Letztes “update” :
27/04/2026
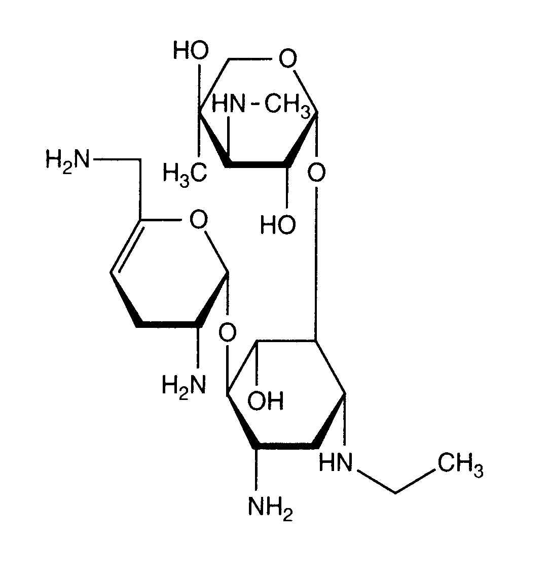
Antibiotikum   Netilmicin sulfate  
Injektion
Aerosol
Stabilität der Lösung Gemengestabilität Stabilitätbeeinflussende Faktoren Kompatibilitäten Applikationsart Literaturverzeichnis pdf
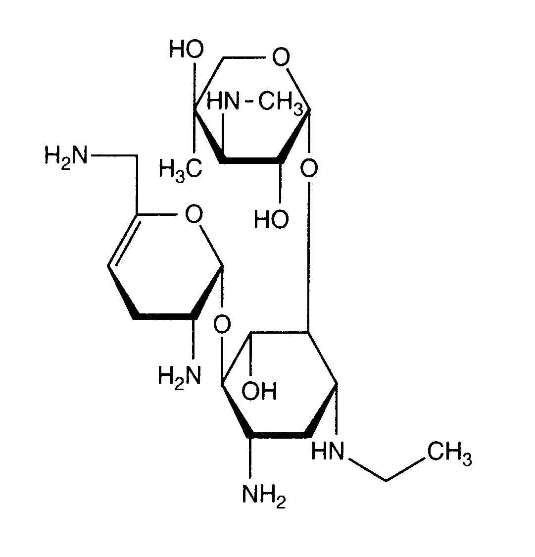
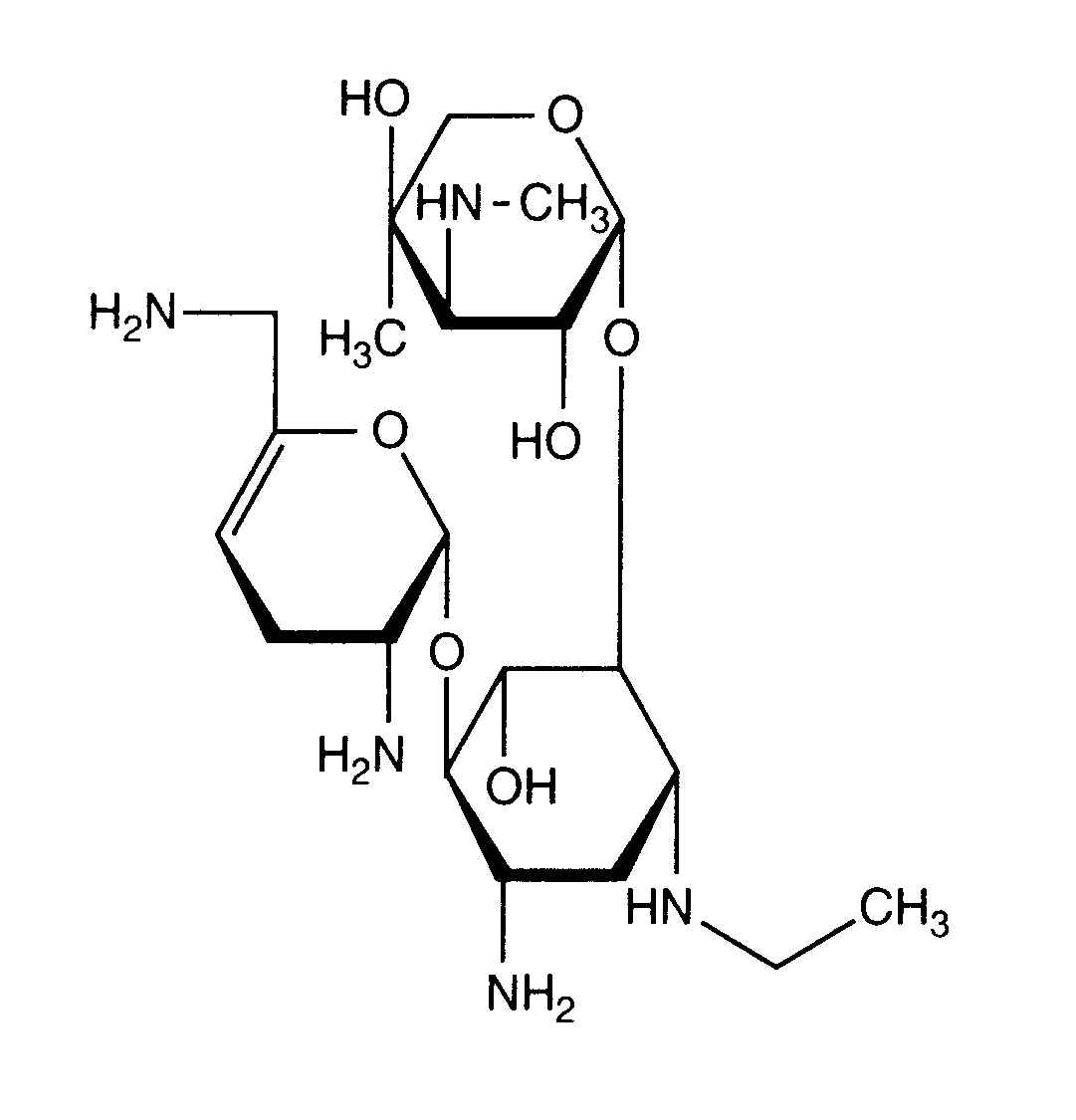
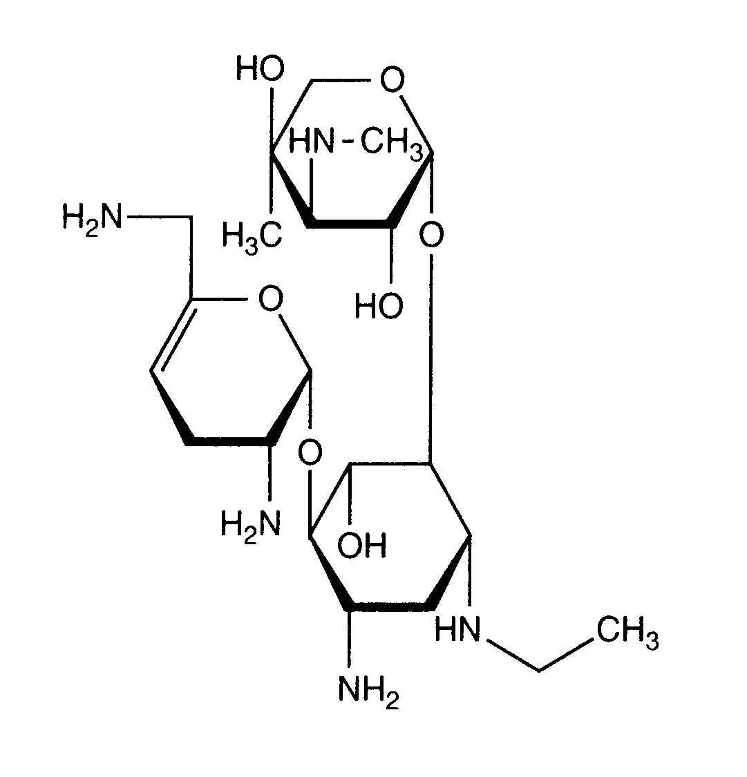
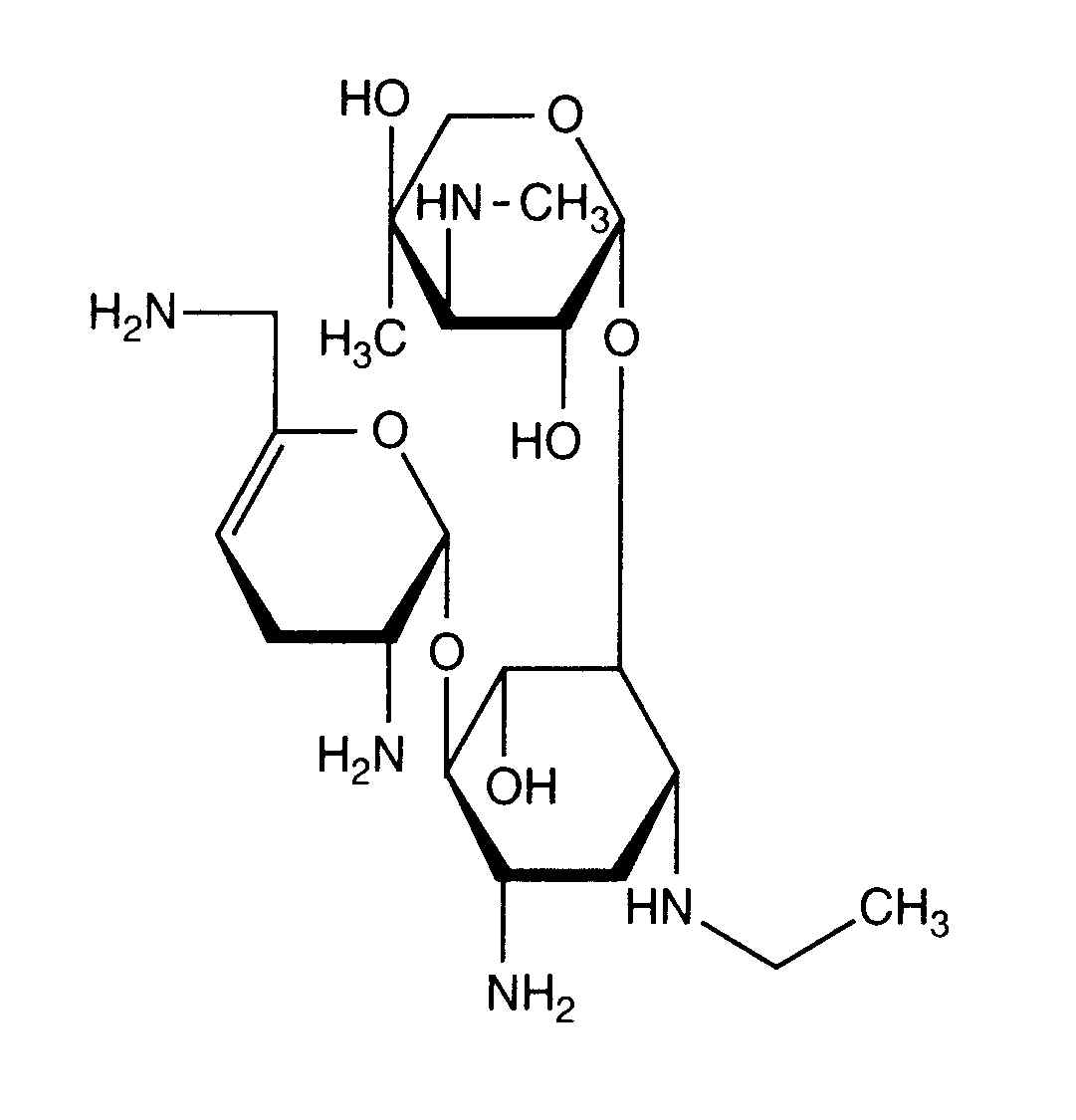
   Chemische Struktur  

Handelsmarke   Handelsmarke     

Handelsnamen sind als beispielhaft anzusehen. Sonstige Bestandteile können je nach Hersteller oder Land verschieden sein

Bactob Indien
Beltob Indien
Bramicil Italien
Brulamycin Ungarn
Eltol Indien
Fytobra Indien
Gernebcin Deutschland
Komitub Indien
Nebcin Ägypten, Australien, Griechenland, Großbritannien, Neuseeland, Saudi-Arabien, Vereinigte Arabische Emirate
Nebcina Dänemark, Marokko, Norwegen, Schweden
Nebcine Marokko
Nebicina Italien
Netilyn Finnland, Schweden
Netromicina Portugal
Netromicine Frankreich
Netromycine Griechenland, Polen, russisch, Türkei
Nettacin Italien
Obracin Belgien, Luxemburg, Niederlande, Schweiz
Tobra Deutschland
Tobra Alex Ägypten
Tobra Day Neuseeland
Tobra Gobens Spanien
Tobracin Ägypten
Tobradistin Spanien
Tobramicina Italien, Portugal, Spanien, Venezuela
Tobramina Brasilien
Tobramycin Australien, Deutschland, Großbritannien, Irland, Kanada, Norwegen, Saudi-Arabien, Vereinigte Staaten von Amerika
Tobramycine Frankreich, Irland, Niederlande
Tobrasix Österreich
Tobrazid Deutschland
Tomycin Finnland
Zetamicin Italien
Kompatibilitäten   Injektion   Kompatibilitäten : Netilmicin sulfate              
