Последно актуализиране :
27/04/2026
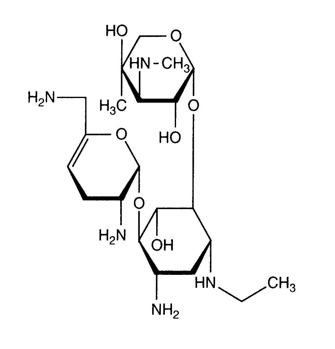
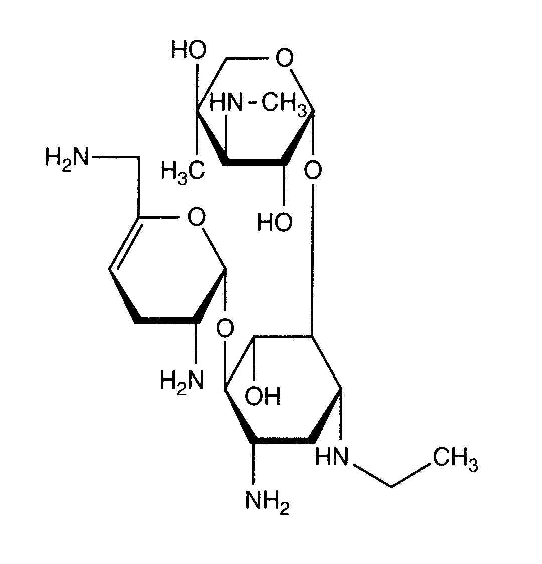
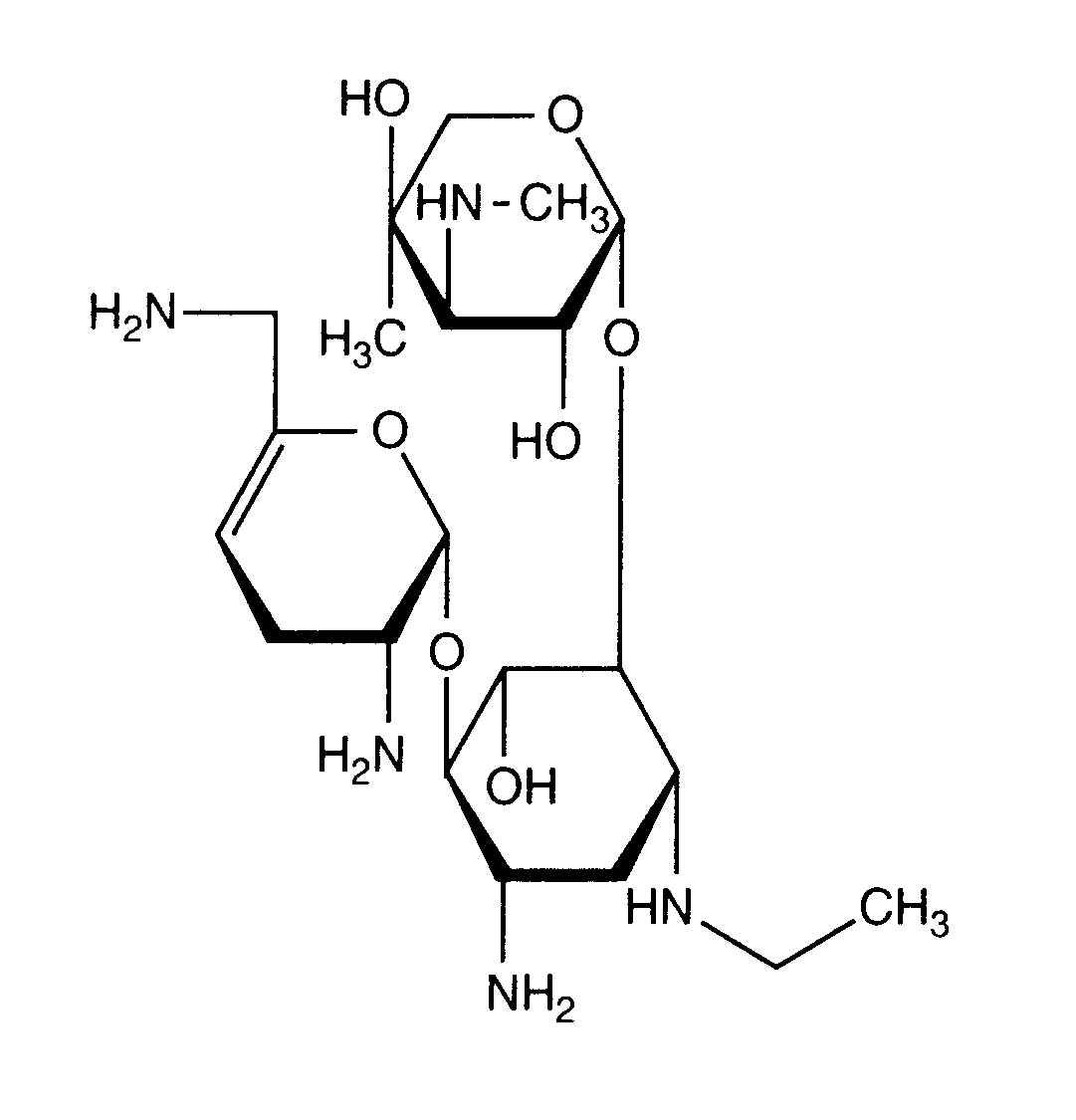
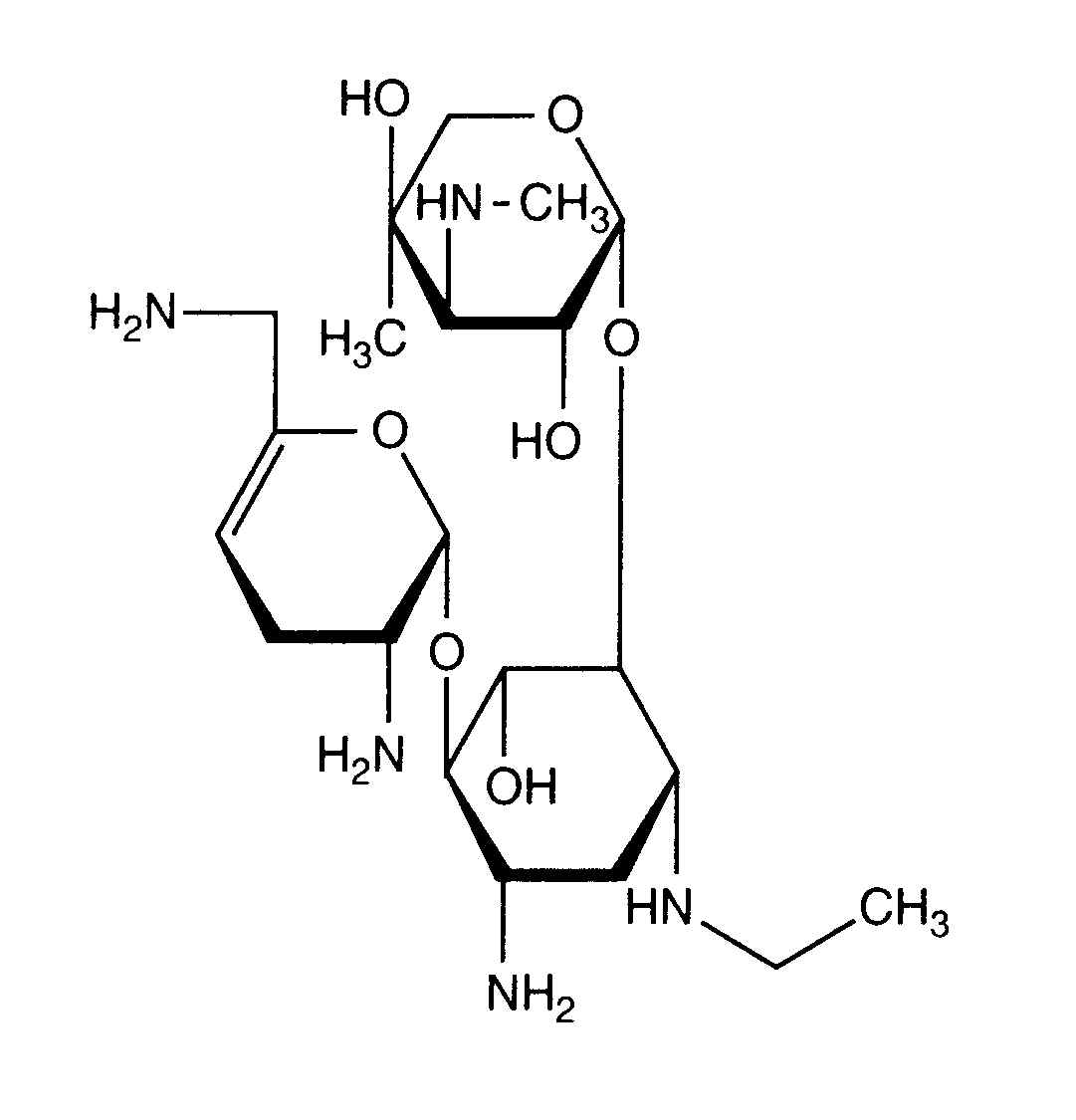
Антибиотик   Netilmicin sulfate  
Инжекция/Инжекционен
Аерозол
Стабилност на разтвори Стабилност на смеси Фактори, повлияващи стабилността Съвместимост Път на въвеждане Библиография Pdf
   Химична структура  

Търговско наименование   Търговско наименование     

Търговските имена са примерни и съставът на помощните вещества може да бъде различен в зависимост от държавата и лабораториите

Bactob Индия
Beltob Индия
Bramicil Италия
Brulamycin Унгария
Eltol Индия
Fytobra Индия
Gernebcin Германия
Komitub Индия
