|
Tip |
objava |
| 3 |
časopis |
Trissel LA, Martinez JF. Compatibility of amifostine with selected drugs during simulated Y-site administration. Am J Health-Syst Pharm 1995 ; 52: 2208-2212. |
| 36 |
časopis |
Alex S, Gupta SL, Minor JR, Turcovski-Corrales S, Gallelli JF, Taub D, Piscitelli SC. Compatibility and activity of aldesleukin (recombinant interleukin-2) in presence of selected drugs during simulated Y-site administration: Evaluation of three methods. Am J Health-Syst Pharm 1995 ; 52: 2423-2426. |
| 59 |
časopis |
Trissel LA, Gilbert DL, Martinez JF, Kim MC. Compatibility of remifentanil hydrochloride with selected drugs during simulated Y-site administration. Am J Health-Syst Pharm 1997 ; 54: 2192-2196. |
| 66 |
časopis |
Avelar MA, Walker SE. Stability and compatibility of reconstituted hydromorphone with potassium chloride or heparin. Can J Hosp Pharm 1996 ; 49: 140-145. |
| 73 |
časopis |
Lor E, Takagi J. Visual compatibility of foscarnet with other injectable drugs. Am J Hosp Pharm 1990 ; 47: 157-159. |
| 81 |
časopis |
Trissel LA, Martinez JF. Compatibility of piperacillin sodium plus tazobactam with selected drugs during simulated Y-site injection. Am J Hosp Pharm 1994 ; 51: 672-678. |
| 84 |
časopis |
Trissel LA, Martinez JF. Visual, turbidimetric, and particle-content assessment of compatibility of vinorelbine tartrate with selected drugs during simulated Y-site injection. Am J Hosp Pharm 1994 ; 51: 495-499. |
| 91 |
časopis |
Lober CA, Dollard PA. Visual compatibility of gallium nitrate with selected drugs during Y-site injection. Am J Hosp Pharm 1993 ; 50: 1208-1210. |
| 92 |
časopis |
Lee CY, Mauro VF, Alexander KS. Visual and spectrophotometric determination of compatibility of alteplase and streptokinase with other injectable drugs. Am J Hosp Pharm 1990 ; 47: 606-608. |
| 93 |
časopis |
Hutchings SR, Rusho WJ, Tyler LS. Compatibility of cefmetazole sodium with commonly used drugs during Y-site delivery. Am J Health-Syst Pharm 1996 ; 53: 2185-2188. |
| 99 |
časopis |
Trissel LA, Martinez JF. Compatibility of aztreonam with selected drugs during simulated Y-site administration. Am J Health-Syst Pharm 1995 ; 52: 1086-1090. |
| 129 |
časopis |
Smythe M, Malouf E. Visual compatibility of insulin with secondary intravenous drugs in admixtures. Am J Hosp Pharm 1991 ; 48: 125-126. |
| 132 |
časopis |
Najari Z, Rusho WJ. Compatibility of commonly used bone marrow transplant drugs during Y-site delivery. Am J Health-Syst Pharm 1997 ; 54: 181-184. |
| 150 |
časopis |
Aujoulat P, Coze C, Braguer D, Raybaud C. Physicochemical compatibility of methotrexate with co-administered drugs during cancer chemotherapy regimens. J Pharm Clin 1993 ; 12: 31-35. |
| 156 |
časopis |
Barberi-Hayob M, Merlin JL, Vigneron M, Conroy T. Addition of heparin in 5-fluorouracil solution for portal vein infusion has no influence on its stability under clinically relevant conditions. Anticancer Drugs 1995 ; 6: 163-164. |
| 163 |
časopis |
Sewell GJ, Allsopp M, Collinson MP, Tyrrell C, Prentice AJ, Copplestone JA. Stability studies on admixtures of 5-fluorouracil with carboplatin and 5-fluorouracil with heparin for administration in continuous infusion regimens. J Clin Pharm Ther 1994 ; 19: 127-133. |
| 169 |
časopis |
Trissel LA, Martinez JF. Physical compatibility of melphalan with selected drugs during simulated Y-site administration. Am J Hosp Pharm 1993 ; 50: 2359-2363. |
| 174 |
časopis |
Schaaf LJ, Robinson DH, Vogel GJ, Wulf BG, Drda KD, Moses JO. Stability of esmolol hydrochloride in the presence of aminophylline, bretylium tosylate, heparin sodium, and procainamide hydrochloride. Am J Hosp Pharm 1990 ; 47: 1567-1571. |
| 182 |
časopis |
Trissel LA, Gilbert DL, Martinez JF. Compatibility of granisetron hydrochloride with selected drugs during simulated Y-site administration. Am J Health-Syst Pharm 1997 ; 54: 56-60. |
| 186 |
časopis |
Swart EL, Mooren RAG, Van Loenen AC. Compatibility of midazolam hydrochloride and lorazepam with selected drugs during simulated Y-site administration. Am J Health-Syst Pharm 1995 ; 52: 2020-2022. |
| 187 |
časopis |
Olsen KM, Gurley BJ, Davis GA, Christensen R, Monaghan MS. Stability of flumazenil with selected drugs in 5% dextrose injection. Am J Hosp Pharm 1993 ; 50: 1907-1912. |
| 198 |
časopis |
Gayed AA, Kheshary PR, Hinkle RL. Visual compatibility of diltiazem injection with various diluents and medications during simulated Y-site injection. Am J Health-Syst Pharm 1995 ; 52: 516-520. |
| 214 |
časopis |
Galante LJ, Stewart JT, Warren FW, Edgar JW, Huff AJ. Stability of ranitidine hydrochloride with eight medications in intravenous admixtures. Am J Hosp Pharm 1990 ; 47: 1606-1610. |
| 215 |
časopis |
Keyi X, Gagnon N, Bisson C, Desmarais M, LeBel M. Stability of famotidine in polyvinyl chloride minibags and polypropylene syringes and compatibility of famotidine with selected drugs. Ann Pharmacotherapy 1993 ; 27: 422-426. |
| 240 |
časopis |
Lam XM, Ward CA, de C du M?e CPR. Stability and activity of alteplase with injectable drugs commonly used in cardiac therapy. Am J Health-Syst Pharm 1995 ; 52: 1904-1909. |
| 244 |
časopis |
Trissel LA, Martinez JF. Compatibility of filgrastim with selected drugs during simulated Y-site administration. Am J Hosp Pharm 1994 ; 51: 1907-1913. |
| 248 |
časopis |
Trissel LA, Martinez JF. Turbidimetric assessment of the compatibility of taxol with 42 other drugs during simulated Y-site injection. Am J Hosp Pharm 1993 ; 50: 300-304. |
| 249 |
časopis |
Trissel LA, Martinez JF. Compatibility of thiotepa (lyophilized) with selected drugs during simulated Y-site administration. Am J Health-Syst Pharm 1996 ; 53: 1041-1045. |
| 251 |
časopis |
