương thích (kết tủa, thay đổi màu sắc, sửa đổi nhũ tương, v.v.). Sự tương hợp được chỉ ra ở đây chủ yếu chỉ là vật lý, với độ ổn định hóa học của mỗi phân tử hiếm khi được đánh giá. Việc đánh giá các hỗn hợp này được nghiên cứu để xem xét khả năng sử dụng vị trí Y cho bệnh nhân. Những dữ liệu này không thể được sử dụng để tạo hỗn hợp trước trong túi hoặc ống tiêm. Loại thông tin này có sẵn trong màn hình "Độ ổn định trong hỗn hợp».
Phân tử Dung môi Mục lục
Lượng mưa sau 1 giờ Không tương thích
Dạng tiêm Netilmicin sulfate 5 mg/ml
Dạng tiêm Allopurinol sodium 3 mg/ml
NaCl 0,9% 307
Tương thích
Dạng tiêm Netilmicin sulfate 3 mg/ml
NaHCO3 1200
Tương thích
Dạng tiêm Netilmicin sulfate 5 mg/ml
Dạng tiêm Amifostine 10 mg/ml
Glucose 5% 3
Tương thích
Dạng tiêm Netilmicin sulfate 3 mg/ml
Dạng tiêm Aminocaproic acid 10 mg/ml
NaCl 0,9% 1200
Tương thích
Dạng tiêm Netilmicin sulfate 3 mg/ml
Dạng tiêm Aminocaproic acid 10 mg/ml
Glucose 5% 1200
Tương thích
Dạng tiêm Netilmicin sulfate 5 mg/ml
Dạng tiêm Aminophylline 0,8 mg/ml
NaCl 0,45% Glucose 5% 1236
Không ổn định hóa học Không tương thích
Dạng tiêm Netilmicin sulfate
Dạng tiêm Amoxicillin sodium
3527
Không tương thích không xác định Không tương thích
Dạng tiêm Netilmicin sulfate
Dạng tiêm Amoxicillin sodium / clavulanic acid
3545
Lượng mưa ngay lập tức Không tương thích
Dạng tiêm Netilmicin sulfate 5 mg/ml
Dạng tiêm Amphotericin B cholesteryl sulfate complex 0,83 mg/ml
Glucose 5% 921
Tương thích
Dạng tiêm Netilmicin sulfate 3 mg/ml
Dạng tiêm Atropine sulfate 0.04 mg/ml
NaCl 0,9% 1200
Tương thích
Dạng tiêm Netilmicin sulfate 3 mg/ml
Dạng tiêm Atropine sulfate 0.04 mg/ml
Glucose 5% 1200
Tương thích
Dạng tiêm Netilmicin sulfate 5 mg/ml
Dạng tiêm Aztreonam 40 mg/ml
Glucose 5% 99
Tương thích
Dạng tiêm Netilmicin sulfate 5 mg/ml
Dạng tiêm Calcium gluconate 40 mg/ml
NaCl 0,45% Glucose 5% 1236
Không tương thích không xác định Không tương thích
Dạng tiêm Netilmicin sulfate
Dạng tiêm Calcium gluconate
3644
Không tương thích
Dạng tiêm Netilmicin sulfate
Dạng tiêm Calcium gluconate
4964
Không tương thích không xác định Không tương thích
Dạng tiêm Netilmicin sulfate
Dạng tiêm Cefamandole nafate
3546
Không tương thích không xác định Không tương thích
Dạng tiêm Netilmicin sulfate
Dạng tiêm Cefepime dihydrochloride
3548
Không tương thích không xác định Không tương thích
Dạng tiêm Netilmicin sulfate
Dạng tiêm Cefoperazone sodium
3544
Không tương thích không xác định Không tương thích
Dạng tiêm Netilmicin sulfate
Dạng tiêm Ceftazidime
3883
Không tương thích không xác định Không tương thích