Nebcin Австралия, Великобритания, Гърция, Египет, нова Зеландия, Обединени арабски емирства, Саудитска Арабия
Nebcina Дания, Мароко, Норвегия, Швеция
Nebcine Мароко
Nebicina Италия
Netilyn Финландия, Швеция
Netromicina Португалия
Netromicine Франция
Netromycine Гърция, Полша, Русия, Турция
Nettacin Италия
Obracin Белгия, Люксенбург, Холандия, Швейцария
Tobra Германия
Tobra Alex Египет
Tobra Day нова Зеландия
Tobra Gobens Испания
Tobracin Египет
Tobradistin Испания
Tobramicina Венецуела, Испания, Италия, Португалия
Tobramina Бразилия
Tobramycin Австралия, Великобритания, Германия, Ирландия, Канада, Норвегия, Саудитска Арабия, Съединени Американски щати / САЩ
Tobramycine Ирландия, Франция, Холандия
Tobrasix Австрия
Tobrazid Германия
Tomycin Финландия
Zetamicin Италия
Съвместимост   Инжекция/Инжекционен   Съвместимост : Netilmicin sulfate              
Този екран показва съвместимостта или несъвместимостта с, в този случай, вида на несъвместимостта (утаяване, промяна на цвета, модификация на емулсия и др.). Показаните тук съвместимости са предимно физически, като рядко се оценява химическата стабилност на всяка молекула. Оценката на тези смеси беше проучена, за да се разгледа възможността за приложение на Y-място на пациента. Тези данни не могат да се използват за предварително приготвяне на смеси в торбички или спринцовки. Този тип информация е достъпна на екрана "Стабилност в сместа".