Trissel LA, Gilbert DL, Martinez JF. Compatibility of doxorubicin hydrochloride liposome injection with selected other drugs during simulated Y-site administration. Am J Health-Syst Pharm 1997 ; 54: 2708-2713. |
| 253 |
časopis |
Trissel LA, Chandler SW, Folstad JT. Visual compatibility of amsacrine with selected drugs during simulated Y-site injection. Am J Hosp Pharm 1990 ; 47: 2525-2528. |
| 257 |
časopis |
Hunt-Fugate AK, Hennessey CK, Kazarian CM. Stability of fluconazole in injectable solutions. Am J Hosp Pharm 1993 ; 50: 1186-1187. |
| 266 |
časopis |
Patel PR. Compatibility of meropenem with commonly used injectable drugs. Am J Health-Syst Pharm 1996 ; 53: 2853-2855. |
| 288 |
časopis |
Cervenka P, Dejong DJ, Butler BL, Monzingo MD. Visual compatibility of injectable ciprofloxacin lactate with selected injectable drugs during simulated Y-site administration. Hosp Pharm 1992 ; 27: 957-958,961-962. |
| 289 |
časopis |
Jim LK. Physical and chemical compatibility of intravenous ciprofloxacin with other drugs. Ann Pharmacotherapy 1993 ; 27: 704-707. |
| 295 |
časopis |
Yamashita SK, Walker SE, Choudhury T, Iazzetta J. Compatibility of selected critical care drugs during Y-site administration. Am J Health-Syst Pharm 1996 ; 53: 1048-1051. |
| 299 |
časopis |
Trissel LA, Martinez JF, Gilbert DL. Compatibility of cisatracurium besylate with selected drugs during simulated Y-site administration. Am J Health-Syst Pharm 1997 ; 54: 1735-1741. |
| 300 |
časopis |
Trissel LA, Gilbert DL, Martinez JF. Compatibility of propofol injectable emulsion with selected drugs during simulated Y-site administration. Am J Health-Syst Pharm 1997 ; 54: 1287-1292. |
| 301 |
časopis |
Trissel LA, Gilbert DL, Martinez JF, Baker MB, Walter WV, Mirtallo JM. Compatibility of parenteral nutrient solutions with selected drugs during simulated Y-site administration. Am J Health-Syst Pharm 1997 ; 54: 1295-1300. |
| 307 |
časopis |
Trissel LA, Martinez JF. Compatibility of allopurinol sodium with selected drugs during simulated Y-site administration. Am J Hosp Pharm 1994 ; 51: 1792-1799. |
| 314 |
časopis |
Chiu MF, Schwartz ML. Visual compatibility of injectable drugs used in the intensive care unit. Am J Health-Syst Pharm 1997 ; 54: 64-65. |
| 315 |
časopis |
Bahal SM, Lee TJ, McGinnes M, Dobler GL. Visual compatibility of warfarin sodium injection with selected medications and solutions. Am J Health-Syst Pharm 1997 ; 54: 2599-2600. |
| 317 |
časopis |
Kershaw BP, Monnier HL, Mason JH. Visual compatibility of premixed theophylline or heparin with selected drugs for IV administration. Am J Hosp Pharm 1993 ; 50: 1360-1362. |
| 334 |
časopis |
Trissel LA, Tramonte SM, Grilley BJ. Visual compatibility of ondansetron hydrochloride with selected drugs during simulated Y-site injection. Am J Hosp Pharm 1991 ; 48: 988-992. |
| 335 |
časopis |
Trissel LA, Bready BB, Kwan JW, Santiago NM. Visual compatibility of sargramostim with selected antineoplasic agents, anti-infectives, or other drugs during simulated Y-site injection. Am J Hosp Pharm 1992 ; 49: 402-406. |
| 336 |
časopis |
Forman JK, Lachs JR, Souney PF. Visual compatibility of acyclovir sodium with commonly used intravenous drugs during simulated Y-site injection. Am J Hosp Pharm 1987 ; 44: 1408-1409. |
| 337 |
časopis |
Bashaw ED, Amantea MA, Minor JR, Galleli JF. Visual compatibility of zidovudine with other drugs during simulated Y-site administration. Am J Hosp Pharm 1988 ; 45: 2532-2533. |
| 341 |
časopis |
Baker DE, Yost GS, Craig VL, Campbell RK. Compatibility of heparin sodium and morphine sulfate. Am J Hosp Pharm 1985 ; 42: 1352-1355. |
| 377 |
časopis |
Pereira-Rosario R, Utamura T, Perrin JH. Interaction of heparin sodium and dopamine hydrochloride in admixtures studied by microcalorimetry. Am J Hosp Pharm 1988 ; 45: 1350-1352. |
| 384 |
časopis |
Colucci RD, Cobuzzi LE, Halpern NA. Visual compatibility of esmolol hydrochloride and various injectable drugs during simulated Y-site injection. Am J Hosp Pharm 1988 ; 45: 630-632. |
| 386 |
časopis |
Colucci RD, Cobuzzi LE, Halpern NA. Visual compatibility of labetalol hydrochloride injection with various injectable drugs during simulated Y-site injection. Am J Hosp Pharm 1988 ; 45: 1357-1358. |
| 396 |
časopis |
Chilvers MR, Lysne JM. Visual compatibility of ranitidine hydrochloride with commonly used critical-care medications. Am J Hosp Pharm 1989 ; 46: 2057-2058. |
| 397 |
časopis |
Fong PA, Ward J. Visual compatibility of intravenous famotidine with selected drugs. Am J Hosp Pharm 1989 ; 46: 125-126. |
| 398 |
časopis |
Jay GT, Fanikos J, Souney PF. Visual compatibility of famotidine with commonly used critical-care medications during simulated Y-site injection. Am J Hosp Pharm 1988 ; 45: 1556-1557. |
| 402 |
časopis |
Savitsky ME. Visual compatibility of neuromuscular blocking agents with various injectable drugs during simulated Y-site injection. Am J Hosp Pharm 1990 ; 47: 820-821. |
| 406 |
časopis |
Smythe MA, Patel MA, Gasloli RA. Visual compatibility of narcotic analgesics with selected intravenous admixtures. Am J Hosp Pharm 1990 ; 47: 819-820. |
| 479 |
časopis |
Min DI, Brown T, HWang GC. Visual compatibility of tacrolimus with commonly used drugs during simulated Y-site injection. Am J Hosp Pharm 1992 ; 49: 2964-2966. |
| 491 |
časopis |
Turowski RC, Durthaler JM. Visual compatibility of idarubicin hydrochloride with selected drugs during simulated Y-site injection. Am J Hosp Pharm 1991 ; 48: 2181-2184. |
| 492 |
časopis |
Trissel LA, Parks NPT, Santiago NM. Visual compatibility of fludarabine phosphate with antineoplastic drugs, anti-infectives, and other selected drugs during simulated Y-site injection. Am J Hosp Pharm 1991 ; 48: 2186-2189. |
| 496 |
časopis |