Dieser Bildschirm zeigt die Kompatibilitäten oder Inkompatibilitäten mit der Art der Inkompatibilität (hier: Ausfällung, Farbänderung, Modifikation einer Emulsion usw.) an. Die hier gezeigten Kompatibilitäten sind meist nur physikalisch, wobei die chemische Stabilität jedes Moleküls selten bewertet wird. Die Bewertung dieser Gemische wurde untersucht, um die Möglichkeit einer Verabreichung über eine Y-Verbindung zu berücksichtigen. Diese Daten können daher nicht zur Herstellung von Mischungen im Voraus in Beuteln oder Spritzen verwendet werden. Sie finden diese Informationen auf dem Bildschirm "Stabilität in Mischung».
Molekül Lösungsmittel Literaturverzeichnis
Niederschlag nach 1 Stunde nicht kompatibel
Injektion Netilmicin sulfate 5 mg/ml
Injektion Allopurinol sodium 3 mg/ml
0,9% Natriumchlorid 307
kompatibel
Injektion Netilmicin sulfate 3 mg/ml
NaHCO3 1200
kompatibel
Injektion Netilmicin sulfate 5 mg/ml
Injektion Amifostine 10 mg/ml
5% Glucose 3
kompatibel
Injektion Netilmicin sulfate 3 mg/ml
Injektion Aminocaproic acid 10 mg/ml
0,9% Natriumchlorid 1200
kompatibel
Injektion Netilmicin sulfate 3 mg/ml
Injektion Aminocaproic acid 10 mg/ml
5% Glucose 1200
kompatibel
Injektion Netilmicin sulfate 5 mg/ml
Injektion Aminophylline 0,8 mg/ml
0,45 NaCl  5% Glucose 1236
Chemische Instabilität nicht kompatibel
Injektion Netilmicin sulfate
Injektion Amoxicillin sodium
3527
Nicht spezifizierte Inkompatibilität nicht kompatibel
Injektion Netilmicin sulfate
Injektion Amoxicillin sodium / clavulanic acid
3545
Sofortiger Niederschlag nicht kompatibel
Injektion Netilmicin sulfate 5 mg/ml
Injektion Amphotericin B cholesteryl sulfate complex 0,83 mg/ml
5% Glucose 921
kompatibel
Injektion Netilmicin sulfate 3 mg/ml
Injektion Atropine sulfate 0.04 mg/ml
0,9% Natriumchlorid 1200
kompatibel
Injektion Netilmicin sulfate 3 mg/ml
Injektion Atropine sulfate 0.04 mg/ml
5% Glucose 1200
kompatibel