Dạng tiêm Netilmicin sulfate
Dạng tiêm Ceftazidime
3543
Không tương thích không xác định Không tương thích
Dạng tiêm Netilmicin sulfate
Dạng tiêm Ceftriaxone disodium
3523
Không tương thích không xác định Không tương thích
Dạng tiêm Netilmicin sulfate
Dạng tiêm Cefuroxime sodium
3687
Tương thích
Dạng tiêm Netilmicin sulfate 3 mg/ml
Dạng tiêm Chlorpromazine hydrochloride 0.1 mg/ml
Glucose 5% 1200
Tương thích
Dạng tiêm Netilmicin sulfate 3 mg/ml
Dạng tiêm Chlorpromazine hydrochloride 0.1 mg/ml
NaCl 0,9% 1200
Tương thích
Dạng tiêm Netilmicin sulfate 2,5 mg/ml
Dạng tiêm Ciprofloxacin lactate 2 mg/ml
NaCl 0,9% 289
Tương thích
Dạng tiêm Netilmicin sulfate 5 mg/ml
Dạng tiêm Cisatracurium besylate 0.1 >> 5 mg/ml
Glucose 5% 299
Không ổn định hóa học Không tương thích
Dạng tiêm Netilmicin sulfate
Dạng tiêm Cisplatin
3578
Tương thích
Dạng tiêm Netilmicin sulfate 3 mg/ml
Dạng tiêm Clindamycin phosphate 9 mg/ml
NaCl 0,9% 421
Tương thích
Dạng tiêm Netilmicin sulfate 3 mg/ml
Dạng tiêm Clindamycin phosphate 9 mg/ml
Glucose 5% 421
Tương thích
Dạng tiêm Netilmicin sulfate
Dạng tiêm Clindamycin phosphate
Glucose 5% 3526
Tương thích
Dạng tiêm Netilmicin sulfate
Dạng tiêm Clindamycin phosphate
NaCl 0,9% 3526
Tương thích
Dạng tiêm Netilmicin sulfate 3 mg/ml
Dạng tiêm Dexamethasone sodium phosphate 0.08 mg/ml
NaCl 0,9% 1200
Tương thích
Dạng tiêm Netilmicin sulfate 3 mg/ml
Dạng tiêm Dexamethasone sodium phosphate 0.08 mg/ml
Glucose 5% 1200
Tương thích
Dạng tiêm Netilmicin sulfate 3 mg/ml
Dạng tiêm Diazepam 0.04 mg/ml
NaCl 0,9% 1200
Tương thích
Dạng tiêm Netilmicin sulfate 3 mg/ml
Dạng tiêm Diphenhydramine hydrochloride 0.4 mg/ml
NaCl 0,9% 1200
Không tương thích
Dạng tiêm Netilmicin sulfate
Glucose 5% 421
Tương thích
Dạng tiêm Netilmicin sulfate 3 mg/ml
Dạng tiêm Diazepam 0.04 mg/ml
Glucose 5% 1200
Tương thích
Dạng tiêm Netilmicin sulfate 3 mg/ml
Dạng tiêm Diphenhydramine hydrochloride 0.4 mg/ml
Glucose 5% 1200
Tương thích
Dạng tiêm Netilmicin sulfate 5 mg/ml
Dạng tiêm Docetaxel 0.9 mg/ml
Glucose 5% 1754
Tương thích
Dạng tiêm Netilmicin sulfate 5 mg/ml
Dạng tiêm Doxorubicin hydrochloride liposome peg 0.4 mg/ml
Glucose 5% 251
Không tương thích không xác định Không tương thích
Dạng tiêm Netilmicin sulfate
Dạng tiêm Erythromycin lactobionate
3674
Tương thích
Dạng tiêm Netilmicin sulfate 5 mg/ml
Dạng tiêm Etoposide phosphate 5 mg/ml
Glucose 5% 1410
Tương thích
Dạng tiêm Netilmicin sulfate 5 mg/ml
Dạng tiêm Filgrastim 30 µg/ml
Glucose 5% 244
Lượng mưa ngay lập tức Không tương thích
Dạng tiêm Netilmicin sulfate
Dạng tiêm Flucloxacillin sodium
3522
Tương thích