Lor E, Sheybani T, Takagi J. Visual compatibility of fluconazole with commonly used injectable drugs during simulated Y-site administration. Am J Hosp Pharm 1991 ; 48: 744-746. |
| 617 |
časopis |
Solomon DA, Nasinnyk KK. Compatibility of haloperidol lactate and heparin sodium. Am J Hosp Pharm 1982 ; 39: 843-844. |
| 660 |
časopis |
Michaels MR, Stauffer GL, Haas DP. Propofol compatibility with other intravenous drug products - Two new methods of evaluating IV emulsion compatibility. Ann Pharmacotherapy 1996 ; 30: 228-232. |
| 738 |
časopis |
Gardella LA, Kesler H, Amann A, Carter JE. Intropin (dopamine hydrochloride) intravenous admixture compatibility. Part 3: Stability with miscellaneous additives. Am J Hosp Pharm 1978 ; 35: 581-584. |
| 763 |
časopis |
Cohen MH, Jonhson-Early A, Hood MA, McKenzie M, Citron ML, Jaffe N, Krasnow SH. Drug precipitation within IV tubing : A potential hazard of chemotherapy administration. Cancer Treat Rep 1985 ; 69: 1325-1326. |
| 791 |
časopis |
Hensrud DD, Buritt MF, Hall LG. Stability of heparin anticoagulant activity over time in parenteral nutrition solutions. JPEN 1996 ; 20: 219-220. |
| 813 |
časopis |
Akkermann SR, Zhang H, Mullins RE, Yaughn K. Stability of milrinone lactate in the presence of 29 critical care drugs and 4 IV solutions. Am J Health-Syst Pharm 1999 ; 56: 63-68. |
| 860 |
časopis |
Nelson RW, Young R, Lamnin M. Visual incompatibility of dacarbazine and heparin. Am J Hosp Pharm 1987 ; 44: 2028. |
| 874 |
časopis |
Stiles ML, Allen LV, Mc Laury HJ. Stability of two concentrations of heparin sodium prefilled in CADD-Micro pump syringes. Int J Pharm Compound 1997 ; 1: 433-434. |
| 891 |
časopis |
Matsuura G. Visual compatibility of sargramostim (GM-CSF) during simulated Y-site administration with selected agents. Hosp Pharm 1992 ; 27: 200, 202, 209. |
| 895 |
časopis |
Yao JDC, Arkin CF, Karchmer AW. Vancomycin stability in heparin and total parenteral nutrition solutions: novel approach to therapy of central venous catheter-related infections. JPEN 1992 ; 16: 268-274. |
| 905 |
časopis |
Trissel LA, Martinez JF. Screening teniposide for Y-site physical incompatibilities. Hosp Pharm 1994 ; 29: 1010-1017. |
| 921 |
časopis |
Trissel LA, Gilbert DL, Martinez JF. Incompatibility and compatibility of amphotericin B cholesteryl sulfate complex with selected other drugs during simulated Y-site administration. Hosp Pharm 1998 ; 33: 284-292. |
| 939 |
časopis |
Gilbar PJ, Groves CF. Visual compatibility of total parenteral nutrition solution (Synthamin 17 Premix*) with selected drugs during simulated Y-site injection. Aust J Hosp Pharm 1994 ; 24: 167-170. |
| 963 |
časopis |
Schaaf LJ, Tremel LC, Wulf BG, Vernon KK. Compatibility of enalaprilat with dobutamine, dopamine, heparin, nitroglycerin, potassium chloride and nitroprusside. J Clin Pharm Ther 1990 ; 15: 371-376. |
| 1022 |
časopis |
Hutchinson SMW. Heparin and aminoglycosides instability. Drug Intell Clin Pharm 1986 ; 20: 886. |
| 1041 |
časopis |
Hasegawa GR, Eder JF. Visual compatibility of dobutamine hydrochloride with other injectable drugs. Am J Hosp Pharm 1984 ; 41: 949-951. |
| 1057 |
časopis |
Cutie MR. Compatibility of verapamil hydrochloride injection with commonly used additives. Am J Hosp Pharm 1983 ; 40: 1205-1207. |
| 1058 |
časopis |
Kirschenbaum HL, Aronoff W, Piltz GW, Perentesis GP, Cutie AJ. Compatibility and stability of dobutamine hydrochloride with large-volume parenterals and selected additives. Am J Hosp Pharm 1983 ; 40: 1690-1691. |
| 1067 |
časopis |
Zeidler C, Dettmering D, Schrammel W, Spieteller M. Compatibility of various drugs used in intensive care medicine in polyethylene, PVC and glass infusion containers. EJHP 1999 ; 5: 106-110. |
| 1070 |
časopis |
Balthasar JP. Concentration-dependent incompatibility of vinorelbine tartrate and heparin sodium. Am J Health-Syst Pharm 1999 ; 56: 1891. |
| 1072 |
časopis |
Saltsmann CL, Tom CM, Mitchell A, Fan JH, Gailey RA. Compatibility of levofloxacin with 34 medications during simulated Y-site administration. Am J Health-Syst Pharm 1999 ; 56: 1458-1459. |
| 1084 |
časopis |
Raupp P, von Kriek R, Schmidt E, Pfahl HG, G?nther O. Incompatibility between fat emulsion and calcium plus heparin in parenteral nutrition of premature babies. Lancet 1988 ; 1(8587): 700. |
| 1085 |
časopis |
Irving HD, Burbridge BE. Incompatibility of contrast agents with intravascular medications. Radiology 1989 ; 173: 91-92. |
| 1135 |
časopis |
Baltz JK, Kennedy P, Minor JR, Gallelli J. Visual compatibility of foscarnet with other injectable drugs during simulated Y-site administration. Am J Hosp Pharm 1990 ; 47: 2075-2077. |
| 1183 |
časopis |
Tunbridge LJ, Lloyd JV, Penhall RK, Wise AL, Maloney T. Stability of diluted heparin sodium stored in plastic syringes. Am J Hosp Pharm 1981 ; 38: 1001-1004. |
| 1228 |
časopis |
Allen LV, Stiles ML. Compatibility of various admixtures at Y-injection sites of intravenous administration sets. Part2. Am J Hosp Pharm 1981 ; 38: 380-381. |
| 1232 |
časopis |
Beatson C, Taylor A. A physical compatibility study of furosemide & flucloxacillin injections. Br J Pharm Pract 1987 ; 9: 223-226, 236. |
| 1234 |
časopis |
Parkinson R, Wilson JV, Ross M, Denyer SP. Stability of low-dosage heparin in pre-filled syringes. Br J Pharm Pract 1989 ; 11: 34-36. |
| 1258 |
časopis |
Tyler LS, Rehder TL, Davis RB. Effect of gentamicin on heparin activity. Am J Hosp Pharm 1981 ; 38: 537-540. |
| 1289 |
časopis |
Hecq JD, Evrard JM, Gillet P, Grosdent N. Etude de stabilité visuelle du chlorhydrate de chlorpromazine, du chlorure de potassium, de la furosémide et de l’héparine sodique en perfusion continue. Pharmakon 1998 ; 116: 145-148. |
| 1291 |
časopis |
Wright A, Hecker J. Long term stability of heparin in dextrose-saline intravenous fluids. Int J Pharm Pract 1995 ; 3: 253-255. |