Injektion Netilmicin sulfate 5 mg/ml
Injektion Aztreonam 40 mg/ml
5% Glucose 99
kompatibel
Injektion Netilmicin sulfate 5 mg/ml
Injektion Calcium gluconate 40 mg/ml
0,45 NaCl  5% Glucose 1236
Nicht spezifizierte Inkompatibilität nicht kompatibel
Injektion Netilmicin sulfate
Injektion Calcium gluconate
3644
nicht kompatibel
Injektion Netilmicin sulfate
Injektion Calcium gluconate
4964
Nicht spezifizierte Inkompatibilität nicht kompatibel
Injektion Netilmicin sulfate
Injektion Cefamandole nafate
3546
Nicht spezifizierte Inkompatibilität nicht kompatibel
Injektion Netilmicin sulfate
Injektion Cefepime dihydrochloride
3548
Nicht spezifizierte Inkompatibilität nicht kompatibel
Injektion Netilmicin sulfate
Injektion Cefoperazone sodium
3544
Nicht spezifizierte Inkompatibilität nicht kompatibel
Injektion Netilmicin sulfate
Injektion Ceftazidime
3883
Nicht spezifizierte Inkompatibilität nicht kompatibel
Injektion Netilmicin sulfate
Injektion Ceftazidime
3543
Nicht spezifizierte Inkompatibilität nicht kompatibel
Injektion Netilmicin sulfate
Injektion Ceftriaxone disodium
3523
Nicht spezifizierte Inkompatibilität nicht kompatibel
Injektion Netilmicin sulfate
Injektion Cefuroxime sodium
3687
kompatibel
Injektion Netilmicin sulfate 3 mg/ml
Injektion Chlorpromazine hydrochloride 0.1 mg/ml
5% Glucose 1200
kompatibel
Injektion Netilmicin sulfate 3 mg/ml
Injektion Chlorpromazine hydrochloride 0.1 mg/ml
0,9% Natriumchlorid 1200
kompatibel
Injektion Netilmicin sulfate 2,5 mg/ml
Injektion Ciprofloxacin lactate 2 mg/ml
0,9% Natriumchlorid 289
kompatibel
Injektion Netilmicin sulfate 5 mg/ml
Injektion Cisatracurium besylate 0.1 >> 5 mg/ml
5% Glucose 299
Chemische Instabilität nicht kompatibel
Injektion Netilmicin sulfate
Injektion Cisplatin
3578
kompatibel