Dạng tiêm Netilmicin sulfate 5 mg/ml
Dạng tiêm Fludarabine phosphate 1 mg/ml
Glucose 5% 492
Lượng mưa ngay lập tức Không tương thích
Dạng tiêm Netilmicin sulfate 1,5 mg/ml
Dạng tiêm Furosemide 0,4 mg/ml
Glucose 5% 367
Lượng mưa ngay lập tức Không tương thích
Dạng tiêm Netilmicin sulfate 1,5 mg/ml
Dạng tiêm Furosemide 0,4 mg/ml
NaCl 0,9% 367
Tương thích
Dạng tiêm Netilmicin sulfate 5 mg/ml
Dạng tiêm Gemcitabine hydrochloride 10 mg/ml
NaCl 0,9% 1423
Tương thích
Dạng tiêm Netilmicin sulfate 5 mg/ml
Dạng tiêm Granisetron hydrochloride 0.05 mg/ml
Glucose 5% 182
Lượng mưa ngay lập tức Không tương thích
Dạng tiêm Netilmicin sulfate
Dạng tiêm Heparin sodium
1022
Không tương thích không xác định Không tương thích
Dạng tiêm Netilmicin sulfate
Dạng tiêm Heparin sodium
3540
Tương thích
Dạng tiêm Netilmicin sulfate 3 mg/ml
Dạng tiêm Hydrocortisone sodium succinate 0.8 mg/ml
NaCl 0,9% 1200
Tương thích
Dạng tiêm Netilmicin sulfate 5 mg/ml
Dinh dưỡng đường tĩnh mạch (hỗn hợp 2 thành phần) 301
Tương thích
Dạng tiêm Netilmicin sulfate 50 & 100 mg/ml
Dinh dưỡng đường tĩnh mạch (hỗn hợp 2 thành phần) 999
Tương thích
Dạng tiêm Netilmicin sulfate 5 mg/ml
Dinh dưỡng đường tĩnh mạch (có lipids) 1415
Tương thích
Dạng tiêm Netilmicin sulfate
Dung dịch Ringer’s lactate 1200
Tương thích
Dạng tiêm Netilmicin sulfate 3 mg/ml
Dạng tiêm Hydrocortisone sodium succinate 0.8 mg/ml
Glucose 5% 1200
Tương thích
Dạng tiêm Netilmicin sulfate 3 mg/ml
Dạng tiêm Iron dextran
Glucose 5% 1200
Tương thích
Dạng tiêm Netilmicin sulfate 3 mg/ml
Dạng tiêm Iron dextran
NaCl 0,9% 1200
Tương thích
Dạng tiêm Netilmicin sulfate 3 mg/ml
Dạng tiêm Isoprenaline hydrochloride 0.4 mg/ml
Glucose 5% 1200
Tương thích
Dạng tiêm Netilmicin sulfate 3 mg/ml
Dạng tiêm Isoprenaline hydrochloride 0.4 mg/ml
NaCl 0,9% 1200
Tương thích
Dạng tiêm Netilmicin sulfate 5 mg/ml
Dạng tiêm Linezolid 2 mg/ml
Không 1925
Tương thích
Dạng tiêm Netilmicin sulfate 5 mg/ml
Dạng tiêm Melphalan 0.1 mg/ml
NaCl 0,9% 169
Tương thích
Dạng tiêm Netilmicin sulfate 1 mg/ml
Dạng tiêm Metronidazole 5 mg/ml
NaCl 0,9% 958
Tương thích
Dạng tiêm Netilmicin sulfate
Dạng tiêm Metronidazole
3594
Tương thích
Dạng tiêm Netilmicin sulfate 1.4 mg/ml
Dạng tiêm Metronidazole 5 mg/ml
Không 1035
Tương thích
Dạng tiêm Netilmicin sulfate 3 mg/ml
Dạng tiêm Neostigmine methylsulfate 0.04 mg/ml
Glucose 5% 1200
Tương thích
Dạng tiêm Netilmicin sulfate 3 mg/ml
Dạng tiêm Neostigmine methylsulfate 0.04 mg/ml
NaCl 0,9% 1200
Tương thích
Dạng tiêm Netilmicin sulfate 3 mg/ml
Dạng tiêm Norepinephrine bitartrate 0.064 mg/ml
NaCl 0,9% 1200
Tương thích