| 1315 |
časopis |
Halpern NA, Colucci RD, Alicea M, Greenstein R. Visual compatibility of enalaprilat with commonly used critical care medications during simulated Y-site injection. Int J Pharm Clin Pharmacol Ther Tox 1989 ; 27: 294-297. |
| 1352 |
časopis |
Hasegawa GR, Eder JF. Dobutamine-heparin mixture inadvisable. Am J Hosp Pharm 1984 ; 41: 2588-2589. |
| 1391 |
časopis |
Vanstone GL. Is heparin always compatible with TPN and fat emulsion admixtures? Can J Hosp Pharm 1998 ; 51: 271-272. |
| 1393 |
časopis |
Lyall D, Blythe J. Ciprofloxacin lactate infusion. Pharm J 1987 ; 238: 290. |
| 1410 |
časopis |
Trissel LA, Martinez JF, Simmons M. Compatibility of etoposide phosphate with selected drugs during simulated Y-site injection. J Am Pharm Assoc 1999 ; 39: 141-145. |
| 1414 |
časopis |
Mayer JLR, Pascale VJ, Clyne LP, Malkus H, Santos FS, van Hoff J. Stability of low-dose vancomycin hydrochloride in heparin sodium 100 UI / ml. J Pharm Technol 1999 ; 15: 13-17. |
| 1415 |
časopis |
Trissel L.A, Gilbert D.L, Martinez J.F, Baker M.B, Walter W.V, Mirtallo J.M. Compatibility of medications with 3-in-1 parenteral nutrition admixtures. JPEN 1999 ; 23: 67-74. |
| 1420 |
časopis |
Bergquist PA, Hunke WA, Reed RA, Manas D, Forsyth RJ, Kenney RR, Cook J, Holahan M. Compatibility of tirofiban HCl with dopamine HCl, famotidine, sodium heparin, lidocaine HCl and potassium chloride during simulated Y-site administration. J Clin Pharm Ther 1999 ; 24: 125-132. |
| 1423 |
časopis |
Trissel LA, Martinez JF, Gilbert DL. Compatibility of gemcitabine hyrochloride with 107 selected drugs during simulated Y-site injection. J Am Pharm Assoc 1999 ; 39: 514-518. |
| 1468 |
časopis |
Sautou V, Chopineau J, Gremeau I, Chevrier R, Bruneaux F. Compatibility with medical plastics and stability of continuously and simultaneously infused isosorbide dinitrate and heparin. Int J Pharm 1994 ; 107: 111-119. |
| 1490 |
časopis |
Halpern NA, Colucci RD, Alicea M, Greenstein R. The compatibility of nicardipine hydrochloride injection with various ICU medications during simulated Y-site injection. Int J Pharm Clin Pharmacol Ther Tox 1989 ; 27: 250-254. |
| 1496 |
časopis |
Trissel LA, Martinez JF, Gilbert DL. Screening cladribine for Y-site physical compatibility with selected drugs. Hosp Pharm 1996 ; 31: 1425-1428. |
| 1506 |
časopis |
Lopez-Cabezas C, Guerrero L, Molas G, Anglada H, Soy D. Physicochemical compatibility of high concentration drugs usually Y-site administered in intensive care units. EJHP 2015 ;22:107-112. |
| 1508 |
časopis |
Voirol P, Berger-Gryllaki M, Pannatier A, Eggimann P, Sadeghipour F. Visual compatibility of insulin aspart with intravenous drugs frequently used in ICU. EJHP 2015 ;22:123-124. |
| 1512 |
Traduction Laboratorij |
Tirofiban (Aggrastat®) - Summary of Product Characteristics Beacon Pharmaceuticals Ltd 2015 |
| 1625 |
časopis |
Trissel LA, Saenz C, Williams YW, Ingram D. Incompatibilities of lansoprazole injection with other drugs during simulated Y-site coadministration. Int J Pharm Compound 2001 ; 5: 314-321. |
| 1662 |
časopis |
Trissel LA, Saenz CA, Ingram DS, Ogundele AB. Compatibility screening of oxaliplatin during simulated Y-site administration with other drugs. J Oncol Pharm Practice 2002 ; 8: 33-37. |
| 1699 |
časopis |
Plaas S, Heck C, Kubrich M. Mischbarkeit von serotonin-antagonisten mit dexamethason und heparin. Krankenhauspharmazie 2000 ; 21: 107-109. |
| 1703 |
časopis |
Schuster F, Bernard R. Kompatibilität von enalaprilat i.v. mit ausgewählten arzneimitteln. Krankenhauspharmazie 1995 ; 16: 101-103. |
| 1712 |
časopis |
Trissel LA, Saenz CA. Compatibility screening of Precedex during simulated Y-site administration with other drugs. Int J Pharm Compound 2002 ; 6: 230-233. |
| 1713 |
časopis |
Trissel LA, Saenz CA. Compatibility screening of bivalirudin during simulated Y-site administration with other drugs. Int J Pharm Compound 2002 ; 6: 311-315. |
| 1721 |
časopis |
Trissel LA, Williams KY, Baker MB. Compatibility screening of Hextend during simulated Y-site administration with other drugs. Int J Pharm Compound 2001 ; 5: 69-72. |
| 1754 |
časopis |
Trissel LA, Gilbert DL, Wolkin AC. Compatibility of docetaxel with selected drugs during simulated Y-site administration. Int J Pharm Compound 1999 ; 3: 241-244. |
| 1801 |
časopis |
Feddema S, Rusho WJ, Tyler LS, Barker B. Physical compatibility of vasopressin with medications commonly used in cardiac arrest. Am J Health-Syst Pharm 2003 ; 60: 1271-1272. |
| 1802 |
časopis |
Bell MS, Nolt DH. Visual compatibility of doxapram hydrochloride with drugs commonly administered via a Y-site in the intensive care nursery. Am J Health-Syst Pharm 2003 ; 60: 193-194. |
| 1803 |
časopis |
Trissel, LA, Saenz CA, Ogundele OB, Ingram D, Baker MB. Compatibility of fenoldopam mesylate with other drugs during simulated Y-site administration. Am J Health-Syst Pharm 2003 ; 60: 80-85. |
| 1822 |
časopis |
Trissel LA, Seanz C. Physical compatibility of antithymocyte globulin (rabbit) with heparin sodium and hydrocortisone sodium succinate. Am J Health-Syst Pharm 2003 ; 60: 1650-1652. |
| 1868 |
časopis |
Husson E, Crauste-Manciet S, Hadj-Salah E, ,Segier JC, Broissard D. Stabilité galénique de mélanges commercialisés de nutrition parentérale en présence de médicaments: médicaments dans le mélange. Nutr Clin Metab 2003 ; 17: 8-14. |
| 1906 |
časopis |
McQuade MS, Van Nostrand V, Shariter J, Kanike JD, Forsyth RJ. Stability and compatibility of reconstituted ertapenem with commonly used iv infusion and coinfusion solutions. Am J Health-Syst Pharm 2004 ; 61: 38-45. |
| 1925 |
časopis |
Trissel LA , Williams KY, Gilbert DL. Compatibility screening of linezolid injection during simulated Y-site administration with other drugs and infusion solutions. J Am Pharm Assoc 2000 ; 40: 515-519. |