Injektion Netilmicin sulfate 3 mg/ml
Injektion Clindamycin phosphate 9 mg/ml
0,9% Natriumchlorid 421
kompatibel
Injektion Netilmicin sulfate 3 mg/ml
Injektion Clindamycin phosphate 9 mg/ml
5% Glucose 421
kompatibel
Injektion Netilmicin sulfate
Injektion Clindamycin phosphate
5% Glucose 3526
kompatibel
Injektion Netilmicin sulfate
Injektion Clindamycin phosphate
0,9% Natriumchlorid 3526
kompatibel
Injektion Netilmicin sulfate 3 mg/ml
Injektion Dexamethasone sodium phosphate 0.08 mg/ml
0,9% Natriumchlorid 1200
kompatibel
Injektion Netilmicin sulfate 3 mg/ml
Injektion Dexamethasone sodium phosphate 0.08 mg/ml
5% Glucose 1200
kompatibel
Injektion Netilmicin sulfate 3 mg/ml
Injektion Diazepam 0.04 mg/ml
0,9% Natriumchlorid 1200
kompatibel
Injektion Netilmicin sulfate 3 mg/ml
Injektion Diphenhydramine hydrochloride 0.4 mg/ml
0,9% Natriumchlorid 1200
nicht kompatibel
Injektion Netilmicin sulfate
5% Glucose 421
kompatibel
Injektion Netilmicin sulfate 3 mg/ml
Injektion Diazepam 0.04 mg/ml
5% Glucose 1200
kompatibel
Injektion Netilmicin sulfate 3 mg/ml
Injektion Diphenhydramine hydrochloride 0.4 mg/ml
5% Glucose 1200
kompatibel
Injektion Netilmicin sulfate 5 mg/ml
Injektion Docetaxel 0.9 mg/ml
5% Glucose 1754
kompatibel
Injektion Netilmicin sulfate 5 mg/ml
Injektion Doxorubicin hydrochloride liposome peg 0.4 mg/ml
5% Glucose 251
Nicht spezifizierte Inkompatibilität nicht kompatibel
Injektion Netilmicin sulfate
Injektion Erythromycin lactobionate
3674
kompatibel
Injektion Netilmicin sulfate 5 mg/ml
Injektion Etoposide phosphate 5 mg/ml
5% Glucose 1410
kompatibel
Injektion Netilmicin sulfate 5 mg/ml
Injektion Filgrastim 30 µg/ml
5% Glucose 244
Sofortiger Niederschlag nicht kompatibel
Injektion Netilmicin sulfate
Injektion Flucloxacillin sodium