Dạng tiêm Netilmicin sulfate 3 mg/ml
Dạng tiêm Norepinephrine bitartrate 0.064 mg/ml
Glucose 5% 1200
Tương thích
Dạng tiêm Netilmicin sulfate 3 mg/ml
Dạng tiêm Oxytocin
Glucose 5% 1200
Tương thích
Dạng tiêm Netilmicin sulfate 3 mg/ml
Dạng tiêm Oxytocin
NaCl 0,9% 1200
Tương thích
Dạng tiêm Netilmicin sulfate 3 mg/ml
Dạng tiêm Phytomenadione 0.1 mg/ml
NaCl 0,9% 1200
Tương thích
Dạng tiêm Netilmicin sulfate 3 mg/ml
Dạng tiêm Phytomenadione 0.1 mg/ml
Glucose 5% 1200
Không ổn định hóa học Không tương thích
Dạng tiêm Netilmicin sulfate
Dạng tiêm Piperacillin sodium / tazobactam
3586
Tương thích
Dạng tiêm Netilmicin sulfate 3 mg/ml
Dạng tiêm Potassium chloride
Glucose 5% 1200
Tương thích
Dạng tiêm Netilmicin sulfate 3 mg/ml
Dạng tiêm Potassium chloride
NaCl 0,9% 1200
Tương thích
Dạng tiêm Netilmicin sulfate 3 mg/ml
Dạng tiêm Procainamide hydrochloride 4 mg/ml
NaCl 0,9% 1200
Tương thích
Dạng tiêm Netilmicin sulfate 3 mg/ml
Dạng tiêm Procainamide hydrochloride 4 mg/ml
Glucose 5% 1200
Tương thích
Dạng tiêm Netilmicin sulfate 3 mg/ml
Dạng tiêm Promethazine hydrochloride 0.1 mg/ml
Glucose 5% 1200
Tương thích
Dạng tiêm Netilmicin sulfate 3 mg/ml
Dạng tiêm Promethazine hydrochloride 0.1 mg/ml
NaCl 0,9% 1200
Lượng mưa ngay lập tức Không tương thích
Dạng tiêm Netilmicin sulfate 5 mg/ml
Dạng tiêm Propofol 10 mg/ml
Không 300
Tương thích
Dạng tiêm Netilmicin sulfate 1 mg/ml
Dạng tiêm Ranitidine hydrochloride 0,5 mg/ml
NaCl 0,9% 958
Tương thích
Dạng tiêm Netilmicin sulfate 5 mg/ml
Dạng tiêm Remifentanil hydrochloride 25 & 250 µg/ml
NaCl 0,9% 59
Tương thích
Dạng tiêm Netilmicin sulfate 5 mg/ml
Dạng tiêm Sargramostim 10 µg/ml
NaCl 0,9% 335
Tương thích
Dạng tiêm Netilmicin sulfate 5 mg/ml
Dạng tiêm Thiotepa 1 mg/ml
Glucose 5% 249
Tương thích
Dạng tiêm Netilmicin sulfate 3 mg/ml
Dạng tiêm Triflupromazine hydrochloride 0.4 mg/ml
Glucose 5% 1200
Tương thích
Dạng tiêm Netilmicin sulfate 5 mg/ml
Dạng tiêm Vinorelbine tartrate 1 mg/ml
NaCl 0,9% 84
Tương thích
Dạng tiêm Netilmicin sulfate
NaCl 0,9% 421
Không tương thích không xác định Không tương thích
Dạng tiêm Netilmicin sulfate
Dạng tiêm Teicoplanine
3656
Không tương thích không xác định Không tương thích
Dạng tiêm Netilmicin sulfate
Dạng tiêm Temocilline
2296
Tương thích
Dạng tiêm Netilmicin sulfate 5 mg/ml
Dạng tiêm Teniposide 0.1 mg/ml
Glucose 5% 905
Không ổn định hóa học Không tương thích
Dạng tiêm Netilmicin sulfate
Dạng tiêm Ticarcillin / clavulanic acid
3587
Tương thích
Dạng tiêm Netilmicin sulfate 3 mg/ml
Dạng tiêm Triflupromazine hydrochloride 0.4 mg/ml
NaCl 0,9% 1200

  Mentions Légales