| 1937 |
časopis |
Lai JJ, Brodeur SK. Physical and chemical stability of daptomycin with nine medications. Ann Pharmacotherapy 2004 ; 38: 1612-1616. |
| 1953 |
časopis |
Trissel LA, Saenz CA, Ogundele AB, Ingram DS. Physical compatibility of pemetrexed disodium with other drugs during simulated Y-site administration. Am J Health-Syst Pharm 2004 ; 61: 2289-2293. |
| 1979 |
časopis |
Wu CC, Wang DP, Wong CY, Lin YF. Stability of cefazolin in heparinized and nonheparinized peritoneal dialysis solutions. Am J Health-Syst Pharm 2002 ; 59: 1537-1538. |
| 1982 |
časopis |
Trissel LA, Ogundele AB. Compatibility of anidulafungin with other drugs during simulated Y-site administration. Am J Health-Syst Pharm 2005 ; 62: 834-837. |
| 2037 |
časopis |
Robinson JL, Tawfik G, Saxinger L, Stang L, Etches W, Lee B. Stability of heparin and physical compatibility of heparin/antibiotic solutions ... J Antimicrob Chemother 2005 ; 56: 951-953. |
| 2057 |
časopis |
Droste JC, Jeraj HA, MacDonald A, Farrington K. Stability and in vitro efficacy of antibiotic-heparin lock solutions potentially useful for treatment of central venous catheter-related sepsis. J Antimicrob Chemother 2003 ; 51: 849-855. |
| 2087 |
časopis |
Ferreira E, Forest JM, Hildgen P. Compatibility of dimenhydrinate injectable by Y administration. Pharmactuel 2004 ; 37: 17-20. |
| 2090 |
časopis |
Pere H, Chasse V, Forest JM, Hildgen P. Compatibility of injectable pantoprazole in Y-site administration. Pharmactuel 2004 ; 37: 193-196. |
| 2100 |
časopis |
Gervas S, Gosalbez F. Estabilidad fisica y quimica del sulfato magnesico combinado con heparina sodica en solucion salina al 0,9 por 100. Farm Hosp 1995 ; 19: 38-40. |
| 2108 |
časopis |
Trusley C, Kupiec TC, Trissel LA. Compatibility of micafungin injection with other drugs during simulated Y-site co-administration. Int J Pharm Compound 2006 ; 10: 230-232. |
| 2109 |
časopis |
Pelletier E, Forest JM, Hildgen P. Compatibilité de la kétamine injectable lors de l’administration en dérivé avec d’autres médicaments usuels. Pharmactuel 2006 ; 39: 71-75. |
| 2212 |
Traduction Laboratorij |
Reteplase (Rapilysin®) - Summary of Product Characteristics Actavis UK Ltd 2015 |
| 2221 |
časopis |
Cober M.P, Johnson C.E. Stability of 70% alcohol solutions in polypropylene syringes for use in ethanol-lock therapy. Am J Health-Syst Pharm 2007 ; 64, 23: 2480-2482. |
| 2233 |
časopis |
Condie C.K, Tyler L.S, Barker B, Canann D.M. Visual compatibility of caspofungin acetate with commonly used drugs during simulated Y-site delivery Am J Health-Syst Pharm 2008 ; 65, 5: 454-457. |
| 2247 |
časopis |
Chan P, Heatherly K, Kupiec T.C, Trissel L.A. Compatibility of caspofungin acetate injection with other drugs during simulated Y-site coadministration. Int J Pharm Compound 2008 ; 12, 3: 276-278. |
| 2262 |
časopis |
Brammer MK, Chan P, Heatherly K, Trusley C, Kupiec TC, Trissel LA, Psathas PA, Gilmor T, Schaufelberger D. Compatibility of doripenem with other drugs during simulated Y-site administratioN Am J Health-Syst Pharm 2008 ; 65: 1261-1265. |
| 2269 |
časopis |
Chan P, Bishop A, Kupiec TC, Trissel LA, Gole D, Jimidar IM, Vermeersch H. Compatibility of ceftobiprole medocaril with selected drugs during simulated Y-site administration. Am J Health-Syst Pharm 2008 ; 65, 16: 1545-1551. |
| 2271 |
Traduction Laboratorij |
Daptomycine (Cubicin®) Résumé des caractéristiques du produits Novartis 2006 |
| 2279 |
časopis |
Kupiec T, Trusley C, Ben M, Trissel LA. Physical and chemical stability of palonosetron hydrochloride with five common parenteral drugs during simulated Y-site administration. Am J Health-Syst Pharm 2008 ; 65, 18: 1735-1759. |
| 2335 |
časopis |
Canann D, Tyler L.S, Barker B, Condie C. Visual compatibility of i.v. medications routinely used in bone marrow transplant recipients Am J Health-Syst Pharm 2009 ; 66, 8: 727-729 |
| 2346 |
časopis |
Newland A.M, Mauro V.F, Alexander K.S. Physical compatibility of metoprolol tartrate injection with selected cardiovascular agents Am J Health-Syst Pharm 2009 ; 66: 986-987. |
| 2375 |
časopis |
Strong DK, Ho W, Nairn JG. Visual compatibility of vancomycin and heparin in peritoneal dialysis solutions Am J Hosp Pharm 1989 ; 46: 1832 - 1833. |
| 3012 |
časopis |
Sullivan T, Forrest J.M, Leclair G. Compatibility of Cloxacillin Sodium with Selected Intravenous Drugs During Simulated Y-Site Administration Hosp Pharm 2015 ; 50, 3: 214-220. |
| 3125 |
časopis |
Baker D S, Waldrop Bruce, Arnold John. Compatibility and Stability of Cefotaxine, Vancomycin, and Ciprofloxacin in Antibiotic Lock Solutions Containing Heparin. Int J Pharm Compound 2010 ; 14, 4: 346-349. |
| 3134 |
časopis |
Perez Jua En, Maqueda Palau M, Arévalo Rubert Mt, Ribas Nicolau B, Amoros Cerdà SM. Compatibilidad visual y física de la furosemida en mezclas intravenosas para perfusión continua. Enferm Intensiva 2010 ; 21: 96-103. |
| 3152 |
časopis |
Kumar A, Mann HJ. Visual compatibility of oritavancin diphosphate with selected coadministered drugs during simulated Y-site administration. Am J Health-Syst Pharm 2010 ; 67: 1640-1644. |
| 3176 |
poster |
Humbert Delaloye V, Berger M, Voirol P, Pannatier A. Compatibilité du Remifentanil avec d'autres médicaments injectables : influence du soluté. 16èmes JFSPH, Sion, 18-19 novembre 2010 |
| 3184 |
Traduction Laboratorij |
Hyaluronidase (Hyalase®) - Summary of Product characteristics. CP Pharmaceuticals 2005 |
| 3210 |
časopis |
Jasti Bhaskara R, Saraf Poonam. Compatibility of Parenteral Furosemide with Seventeen Secondary Drugs Used in Standard Concentrations. Int J Pharm Compound 2011 ; 15, 3: 259-261. |
| 3212 |
časopis |