Състав / молекула Разтворител Библиография
Валежи след 1 час Несъвместим
Инжекция/Инжекционен Netilmicin sulfate 5 mg/ml
Инжекция/Инжекционен Allopurinol sodium 3 mg/ml
Sodium chloride 0,9% 307
съвместим
Инжекция/Инжекционен Netilmicin sulfate 3 mg/ml
NaHCO3 1200
съвместим
Инжекция/Инжекционен Netilmicin sulfate 5 mg/ml
Инжекция/Инжекционен Amifostine 10 mg/ml
Glucose 5% 3
съвместим
Инжекция/Инжекционен Netilmicin sulfate 3 mg/ml
Инжекция/Инжекционен Aminocaproic acid 10 mg/ml
Sodium chloride 0,9% 1200
съвместим
Инжекция/Инжекционен Netilmicin sulfate 3 mg/ml
Инжекция/Инжекционен Aminocaproic acid 10 mg/ml
Glucose 5% 1200
съвместим
Инжекция/Инжекционен Netilmicin sulfate 5 mg/ml
Инжекция/Инжекционен Aminophylline 0,8 mg/ml
NaCl 0,45% Glucose 5% 1236
Химическа нестабилност Несъвместим
Инжекция/Инжекционен Netilmicin sulfate
Инжекция/Инжекционен Amoxicillin sodium
3527
Неопределена несъвместимост Несъвместим
Инжекция/Инжекционен Netilmicin sulfate
Инжекция/Инжекционен Amoxicillin sodium / clavulanic acid
3545
Незабавни валежи Несъвместим
Инжекция/Инжекционен Netilmicin sulfate 5 mg/ml
Инжекция/Инжекционен Amphotericin B cholesteryl sulfate complex 0,83 mg/ml
Glucose 5% 921
съвместим
Инжекция/Инжекционен Netilmicin sulfate 3 mg/ml
Инжекция/Инжекционен Atropine sulfate 0.04 mg/ml
Sodium chloride 0,9% 1200
съвместим
Инжекция/Инжекционен Netilmicin sulfate 3 mg/ml
Инжекция/Инжекционен Atropine sulfate 0.04 mg/ml
Glucose 5% 1200
съвместим
Инжекция/Инжекционен Netilmicin sulfate 5 mg/ml
Инжекция/Инжекционен Aztreonam 40 mg/ml
Glucose 5% 99
съвместим
Инжекция/Инжекционен Netilmicin sulfate 5 mg/ml
Инжекция/Инжекционен Calcium gluconate 40 mg/ml
NaCl 0,45% Glucose 5% 1236
Неопределена несъвместимост Несъвместим
Инжекция/Инжекционен Netilmicin sulfate
Инжекция/Инжекционен Calcium gluconate
3644
Несъвместим
Инжекция/Инжекционен Netilmicin sulfate
Инжекция/Инжекционен Calcium gluconate
4964
Неопределена несъвместимост Несъвместим
Инжекция/Инжекционен Netilmicin sulfate
Инжекция/Инжекционен Cefamandole nafate
3546
Неопределена несъвместимост Несъвместим
Инжекция/Инжекционен Netilmicin sulfate
Инжекция/Инжекционен Cefepime dihydrochloride
3548
Неопределена несъвместимост Несъвместим
Инжекция/Инжекционен Netilmicin sulfate
Инжекция/Инжекционен Cefoperazone sodium
3544
Неопределена несъвместимост Несъвместим
Инжекция/Инжекционен Netilmicin sulfate
Инжекция/Инжекционен Ceftazidime
3883
Неопределена несъвместимост Несъвместим
Инжекция/Инжекционен Netilmicin sulfate
Инжекция/Инжекционен Ceftazidime
3543
Неопределена несъвместимост Несъвместим
Инжекция/Инжекционен Netilmicin sulfate
Инжекция/Инжекционен Ceftriaxone disodium
3523
Неопределена несъвместимост Несъвместим
Инжекция/Инжекционен Netilmicin sulfate
Инжекция/Инжекционен Cefuroxime sodium
3687
съвместим
Инжекция/Инжекционен Netilmicin sulfate 3 mg/ml
Инжекция/Инжекционен Chlorpromazine hydrochloride 0.1 mg/ml
Glucose 5% 1200
съвместим