3522
kompatibel
Injektion Netilmicin sulfate 5 mg/ml
Injektion Fludarabine phosphate 1 mg/ml
5% Glucose 492
Sofortiger Niederschlag nicht kompatibel
Injektion Netilmicin sulfate 1,5 mg/ml
Injektion Furosemide 0,4 mg/ml
5% Glucose 367
Sofortiger Niederschlag nicht kompatibel
Injektion Netilmicin sulfate 1,5 mg/ml
Injektion Furosemide 0,4 mg/ml
0,9% Natriumchlorid 367
kompatibel
Injektion Netilmicin sulfate 5 mg/ml
Injektion Gemcitabine hydrochloride 10 mg/ml
0,9% Natriumchlorid 1423
kompatibel
Injektion Netilmicin sulfate 5 mg/ml
Injektion Granisetron hydrochloride 0.05 mg/ml
5% Glucose 182
Sofortiger Niederschlag nicht kompatibel
Injektion Netilmicin sulfate
Injektion Heparin sodium
1022
Nicht spezifizierte Inkompatibilität nicht kompatibel
Injektion Netilmicin sulfate
Injektion Heparin sodium
3540
kompatibel
Injektion Netilmicin sulfate 3 mg/ml
Injektion Hydrocortisone sodium succinate 0.8 mg/ml
0,9% Natriumchlorid 1200
kompatibel
Injektion Netilmicin sulfate 5 mg/ml
Parenterale Ernährung (Lipid-frei) 301
kompatibel
Injektion Netilmicin sulfate 50 & 100 mg/ml
Parenterale Ernährung (Lipid-frei) 999
kompatibel
Injektion Netilmicin sulfate 5 mg/ml
Parenterale Ernährung (mit Lipiden) 1415
kompatibel
Injektion Netilmicin sulfate
Ringer Lactat - Lösung 1200
kompatibel
Injektion Netilmicin sulfate 3 mg/ml
Injektion Hydrocortisone sodium succinate 0.8 mg/ml
5% Glucose 1200
kompatibel
Injektion Netilmicin sulfate 3 mg/ml
Injektion Iron dextran
5% Glucose 1200
kompatibel
Injektion Netilmicin sulfate 3 mg/ml
Injektion Iron dextran
0,9% Natriumchlorid 1200
kompatibel
Injektion Netilmicin sulfate 3 mg/ml
Injektion Isoprenaline hydrochloride 0.4 mg/ml
5% Glucose 1200
kompatibel
Injektion Netilmicin sulfate 3 mg/ml
Injektion Isoprenaline hydrochloride 0.4 mg/ml