Ribas Nicolau, B.; P?rez Juan, E.; Amor?s Cerd?, S.M.; Ar?valo Rubert, M.J.; Maqueda Palau, M. Compatibilidad física del bicarbonato sódico con fármacos de uso frecuente en la unidad de cuidados intensivos. Enferm Intensiva 2011 ;22:78-82. |
| 3216 |
časopis |
Legris ME, Valiquette ME, Lavoie A, Forest JM, Leclair G. Compatibilité physique par évaluation visuelle du salbutamol injectable lors de son administration en Y. Pharmactuel 2011 ; 44, 1 : 14-18 |
| 3249 |
časopis |
Singh BM, Dedhiya MG, Dinunzio J, Chan P, Kupiec TC, Trissel LA, Laudano JB. Compatibility of ceftaroline fosamil for injection with selected drugs during simulated Y-site administration. Am J Health-Syst Pharm 2011 ; 68: 2163-2169. |
| 3254 |
časopis |
Housman S.T, Tessier P.R, Nicolau D.P, Kuti J.L. Physical compatibility of telavancin hydrochloride with select i.v. drugs during simulated Y-site administration Am J Health-Syst Pharm 2011 ; 68: 2265-2270. |
| 3267 |
Traduction Laboratorij |
Lipomed Laboratories Dacarbazine Lipomed - Summary of Product Characteristics Lipomed 2011 |
| 3294 |
časopis |
Humbert-Delaloye V, Berger M, Voirol P, Pannatier A. In vitro compatibility of remifentanil hydrochloride and sufentanil citrate with selected drugs EJHP 2012 ; 19: 57-64. |
| 3327 |
časopis |
LaPlante K.L, Woodmansee S, Mermel L.A. Compatibility and stability of telavancin and vancomycin in heparin or sodium citrate lock solutions. Am J Health-Syst Pharm 2012 ; 69:1405-1409 |
| 3372 |
časopis |
Hanci V, Ali Kiraz H, Ömür D, Ekin S, Uyan B, Yurtlu B.S. Precipitation in Gallipoli: Sugammadex / Amiodarone & Sugammadex / Dobutamine & Sugammadex / Protamine. Rev Bras Anestesiol 2013 ; 63, 1: 163-166. |
| 3408 |
časopis |
Tollec S, Touzin K, Pelletier E, Forest J.M. Evaluation visuelle de la compatibilité physique de la naloxone avec d’autres médicaments intraveineux usuels. Pharmactuel 2013 ; 46, 1 : 16-21. |
| 3463 |
časopis |
Eva Perez Juan, Maria Jos? Arévalo Rubert , Silvia Monica Amoros Cerda , Palau M.M, Nicolau B.R. Fármacos en perfusión continua en la unidad de cuidados intensivos: estudio de compatibilidad. Nursing 2011 ; 29 :62-6 |
| 3464 |
časopis |
Monica Maqueda-Palau, Eva Pérez-Juan, Maria Josep Arévalo-Rubert, Sylvia Monica Amoros-Cerda, Bàrbara Ribas-Nicolau. Compatibilidad física de la amiodarona en perfusión continua Enferm Clin 2011 21:25-29. |
| 3465 |
časopis |
E. P?rez Juan, M. Maqueda Palau, M. Ar?valo Rubert, B. Ribas Nicolau, S.M. Amor?s Cerd?. Compatibilidad visual y física de la furosemida en mezclas intravenosas para perfusión continua. Enferm Intensiva 2010 ;21:96-103. |
| 3466 |
časopis |
B. Ribas Nicolau, E. P?rez Juan, S.M. Amor?s Cerd?, M.J. Ar?valo Rubert, M. Maqueda Palau. Compatibilidad física del bicarbonato sódico con fármacos de uso frecuente en la unidad de cuidados intensivos Enferm Intensiva 2011 ;22:78-82. |
| 3520 |
Traduction Laboratorij |
Cidomycin - Summary of product Chracteristics. Sanofi 2011 |
| 3525 |
Traduction Laboratorij |
Pethidine hydrochloride - Summary of product Characteristics AMCO Amdipharm Mercury 2012 |
| 3529 |
Traduction Laboratorij |
Ciprofloxacin – Summary of Product Characteristics Hospira 2013 |
| 3531 |
Traduction Laboratorij |
Morphine sulphate 10 mg/mL injection BP – Summary of Product Characteristics Wockhardt 2014 |
| 3540 |
Traduction Laboratorij |
Heparin sodium - Summary of Product Characteristics. Wockhardt 2010 |
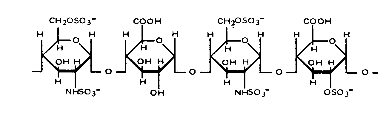
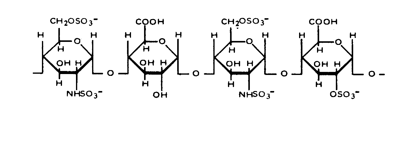
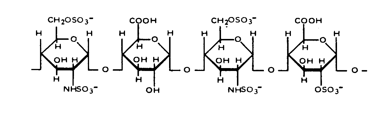
| 3548 |
Traduction Laboratorij |
Cefepime (Maxipime®) - Summary of Product caracteristics. Bristol Myers Squibb 2007 |
| 3549 |
Traduction Laboratorij |
Amikacine B Braun - Résumé des caractéristiques du produit. B Braun 2012 |
| 3562 |
Traduction Laboratorij |
Ofloxacin (Tarivid®) - Summary of Product Characteristics Sanofi 2014 |
| 3577 |
Traduction Laboratorij |
Daunorubicine (Daunoxome®) - Résumé des caractéristiques du produit Galen Limited |
| 3580 |
Traduction Laboratorij |
Cytarabine Accord - Résumé des caractéristiques du produit Accord Healthcare France 2016 |
| 3588 |
Traduction Laboratorij |
Vancomycine (Vancocin®) - Résumé des caractéristiques du produit Sandoz 2011 |
| 3604 |
Traduction Laboratorij |
Daunorubicine (Cérubidine®) - Résumé des caractéristiques du produit Sanofi Aventis France 2012 |
| 3605 |
Traduction Laboratorij |
Dacarbazine (Dacarbazine Lipomed®) - Résumé des caractéristiques du produit Lipomed 2010 |
| 3616 |
Traduction Laboratorij |
Altéplase (Actilyse®) - Résumé des caractéristiques du produit Boehringer Ingelheim 2012 |
| 3617 |
Traduction Laboratorij |
Hyaluronidase (Hyalase®) - Summary of Product Characteristics Wockhardt 2011 |
| 3632 |
Traduction Laboratorij |
Epirubicine (Epirubicine Hospira®) - Summary of Product Characteristics Hospira 2017 |
| 3637 |
Traduction Laboratorij |
Methotrexate (Methotrexate solution for injection®) - Summary of Product Characteristics Hameln Pharmaceuticals 2014 |
| 3640 |
Traduction Laboratorij |
Mitoxantrone - Summary of Product Characteristics Hospira 2013 |
| 3643 |
Traduction Laboratorij |
Gentamicin sulphate (Cidomycin®) - Summary of Product Characteristics Sanofi 2015 |
| 3645 |
Traduction Laboratorij |
Doxorubicin - Summary of Product Characteristics Accord Healthcare 2014 |
| 3665 |
časopis |
Ortega R, Salmer?n-Garc?a A, Cabeza J, Capit?n-Vallvey L.F, Navas N. Stability of daptomycin 5 mg/mL and heparin sodium 100 units/mL combined in lactated Ringer’s injection and stored in polypropylene syringes at 4 and -20°C. Am J Health-Syst Pharm 2014 ; 71:956-959 |
| 3674 |
Traduction Laboratorij |
Erythromycin lactobionate - Summary of Product Characteristics PanPharma 2016 |
| 3687 |
Traduction Laboratorij |
Cefuroxime sodium - Summary of Product Characteristics Stravencon 2013 |