Инжекция/Инжекционен Netilmicin sulfate 3 mg/ml
Инжекция/Инжекционен Chlorpromazine hydrochloride 0.1 mg/ml
Sodium chloride 0,9% 1200
съвместим
Инжекция/Инжекционен Netilmicin sulfate 2,5 mg/ml
Инжекция/Инжекционен Ciprofloxacin lactate 2 mg/ml
Sodium chloride 0,9% 289
съвместим
Инжекция/Инжекционен Netilmicin sulfate 5 mg/ml
Инжекция/Инжекционен Cisatracurium besylate 0.1 >> 5 mg/ml
Glucose 5% 299
Химическа нестабилност Несъвместим
Инжекция/Инжекционен Netilmicin sulfate
Инжекция/Инжекционен Cisplatin
3578
съвместим
Инжекция/Инжекционен Netilmicin sulfate 3 mg/ml
Инжекция/Инжекционен Clindamycin phosphate 9 mg/ml
Sodium chloride 0,9% 421
съвместим
Инжекция/Инжекционен Netilmicin sulfate 3 mg/ml
Инжекция/Инжекционен Clindamycin phosphate 9 mg/ml
Glucose 5% 421
съвместим
Инжекция/Инжекционен Netilmicin sulfate
Инжекция/Инжекционен Clindamycin phosphate
Glucose 5% 3526
съвместим
Инжекция/Инжекционен Netilmicin sulfate
Инжекция/Инжекционен Clindamycin phosphate
Sodium chloride 0,9% 3526
съвместим
Инжекция/Инжекционен Netilmicin sulfate 3 mg/ml
Инжекция/Инжекционен Dexamethasone sodium phosphate 0.08 mg/ml
Sodium chloride 0,9% 1200
съвместим
Инжекция/Инжекционен Netilmicin sulfate 3 mg/ml
Инжекция/Инжекционен Dexamethasone sodium phosphate 0.08 mg/ml
Glucose 5% 1200
съвместим
Инжекция/Инжекционен Netilmicin sulfate 3 mg/ml
Инжекция/Инжекционен Diazepam 0.04 mg/ml
Sodium chloride 0,9% 1200
съвместим
Инжекция/Инжекционен Netilmicin sulfate 3 mg/ml
Инжекция/Инжекционен Diphenhydramine hydrochloride 0.4 mg/ml
Sodium chloride 0,9% 1200
Несъвместим
Инжекция/Инжекционен Netilmicin sulfate
Glucose 5% 421
съвместим
Инжекция/Инжекционен Netilmicin sulfate 3 mg/ml
Инжекция/Инжекционен Diazepam 0.04 mg/ml
Glucose 5% 1200
съвместим
Инжекция/Инжекционен Netilmicin sulfate 3 mg/ml
Инжекция/Инжекционен Diphenhydramine hydrochloride 0.4 mg/ml
Glucose 5% 1200
съвместим
Инжекция/Инжекционен Netilmicin sulfate 5 mg/ml
Инжекция/Инжекционен Docetaxel 0.9 mg/ml
Glucose 5% 1754
съвместим
Инжекция/Инжекционен Netilmicin sulfate 5 mg/ml
Инжекция/Инжекционен Doxorubicin hydrochloride liposome peg 0.4 mg/ml
Glucose 5% 251
Неопределена несъвместимост Несъвместим
Инжекция/Инжекционен Netilmicin sulfate
Инжекция/Инжекционен Erythromycin lactobionate
3674
съвместим
Инжекция/Инжекционен Netilmicin sulfate 5 mg/ml
Инжекция/Инжекционен Etoposide phosphate 5 mg/ml
Glucose 5% 1410
съвместим
Инжекция/Инжекционен Netilmicin sulfate 5 mg/ml
Инжекция/Инжекционен Filgrastim 30 µg/ml
Glucose 5% 244
Незабавни валежи Несъвместим
Инжекция/Инжекционен Netilmicin sulfate
Инжекция/Инжекционен Flucloxacillin sodium
3522
съвместим
Инжекция/Инжекционен Netilmicin sulfate 5 mg/ml
Инжекция/Инжекционен Fludarabine phosphate 1 mg/ml
Glucose 5% 492
Незабавни валежи Несъвместим
Инжекция/Инжекционен Netilmicin sulfate 1,5 mg/ml
Инжекция/Инжекционен Furosemide 0,4 mg/ml
Glucose 5% 367
Незабавни валежи Несъвместим
Инжекция/Инжекционен Netilmicin sulfate 1,5 mg/ml