0,9% Natriumchlorid 1200
kompatibel
Injektion Netilmicin sulfate 5 mg/ml
Injektion Linezolid 2 mg/ml
Kein 1925
kompatibel
Injektion Netilmicin sulfate 5 mg/ml
Injektion Melphalan 0.1 mg/ml
0,9% Natriumchlorid 169
kompatibel
Injektion Netilmicin sulfate 1 mg/ml
Injektion Metronidazole 5 mg/ml
0,9% Natriumchlorid 958
kompatibel
Injektion Netilmicin sulfate
Injektion Metronidazole
3594
kompatibel
Injektion Netilmicin sulfate 1.4 mg/ml
Injektion Metronidazole 5 mg/ml
Kein 1035
kompatibel
Injektion Netilmicin sulfate 3 mg/ml
Injektion Neostigmine methylsulfate 0.04 mg/ml
5% Glucose 1200
kompatibel
Injektion Netilmicin sulfate 3 mg/ml
Injektion Neostigmine methylsulfate 0.04 mg/ml
0,9% Natriumchlorid 1200
kompatibel
Injektion Netilmicin sulfate 3 mg/ml
Injektion Norepinephrine bitartrate 0.064 mg/ml
0,9% Natriumchlorid 1200
kompatibel
Injektion Netilmicin sulfate 3 mg/ml
Injektion Norepinephrine bitartrate 0.064 mg/ml
5% Glucose 1200
kompatibel
Injektion Netilmicin sulfate 3 mg/ml
Injektion Oxytocin
5% Glucose 1200
kompatibel
Injektion Netilmicin sulfate 3 mg/ml
Injektion Oxytocin
0,9% Natriumchlorid 1200
kompatibel
Injektion Netilmicin sulfate 3 mg/ml
Injektion Phytomenadione 0.1 mg/ml
0,9% Natriumchlorid 1200
kompatibel
Injektion Netilmicin sulfate 3 mg/ml
Injektion Phytomenadione 0.1 mg/ml
5% Glucose 1200
Chemische Instabilität nicht kompatibel
Injektion Netilmicin sulfate
Injektion Piperacillin sodium / tazobactam
3586
kompatibel
Injektion Netilmicin sulfate 3 mg/ml
Injektion Potassium chloride
5% Glucose 1200
kompatibel
Injektion Netilmicin sulfate 3 mg/ml
Injektion Potassium chloride
0,9% Natriumchlorid 1200
kompatibel
Injektion Netilmicin sulfate 3 mg/ml
Injektion Procainamide hydrochloride 4 mg/ml