| 3728 |
časopis |
Correard F, Savry A, Gauthier-Villano L, Pisano P, Pourroy B. Visual compatibility of defibrotide with selected drugs during simulated Y-site administration. Am J Health-Syst Pharm 2014 ; 71: 1288-1291. |
| 3766 |
časopis |
Forrest J.M, Hildgen P. Compatibilité de l’acétylcystéine injectable lors de son administration en Y avec d’autres médicaments usuels Pharmactuel 2014 ; 47, 3 : 161-165. |
| 3767 |
časopis |
Legris M.E, Lavoie A, Forrest J.M, Hildgen P. Compatibilité par évaluation visuelle du thiopental injectable lors de son administration en Y avec des médicaments usuels. Pharmactuel 2014 ; 47, 3 : 167-172. |
| 3781 |
časopis |
Humbert-Delaloye V, Berger-Gryllaki M, Voirol P, Testa B, Pannatier A Screening for physicochemical incompatibilities of intravenous drugs in intensive care units: the case of monobasic potassium phosphate and furosemide. EJHP 2015 ;22:1 56-58 |
| 3823 |
časopis |
Juan E.P, Palau M.M, Cerd? S.A, Rubert M.A, Nicolau B.R. Compatibilité physique de médicaments administrés dans l’unité de soins intensifs
Pharmactuel 2015 ; 48, 3 : 146-152. |
| 3824 |
časopis |
Boudi S, Roy H, Forest JM, Leclair G. Compatibilité physique de l'association amoxicilline-acide clavulanique en injection avec plusieurs autres médicaments lors d'une administration en Y. Pharmactuel 2023 2023;56,3:91-98 |
| 3827 |
poster |
Ghazi I.M, Hamada Y, Nicolau D.P. Compatibility of tedizolid phosphate with selected intravenous drugs via simulated Y-site conditions. ASHP Midyear 2015 |
| 3828 |
poster |
Thabit A.K, Hamada Y, Nicolau D.P. Ceftozolane/tazobactam physical compatibility during simulated Y-site administration. ASHP Midyear 2015 |
| 3829 |
poster |
So W, Kim L, Thabit A.K, Nicolau D.P, Kuti J.L. Compatibility of isavunazonium sulfate during simulated Y-site administration. ASHP Midyear 2015 |
| 3920 |
Traduction Laboratorij |
Levofloxacine - Résumé Caractéristique du Produit Fresenius Kabi 2018 |
| 3923 |
časopis |
Luu Y, Thigpen J, Brown S.D. Stability of sildenafil in combination with heparin and dopamine. Am J Health-Syst Pharm 2017 ; 74, 1: e64-e71 |
| 3934 |
Traduction Laboratorij |
Eptifibatide (Integrilin®) - Résumé des caractéristiques du produit GlaxoSmithKline Laboratoire 2016 |
| 3956 |
časopis |
Bastani B; Amin K; Herr A. Prolonged Stability of Stored Vancomycin, Gentamicin, and Heparin for Use in the Antibiotic-Lock Technique. ASAIO Journal 2005 ; 51,6:761-763. |
| 3958 |
časopis |
Henrickson K.J; . Powell K.R; . Schwartz C.L. A Dilute Solution of Vancomycin and Heparin Retains Antibacterial and Anticoagulant Activities . J Infect Dis 1988 ; 157, 3: 600-601. |
| 3964 |
časopis |
Audet M.A, Forest E, Friciu M, Forest J.M, Leclair G. Compatibilité du citrate de caféine injectable avec plusieurs autres médicaments. Pharmactuel 2017 ; 50,1 : 27-33. |
| 3976 |
časopis |
Du Repaire T, Vigne P, Guedon A, Gauthier-Villano L, Bertault Peres P, Pourroy B. Visual compatibility of blinatumomab with selected co-administrated drugs during simulated Y-site administration. Am J Health-Syst Pharm 2017 ; 74,16 : 1217-1218 |
| 4055 |
časopis |
Monogue M, Almarzoky Abuhussain S, Kuti J, Nicolau D. Physical compatibility of fosfomycin for injection with select i.v. drugs during simulated Y-site administration. Am J Health-Syst Pharm 2018 , 75, 1:36-44 |
| 4056 |
časopis |
Kandel S, Zaidi S, Wanandy T, Ming L, Castelino R, Sud K, Patel R. Stability of ceftazidime and heparine in four different types of peritoneal dialysis solutions. Perit Dial Int 2017 |
| 4108 |
časopis |
Cruz K, Chrchwell M, Mauro V, Boddu. Physical compatibility of levetiracetam injection with heparin, dobutamine, and dopamine. Am J Health-Syst Pharm 2018 ;75;8:510-512 |
| 4145 |
časopis |
Asempa T.E, Avery L.M, Kidd J.M, Kuti J.L, Nicolau D.P. Physical compatibility of plazomicin with select i.v. drugs during simulated Y-site administration. Am J Health-Syst Pharm 2018 ;75,14:1048-1056 |
| 4166 |
časopis |
Bowie H.M, Haylor V. Stability of heparin in sodium chloride solution. J Clin Pharm Ther 1978 3:211-214 |
| 4180 |
časopis |
Mendes K, Harmanjeet H, Sedeeq M, Modi A, Wanandy T, Zaidi S, Ming L, Castelino R, Sud K, Peterson G, Patel R. Stability of meropenem and piperacillin/tazobactam with heparin in various peritoneal dialysis solutions. Perit Dial Int 2018 ;38,6:430-440 |
| 4254 |
časopis |
D'Huart E, Vigneron J, Demoré B. Physical Compatibility of Intravenous Drugs Commonly Used in Intensive Care Units: An Observational Study and Physical Compatibility Laboratory Tests on Anti-Infective Drugs Pharmaceutical Technology in Hospital Pharmacy 2019 ;4,1:29-40 |
| 4319 |
časopis |
Lessard J-J, Caron E, Schérer H, Forest J-M, Leclair G. Compatibility of Y-site Injection of Meropenem Trihydrate With 101 Other Injectable Drugs. Hosp Pharm 2020 ; 55, 5: 332-337. |
| 4332 |
poster |
Compatibilité de Glycophos® avec d’autres médicaments administrés en perfusion aux soins intensifs (SI) Compatibilité de Glycophos® avec d’autres médicaments administrés en perfusion aux soins intensifs (SI). JFSPH 2019 2019 |
| 4389 |
časopis |
Côté K, Correal F, Metras M.E, Friciu M, Forest J.M, Leclair G. Compatibilité physique des médicaments administrés en Y aux soins intensifs, en particulier la dexmédétomidine, le lévosimendan et la kétamine. Pharmactuel 2019 ;52,4:206-213 |
| 4419 |
časopis |
Holt R.J, Siegert S.W.K, Krishna A. Physical Compatibility of Ibuprofen Lysine Injection with Selected Drugs During Simulated Y-site Injection. J Pediatr Pharmacol Ther 2008 ; 13, 3: 155-161. |
| 4433 |
časopis |
Ghazi I.M, El Nekidy W.S, Sood A, Dulku A, Patel R, Patel K. Y-site Administration of Imipenem/Cilastatin/ Relebactam With Common Intravenous Medications Clin Ther 2020 ; 42, 3: 475-485. |
| 4434 |