Инжекция/Инжекционен Furosemide 0,4 mg/ml
Sodium chloride 0,9% 367
съвместим
Инжекция/Инжекционен Netilmicin sulfate 5 mg/ml
Инжекция/Инжекционен Gemcitabine hydrochloride 10 mg/ml
Sodium chloride 0,9% 1423
съвместим
Инжекция/Инжекционен Netilmicin sulfate 5 mg/ml
Инжекция/Инжекционен Granisetron hydrochloride 0.05 mg/ml
Glucose 5% 182
Незабавни валежи Несъвместим
Инжекция/Инжекционен Netilmicin sulfate
Инжекция/Инжекционен Heparin sodium
1022
Неопределена несъвместимост Несъвместим
Инжекция/Инжекционен Netilmicin sulfate
Инжекция/Инжекционен Heparin sodium
3540
съвместим
Инжекция/Инжекционен Netilmicin sulfate 3 mg/ml
Инжекция/Инжекционен Hydrocortisone sodium succinate 0.8 mg/ml
Sodium chloride 0,9% 1200
съвместим
Инжекция/Инжекционен Netilmicin sulfate 5 mg/ml
Парентерално хранене (липидите безплатно) 301
съвместим
Инжекция/Инжекционен Netilmicin sulfate 50 & 100 mg/ml
Парентерално хранене (липидите безплатно) 999
съвместим
Инжекция/Инжекционен Netilmicin sulfate 5 mg/ml
Парентерално хранене (с липиди) 1415
съвместим
Инжекция/Инжекционен Netilmicin sulfate
Ринтер лактат 1200
съвместим
Инжекция/Инжекционен Netilmicin sulfate 3 mg/ml
Инжекция/Инжекционен Hydrocortisone sodium succinate 0.8 mg/ml
Glucose 5% 1200
съвместим
Инжекция/Инжекционен Netilmicin sulfate 3 mg/ml
Инжекция/Инжекционен Iron dextran
Glucose 5% 1200
съвместим
Инжекция/Инжекционен Netilmicin sulfate 3 mg/ml
Инжекция/Инжекционен Iron dextran
Sodium chloride 0,9% 1200
съвместим
Инжекция/Инжекционен Netilmicin sulfate 3 mg/ml
Инжекция/Инжекционен Isoprenaline hydrochloride 0.4 mg/ml
Glucose 5% 1200
съвместим
Инжекция/Инжекционен Netilmicin sulfate 3 mg/ml
Инжекция/Инжекционен Isoprenaline hydrochloride 0.4 mg/ml
Sodium chloride 0,9% 1200
съвместим
Инжекция/Инжекционен Netilmicin sulfate 5 mg/ml
Инжекция/Инжекционен Linezolid 2 mg/ml
Няма 1925
съвместим
Инжекция/Инжекционен Netilmicin sulfate 5 mg/ml
Инжекция/Инжекционен Melphalan 0.1 mg/ml
Sodium chloride 0,9% 169
съвместим
Инжекция/Инжекционен Netilmicin sulfate 1 mg/ml
Инжекция/Инжекционен Metronidazole 5 mg/ml
Sodium chloride 0,9% 958
съвместим
Инжекция/Инжекционен Netilmicin sulfate
Инжекция/Инжекционен Metronidazole
3594
съвместим
Инжекция/Инжекционен Netilmicin sulfate 1.4 mg/ml
Инжекция/Инжекционен Metronidazole 5 mg/ml
Няма 1035
съвместим
Инжекция/Инжекционен Netilmicin sulfate 3 mg/ml
Инжекция/Инжекционен Neostigmine methylsulfate 0.04 mg/ml
Glucose 5% 1200
съвместим
Инжекция/Инжекционен Netilmicin sulfate 3 mg/ml
Инжекция/Инжекционен Neostigmine methylsulfate 0.04 mg/ml
Sodium chloride 0,9% 1200
съвместим
Инжекция/Инжекционен Netilmicin sulfate 3 mg/ml
Инжекция/Инжекционен Norepinephrine bitartrate 0.064 mg/ml
Sodium chloride 0,9% 1200
съвместим
Инжекция/Инжекционен Netilmicin sulfate 3 mg/ml
Инжекция/Инжекционен Norepinephrine bitartrate 0.064 mg/ml
Glucose 5% 1200
съвместим
Инжекция/Инжекционен Netilmicin sulfate 3 mg/ml
Инжекция/Инжекционен Oxytocin