0,9% Natriumchlorid 1200
kompatibel
Injektion Netilmicin sulfate 3 mg/ml
Injektion Procainamide hydrochloride 4 mg/ml
5% Glucose 1200
kompatibel
Injektion Netilmicin sulfate 3 mg/ml
Injektion Promethazine hydrochloride 0.1 mg/ml
5% Glucose 1200
kompatibel
Injektion Netilmicin sulfate 3 mg/ml
Injektion Promethazine hydrochloride 0.1 mg/ml
0,9% Natriumchlorid 1200
Sofortiger Niederschlag nicht kompatibel
Injektion Netilmicin sulfate 5 mg/ml
Injektion Propofol 10 mg/ml
Kein 300
kompatibel
Injektion Netilmicin sulfate 1 mg/ml
Injektion Ranitidine hydrochloride 0,5 mg/ml
0,9% Natriumchlorid 958
kompatibel
Injektion Netilmicin sulfate 5 mg/ml
Injektion Remifentanil hydrochloride 25 & 250 µg/ml
0,9% Natriumchlorid 59
kompatibel
Injektion Netilmicin sulfate 5 mg/ml
Injektion Sargramostim 10 µg/ml
0,9% Natriumchlorid 335
kompatibel
Injektion Netilmicin sulfate 5 mg/ml
Injektion Thiotepa 1 mg/ml
5% Glucose 249
kompatibel
Injektion Netilmicin sulfate 3 mg/ml
Injektion Triflupromazine hydrochloride 0.4 mg/ml
5% Glucose 1200
kompatibel
Injektion Netilmicin sulfate 5 mg/ml
Injektion Vinorelbine tartrate 1 mg/ml
0,9% Natriumchlorid 84
kompatibel
Injektion Netilmicin sulfate
0,9% Natriumchlorid 421
Nicht spezifizierte Inkompatibilität nicht kompatibel
Injektion Netilmicin sulfate
Injektion Teicoplanine
3656
Nicht spezifizierte Inkompatibilität nicht kompatibel
Injektion Netilmicin sulfate
Injektion Temocilline
2296
kompatibel
Injektion Netilmicin sulfate 5 mg/ml
Injektion Teniposide 0.1 mg/ml
5% Glucose 905
Chemische Instabilität nicht kompatibel
Injektion Netilmicin sulfate
Injektion Ticarcillin / clavulanic acid
3587
kompatibel
Injektion Netilmicin sulfate 3 mg/ml
Injektion Triflupromazine hydrochloride 0.4 mg/ml
0,9% Natriumchlorid 1200

  Mentions Légales