časopis |
Avery L.M, Chen, I.H, Reyes, S, Nicolau, D.P, Kuti J.L. Assessment of the Physical Compatibility of Eravacycline and Common Parenteral Drugs During Simulated Y-site Administration. Clin Ther 2019 ; 41, 10: 2162-2170. |
| 4491 |
časopis |
De Basagoiti A, Katsumiti A, Abascal S, Bustinza A, López-Giménez L.R, Pilar P, De Miguel M, Campino A. Physical compatibility of alprostadil with selected drugs commonly used in the neonatal intensive care units. Eur J Pedia 2020 |
| 4507 |
časopis |
Ross E, Salinas A, Petty K, Her C, Carpenter J. Compatibility of medications with intravenous lipid emulsions: Effects of simulated Y-site mixing. Am J Health-Syst Pharm 2020 ;77,23:1980-1985 |
| 4528 |
časopis |
Lu J, Liu Q, Kupiec T, Vail H, Lunch L, Fam D, Vu N. Physical Compatibility of Cefiderocol with Selected Intravenous Drugs During Simulated Y-site Administration. Int J Pharm Compound 2021 ;25,1:52-61 |
| 4538 |
časopis |
Campbell A, Petrovski M, Senarathna G, Mukadam ,Strunk T, Batty K. Compatibility of pentoxifylline and parenteral medications. Archives of Disease in Childhood 2020 ; 105: 395-397. |
| 4556 |
časopis |
Dobson, S.R, Mauro, V.F, Boddu, S.H.S, Churchwell, M.D. The Physical Compatibility of Clinically Used Concentrations of Diltiazem Hydrochloride With Heparin Sodium. J Pharm Technol 2020 ; 36, 4: 126-129. |
| 4603 |
časopis |
Vallée M, Barthélémy I, Friciu M, Pelletier E, Forest J.M, Benoit F, Leclair G. Compatibility of Lactated Ringer’s Injection With 94 Selected Intravenous Drugs During Simulated Y-site Administration. Hosp Pharm 2021 ; 56, 4: 228-234. |
| 4612 |
časopis |
Villaba-Moreno AM, Gil-Navarro MV, Cotrina-Luque J, Pérez-Moreno MA, Chamorro-de Vega E. Estabilidad de la solución de gentamicina y heparina para sellado de catéter. OFIL 2014 24;2:86-90 |
| 4651 |
časopis |
De Basagoiti A, Katsumiti A, Abascal S, Bustinza A, López-Giménez L.R, Pascual P, De Miguel M, Campino A. Physical compatibility of alprostadil with selected drugs commonly used in the neonatal intensive care units. Eur J Pedia 2021 ;180,1169–1176. |
| 4654 |
poster |
Sicard G, Donnette M, Martin N, Gensollen S, Pourroy B, Fanciullino R. Compatibilité visuelle du Vyxeos® lors d'administration en Y avec une sélection de médicaments injectables. Communication personnelle 2021 |
| 4698 |
časopis |
Ayari G, D'Huart E, Vigneron J, Demoré B. Y-site compatibility of intravenous medications commonly used in intensive care units : laboratory tests on 75 mixtures involving nine main drugs. Pharmaceutical Technology in Hospital Pharmacy 2022 ; 7(1): 20220002 |
| 4724 |
časopis |
Maktabi B, Howard MS, Baki G, Churchwell MD Intravenous Physical Compatibility of Heparin Sodium and Furosemide. Int J Pharm Compound 2022 ;26,6:522-526 |
| 4732 |
časopis |
Kenneally A, Agbana P, Gardner B, Bae Y, Mitchell T, Beckman E. Compatibility of calcium chloride with milrinone, epinephrine, vasopressin, and heparin via in vitro testing and simulated Y-site administration. Am J Health-Syst Pharm 2023 80, 3;164–170 |
| 4742 |
časopis |
Macoviciuc M, Nguyen C, Forest J-M, Leclair G. Compatibilité physique de l’acétaminophène injectable avec 102 autres médicaments lors d’une administration en Y. Pharmactuel 2022 ; 55, 4: 247-255. |
| 4768 |
časopis |
Kondo M, Genpei M, Watanabe K, Yoshida M, Tagui N, Fukao S, Sugaya K, Takase H. Y-site injection physical compatibility of remdesivr with select intravenous drugs used in palliative care and for treating coronavirus disease 2019. Journal of Nippon Medical school 2023 |
| 4801 |
časopis |
Ruiz V, Yuwei Shen Y, Abouelhassan Y, Fouad A, Nicolau D, Kuti J. Physical compatibility of sulbactam/durlobactam with select intravenous drugs during simulated Y-site administration. Am J Health-Syst Pharm 2024 ;51,1: |
| 4809 |
Traduction Laboratorij |
Recarbrio® - Résumé des caractéristiques du produit 2024 |
| 4837 |
časopis |
De Silva, D.T.N Petrovski M, Strunk T, Mukadam N, Page‑Sharp N, Moore B.R, Batty K.T. Physicochemical compatibility of caffeine citrate and caffeine base injections with parenteral medications used in neonatal intensive care settings. Eur J Clin Pharmacol 2024 ; 80:1079–1087. |
| 4845 |
časopis |
De Silva D.T.N, Strunk T, Petrovski M, Page-Sharp M, Moore B.R, Batty K.T. The Physicochemical Compatibility of Sildenafil Injection with Parenteral Medications Used in Neonatal Intensive Care Settings. Pharmaceutics 2024 ;1 6, 419. |
| 4958 |
Traduction Laboratorij |
THYMOGLOBULINE 5 mg/ml, poudre pour solution pour perfusion - Résumé des caractéristiques du produit. SANOFI B.V. 2023 |
| 4981 |
Traduction Laboratorij |
KETESSE 50 mg/2 ml, solution injectable/pour perfusion - Résumé des caractéristiques du produit. MENARINI INTERNATIONAL OPERATIONS LUXEMBOURG S.A. 2024 |
| 5016 |
Traduction Laboratorij |
Tranexamic Acid 100 mg/ml Solution for Injection - Summary of Product Characteristics Updated 25-Mar-2025. Tillomed Laboratories Ltd 2025 |
| 5048 |
Traduction Laboratorij |
NATRECOR® (nesiritide) lyophilized powder for intravenous use - Highlights of prescribing information. 2012 |
| 5069 |
Traduction Laboratorij |
MORPHINE (CHLORHYDRATE) AGUETTANT 10 mg/mL, solution injectable - Résumé des caractéristiques du produit. LABORATOIRE AGUETTANT 2024 |
| 5075 |
Traduction Laboratorij |
IDARUBICINE ACCORD 5 mg/5 ml, solution pour perfusion - Résumé des caractéristiques du produit. ACCORD HEALTHCARE FRANCE SAS 2024 |
| 5088 |
Traduction Laboratorij |
Ampicillin 500 mg powder for solution for injection - Summary of Product Characteristics Updated 04-Feb-2025 | Chemidex Pharma Ltd Chemidex Pharma Limited 2025 |
| 5090 |
Traduction Laboratorij |
TILDIEM 25 mg, poudre et solution pour préparation injectable I.V. - Résumé des caractéristiques du produit. Sanofi 2024 |