Glucose 5% 1200
съвместим
Инжекция/Инжекционен Netilmicin sulfate 3 mg/ml
Инжекция/Инжекционен Oxytocin
Sodium chloride 0,9% 1200
съвместим
Инжекция/Инжекционен Netilmicin sulfate 3 mg/ml
Инжекция/Инжекционен Phytomenadione 0.1 mg/ml
Sodium chloride 0,9% 1200
съвместим
Инжекция/Инжекционен Netilmicin sulfate 3 mg/ml
Инжекция/Инжекционен Phytomenadione 0.1 mg/ml
Glucose 5% 1200
Химическа нестабилност Несъвместим
Инжекция/Инжекционен Netilmicin sulfate
Инжекция/Инжекционен Piperacillin sodium / tazobactam
3586
съвместим
Инжекция/Инжекционен Netilmicin sulfate 3 mg/ml
Инжекция/Инжекционен Potassium chloride
Glucose 5% 1200
съвместим
Инжекция/Инжекционен Netilmicin sulfate 3 mg/ml
Инжекция/Инжекционен Potassium chloride
Sodium chloride 0,9% 1200
съвместим
Инжекция/Инжекционен Netilmicin sulfate 3 mg/ml
Инжекция/Инжекционен Procainamide hydrochloride 4 mg/ml
Sodium chloride 0,9% 1200
съвместим
Инжекция/Инжекционен Netilmicin sulfate 3 mg/ml
Инжекция/Инжекционен Procainamide hydrochloride 4 mg/ml
Glucose 5% 1200
съвместим
Инжекция/Инжекционен Netilmicin sulfate 3 mg/ml
Инжекция/Инжекционен Promethazine hydrochloride 0.1 mg/ml
Glucose 5% 1200
съвместим
Инжекция/Инжекционен Netilmicin sulfate 3 mg/ml
Инжекция/Инжекционен Promethazine hydrochloride 0.1 mg/ml
Sodium chloride 0,9% 1200
Незабавни валежи Несъвместим
Инжекция/Инжекционен Netilmicin sulfate 5 mg/ml
Инжекция/Инжекционен Propofol 10 mg/ml
Няма 300
съвместим
Инжекция/Инжекционен Netilmicin sulfate 1 mg/ml
Инжекция/Инжекционен Ranitidine hydrochloride 0,5 mg/ml
Sodium chloride 0,9% 958
съвместим
Инжекция/Инжекционен Netilmicin sulfate 5 mg/ml
Инжекция/Инжекционен Remifentanil hydrochloride 25 & 250 µg/ml
Sodium chloride 0,9% 59
съвместим
Инжекция/Инжекционен Netilmicin sulfate 5 mg/ml
Инжекция/Инжекционен Sargramostim 10 µg/ml
Sodium chloride 0,9% 335
съвместим
Инжекция/Инжекционен Netilmicin sulfate 5 mg/ml
Инжекция/Инжекционен Thiotepa 1 mg/ml
Glucose 5% 249
съвместим
Инжекция/Инжекционен Netilmicin sulfate 3 mg/ml
Инжекция/Инжекционен Triflupromazine hydrochloride 0.4 mg/ml
Glucose 5% 1200
съвместим
Инжекция/Инжекционен Netilmicin sulfate 5 mg/ml
Инжекция/Инжекционен Vinorelbine tartrate 1 mg/ml
Sodium chloride 0,9% 84
съвместим
Инжекция/Инжекционен Netilmicin sulfate
Sodium chloride 0,9% 421
Неопределена несъвместимост Несъвместим
Инжекция/Инжекционен Netilmicin sulfate
Инжекция/Инжекционен Teicoplanine
3656
Неопределена несъвместимост Несъвместим
Инжекция/Инжекционен Netilmicin sulfate
Инжекция/Инжекционен Temocilline
2296
съвместим
Инжекция/Инжекционен Netilmicin sulfate 5 mg/ml
Инжекция/Инжекционен Teniposide 0.1 mg/ml
Glucose 5% 905
Химическа нестабилност Несъвместим
Инжекция/Инжекционен Netilmicin sulfate
Инжекция/Инжекционен Ticarcillin / clavulanic acid
3587
съвместим
Инжекция/Инжекционен Netilmicin sulfate 3 mg/ml
Инжекция/Инжекционен Triflupromazine hydrochloride 0.4 mg/ml
Sodium chloride 0,9% 1200

  Mentions Légales